白钨矿废水处理设备

白钨选矿行业由于使用大量 ZL、丁胺黑药、丁基黄药、煤油 2# 油和水玻璃,选矿废水中含有残余药剂和水玻璃,对水质影响大。如果直接排放对环境造成严重的污染,如果回用将恶化浮选现象,影响选矿金属回收率,因此,必须对选矿废水进行处理。

研究表明: ( 1 ) 磨矿浮选后比重较小的细粒滑石、云母、细泥等进入尾矿,矿泥中细颗粒受布朗运动作用不能自沉; ( 2) 细粒矿石与水玻璃溶液相互混合时,细矿粒与硅酸钠形成带有负电性的胶团,使尾矿水呈胶体悬浊液,极难沉淀澄清,投加石灰和絮凝剂很难使水玻璃和药剂形成的稳定胶体脱稳,且造成大量的石膏渣,减少尾矿库服务年限。但以上这些水处理及回用技术都还只停留在传统的处理方法( 絮凝沉淀法) ,其共同不足是处理成本高、需停留时间长、渣量大易造成二次污染、容易结垢[2]。国内外科技工作者一直在寻求高效低耗、能有效控制白钨选矿废水进一步迁移和扩散的新技术。电絮凝依据电解及电凝聚原理,通过氧化、中和、凝聚、气浮四种作用机理使稳定的水玻璃胶体形态改变,达到脱稳,形成上浮于废水表面的浮渣,具有处理成本低、污泥量少、占地面积小、自动化程度高和水玻璃处理率高等优点。

