摘要:介绍高纯铜锌合金滤材的特性和先进性 ,以及讨论了去除水中铅、砷、汞的机理,可应用的范围,应用现状及前景。高纯铜锌合金滤材的特性和先进性, 及讨论了去除水中铅、砷、汞的机理,可应用的范围,应用现状及前景。
关键词:高纯铜锌合金滤材; 重金属;电化反应;水处理
引言
高纯铜锌合金滤材是高纯度的铜,锌颗粒,通过电化学氧化一还原(电子转移)进行水处理工作,它可以清除水中高达99%的铅、铬、汞与其它可溶解金属。对控制细菌,真菌污垢,水藻的滋生成效卓著。被用于预处理,主处理与废水处理设备。
1 去除重金属的机理
高纯铜锌合金滤材处理介质可以去除水中的重金属离子,如铅、汞、铜、镍、镉、砷、锑、铝和其他许多可溶性重金属离子,它们的去除是通过电化学氧化还原反应和催化作用完成的。去除重金属离子的机理如下:金属离子镀覆于高纯铜锌合金滤材处理介质的表面或进入高纯铜锌合金滤材晶格中,从而使有毒重金属污染物结合在高纯铜锌合金滤材上。例如,水中溶解的铅离子还原成不溶性的铅原子,并镀覆于高纯铜锌合金滤材介质的表面;X射线衍射研究发现汞的去除是形成了铜一汞合金。
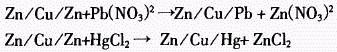
高纯铜锌合金滤材处理重金属离子的化学反应式如下:

金属离子在水的pH值升高时水解形成金属氢氧化物沉淀,也能去除金属离子。
2 高纯铜锌合金滤材的可应用范围
高纯铜锌合金滤材可广泛用于预处理,主处理与废水处理设备中。它们大多与活性碳颗粒过滤器,碳块或管内过滤器共同使用。也可单独使用。用高纯铜锌合金滤材介质进行水的预处理是一种简单、低耗的方法。对于微滤、超滤、反渗透膜、离子交换树脂、颗粒状活性炭,高纯铜锌合金滤材介质能够保护这些昂贵易损的水处理组件不受氯、微生物、结垢的影响。此外,高纯铜锌合金滤材口介质能去除高达98%的重金属,如Pb、cd:Ce、Ag、Ar、AI、Se、Cu、Hg,另外,借助沉淀在高纯铜锌合金滤材介质上发生的氧化还原反应还可以降低水中碳酸盐、硝酸盐和硫酸盐。
影响膜分离工艺效率的主要问题是各种污染物在膜表面的沉积,造成膜表面孔的堵塞,这已是无可争议的事实。高纯铜锌合金滤材介质与微滤、超滤、反渗透膜、离子交换树脂、颗粒活性炭相比,在提高水处理效率和持续保持高效方面具有更多的优势,消耗更低。
2.1 去除市政饮用水中的余氯
高纯铜锌合金滤材口处理介质正日益被用来替代或与活性炭过滤器联合使用,去除市政自来水中的余氯(可高达99%),其主要特点是使用寿命长。并保护活性炭滤层免受细菌污染,使碳的去污能力提升到原来的15倍。并且高纯铜锌合金滤材使更小型的碳过滤器的使用成为可能,从而降低了使用成本。
2.2 保护反渗透装置
反渗透膜很容易受氯腐蚀。高纯铜锌合金滤材口介质可代替活性炭处理以保护反渗透(RO)装置免受氯气、细菌污染,有抑制微生物繁殖的作用。美国现代中西部门诊部实验室处理量为355Ud的反渗透装置,装了高纯铜锌合金滤材过滤介质预处理设备后,膜的使用寿命明显延长。实验室的操作管理人员的报告表明:反渗透膜工作了整整八年,给美国病理学院提供了大量试剂用水,出水水质一直保持在一级水平。
2.3 抑制冷却水中细菌及藻类的繁殖、减少结垢
冷却塔及水冷式热交换器中的水常被加温并曝于空气一因而成为细菌、藻类繁殖的绝好温床(例如Legionella(军团病)可得自冷却塔)。传统化学法通过投加药剂控制冷却塔中藻类及细菌生长,其费用昂贵,后续污水处理成本也高。高纯铜锌合金滤材处理介质处理冷却水成本低,可有效控制藻类及细菌生长,不使用对环境有害的化学物质。另外,经高纯铜锌合金滤材介质处理后的水可减少硬水垢的生成。
2.4 高纯铜锌合金滤材处理介质与其它净水系统
高纯铜锌合金滤材介质可以控制颗粒活性炭层或活性炭滤芯内细菌、藻类的繁殖。当活性炭与高纯铜锌合金滤材处理介质一起使用时,活性炭去除有机杂质及余氯的能力增强。高纯铜锌合金滤材处理介质也可以代替渗银活性炭。从而降低成本。也避免了渗银活性炭银的毒性造成的潜在危险。
2.5 去除有害重金属及其他可溶性重金属离子
高纯铜锌合金滤材口介质,可单独用来从水中除去铅、汞、砷等有害重金属以达到满足饮用水的要求。以除砷为例,当进水含砷量为5mg/L,口高纯铜锌合金滤材过滤处理后水中含砷量为O-lmg/L,去除率99.7%。在应用高纯铜锌合金滤材除砷时,毋需投加药剂,所需设备也较简单,仅需配备一台高纯铜锌合金滤材过滤器,处理过程也十分迅速,其过滤速度是一般采用石英砂的机械过滤器的三倍,因而设备占地面积也较小。
3 高纯铜锌合金滤材的其他优点
高纯铜锌合金滤材处理介质的高寿命,保守的估计高纯铜锌合金滤材处理介质的使用寿命也在l0年以上。提供高质量的家庭用水口感更好,杂味更少的水质。
4 结论
高纯铜锌合金滤材已经在国外水处理行业中得到普遍使用,但国内企业应用较少。目前国内已有一些公司如:北京盛峰飞龙环保科技有限公司等通过不断的尝试,使其成功的运用到净水、中水、污水等水处理行业中,且已批量出口。可以预见,随着国内企业对高纯铜锌合金滤材的逐步认知,高纯铜锌合金滤材在国内水处理行业中必将得到更加广泛的应用。
参考文献
1 张寿恺.氧化还原滤料新进展.给水排水,2000 NO.10.
2 姜安玺.环境工程学.黑龙江科学技术出版社.
3 刘玉钝氧化还原水处理技术中国给水排水坝,1997.N03. 来源:谷腾水网 作者: 马 晶