1 材料与方法
1. 1 试验装置与器材
1. 1. 1 电絮凝装置
电絮凝装置具体包括设备明细见表 1。
 
1.1.2试验器材
试验器材:100L塑料桶2个,1L烧杯2个,0.5
L烧杯4个,取样瓶8个,1L量筒1个,移液管,洗耳球,玻璃棒,滤纸(中速),pH值试纸,PAM,PAC,稀硫酸20L(73%)。
1.1.3废水来源
试验废水采用某钨业选矿公司白钨选矿废水,共两种,1#废水为白钨选矿厂尾矿浓密后溢流废水
(未加石灰沉淀)和2#废水为白钨选矿厂尾矿加石灰排至尾矿库沉淀后回水。
1.2试验设计与分析方法
1.2.1试验设计
1#废水处理试验步骤:
第一步:取1#废水100L入塑料桶中,取样600
mL(水样编号①),调节桶中废水的pH至9.5~10。
第二步:将调节好pH值的1#废水泵入电凝聚装置,废水经电凝聚处理后进入自浮槽,在进入电凝聚装置前的管道中计量泵投加PAC溶液(10%浓度),在电凝聚装置出口到自浮槽的管道中计量泵投加PAM(0.1%浓度),在自浮槽中完成浮渣和水的分离,运行25min后,取自浮槽底部的清水过滤(用滤纸),滤后水取样600mL(水样编号①-1)。
第三步:自浮槽底部清液泵入电凝聚装置作二
次电解,废水经电凝聚处理后进入自浮槽,在进入电凝聚装置前的管道中计量泵投加PAC溶液(10%浓度),在电凝聚装置出口到自浮槽的管道中计量泵投加PAM(0.1%浓度),在自浮槽中完成浮渣和水的分离,运行20min后,取自浮槽底部的清水过滤(用滤纸),滤后水取样600mL(水样编号①-2)。
第四步:取剩余的完成pH调节的1#废水,加自
来水按1∶1稀释,泵入电凝聚装置,在进入电凝聚装置前的管道中计量泵投加PAC溶液(10%浓度),在电凝聚装置出口中计量泵投加PAM(0.1%浓度),废水经电凝聚处理后直接采用量筒取样观察。
2#废水处理试验步骤:
第一步:取2#废水100L入塑料桶中,取样600
mL(水样编号②)。
第二步:将2#废水泵入电凝聚装置,废水经电凝聚处理后进入自浮槽,在进入电凝聚装置前的管道中计量泵投加PAC溶液(10%浓度),在电凝聚装置出口到自浮槽的管道中计量泵投加PAM(0.1%浓度),在自浮槽中完成浮渣和水的分离,运行25min后,取自浮槽底部的清水过滤(用滤纸),滤后水取样600mL(水样编号②-1)。
第三步:自浮槽底部清液泵入电凝聚装置作二
次电凝聚,废水经电凝聚处理后进入自浮槽,在进入电凝聚装置前的管道中计量泵投加PAC溶液(10%浓度),在电凝聚装置出口到自浮槽的管道中计量泵投加PAM(0.1%浓度),在自浮槽中完成浮渣和水的分离,运行20min后,取自浮槽底部的清水过滤(用滤纸),滤后水取样600mL(水样编号②-2)。
第四步:取剩余的2#废水泵入电凝聚装置,在进入电凝聚装置前的管道中计量泵投加PAC溶液(10%浓度),在电凝聚装置出口中计量泵投加PAM(0.1%浓度),废水经电凝聚处理后直接采用量筒取样时加10%稀硫酸调节pH为8观察。
1.2.2水玻璃检测方法
水玻璃的氧化钠(中和法)由于硅酸为弱酸,水玻璃中的硅酸钠水解后生成氢氧化钠而使溶液显碱性,可用盐酸标准滴定溶液滴定,借以求得试样中氧化钠的质量百分数。其化学反应式如下:
Na2SiO3+2H2O?H2SiO3+2NaOHHCl+NaOH?NaCl+H2O
在一已知质量的干燥的称量瓶中,准确称入约1
g试样,然后用煮沸除去CO2后的热水冲洗,移入250mL的锥形瓶中,再加入100mL已冷却的煮沸后除去CO2的水,并充分摇荡。待试样完全溶解后,加数滴溴甲酚绿-甲基红混合指示剂溶液,用0.5
mol/L盐酸标准滴定溶液滴定,至溶液由绿色变成微红色即为终点。
2 试验原理
电凝聚是一个复杂的过程,在电场的作用下金属电极产生阳离子,在进入水体时包括许多物理化学现象,从离子的产生到形成絮体包括三个连续的阶段:
1. 在电场的作用下,阳极产生电子形成“微絮凝剂”———铁或铝的氢氧化物。
2. 水中悬浮的颗粒、胶体污染物在絮凝剂的作用下失去稳定性。
3. 脱稳后的污染物颗粒和微絮凝剂之间相互碰撞,结合成肉眼可见的大絮体。
由于电凝聚过程中电解反应的产物只是离子,不需要投加任何氧化剂或还原剂,对环境不产生或很少产生污染,被称为是一种环境友好水处理技术。电凝聚法具有很多的优点,如:设备简单,占地面积少,设备维护简单;电凝聚过程中不需要添加任何化学药剂,产生的污泥量少,且污泥的含水率低,易于处理;操作简单,只需要改变电场的外加电压就能控制运行条件的改变,很容易实现自动化控制。
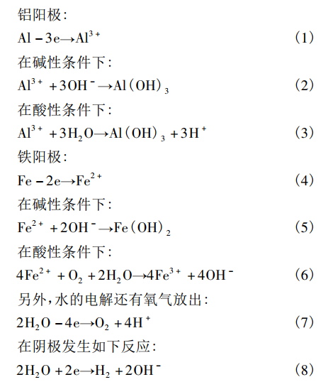
电凝聚法中常用的电极材料为铝和铁,在阳极和阴极之间通以直流电,发生的电极反应如下:
 
电凝聚法在处理过程中具有多功能性,除了电凝聚作用之外还有电化学氧化和还原、电气浮等作用。本试验采用铁、铝混合阳电极。
3 结 果
3. 1 电絮凝设备运行参数
电絮凝设备运行参数见表2。
 
3.2 试验结果
试验运行结果见表3。
 
4 结论与分析
1. 白钨选矿废水加石灰在尾矿库沉淀后,水不调pH,一次电凝聚处理对硅酸盐的去除率仅为19.3%,电凝聚法在处理过程中具有多功能性,除了电凝聚作用之外还有电化学氧化和还原、电气浮等作用。本试验采用铁、铝混合阳电极。
2. 白钨选矿废水调pH至9.5后一次电凝聚处理
对硅酸盐的去除率高达89.2%以上,加上二次电凝聚处理,对硅酸盐的总去除率高达98.1%以上。
3. 白钨选矿废水加石灰在尾矿库沉淀后,水不调
pH,一次电凝聚处理后调pH至8左右的水样同样可以达到清澈、透明,预计水质指标和白钨选矿废水二次电凝聚出水相当。
4. 白钨选矿废水调pH至9.5~10稀释1倍后,一次电凝聚处理的水样同样可以达到清澈、透明,预计水质指标和白钨选矿废水二次电凝聚出水相当,且处理效果显著。

© 2008- 污水宝版权所有 中国jk黑色丝袜美女被网站 | 不良信息举报
查阅更多资料