工业电泳涂装工艺产生的高浓度有机废水主要是阴极液、超滤液是机械(汽车、家电等),其成分见表1。
表1 阴极液、超滤液主要成分
|
两液中BOD很低,BOD/COD <0.1,不宜采用生化法处理。两液中高分子树脂、颜填漆料可采用混凝法处理,而低分子溶剂(醇、醚类)成为处理难点。
水中易挥发的低分子有机物如醇、醚类等用吹脱法、蒸馏法、汽提法均可去除,其中蒸馏法耗能较大,汽提法则须密闭搅拌,吹脱法耗能少、简便易行。被吹脱的有机废气可用多种方法处理,其中燃烧法对低浓度有机废气并不适用,且存在不完全燃烧的二次污染问题;吸收法则效率较低,而用作吸收剂的柴油、汽油耗量较大。吸附法则对有机化合物吸附选择性好,吸附效率高,用低压蒸汽解吸再生方便。因此采用吹脱—吸附法分离低分子溶剂,由吸附剂吸附后解吸冷凝回收是一种值得研究的处理方法。
1吹脱—吸附法处理废水流程
吹脱吸附法处理两液废水的工艺过程见图1。
![]() |
原水中含高分子树脂、颜填漆料,直接进行吹脱将影响低分子溶剂向气相的传质过程,从而影响吹脱效率。投加PFS(药剂)(1 400~1 600 mg/L),采用混凝法进行预处理,则易于通过电中和及吸附架桥去除水中高分子物质及悬浮态的颜填漆料,处理水澄清,COD有不同程度的下降。水中醇醚类低分子溶剂水溶性好,药剂混凝对醇醚类低分子物质的去除效果较差,混凝处理出水中剩余COD主要由醇醚类低分子溶剂组成。混凝预处理出水水质见表2。
|
2 试验装置
吹脱—吸附法试验装置见图2。
![]() |
试验条件:
吹脱器:φ120 mm×250 mm,吸附器:φ300 mm×300 mm,冷凝器:φ40 mm×400 mm
压缩空气压力:P=0.88~0.92 kPa,低压蒸汽压力:P=0.1 MPa
活性炭:粒状,20~50目,比表面积:a=1 200 m2/g,吸附塔空塔线速:v=0.25 m/s
试验时取经预处理的阴极液、超滤液加入吹脱器1,通入压缩空气鼓泡,出气由阀5由上向下通过吸附器2,由阀7排出。吸附饱和后,由阀8通入低压蒸汽,出气由阀6进入冷凝器3,并同时开通冷却水,冷凝后液态溶剂由溶剂收集器4收集。
测试检验项目:
进入吹脱器原水COD,流出吹脱器出水COD、冷凝回收液态溶剂COD。
吸附出气(即阀7出气)嗅味,采用直接嗅味法(嗅觉有刺激即为超标,约100 mg/L)测定,此法较简便。
3 试验结果及讨论
吹脱试验中测定阴极液、超滤液吹脱前后的COD,其结果如图3、4。
![]() |
由图3、4可知,吹脱气水比越高,出水COD越低,即COD去除率越高。阴极液吹脱气水比达48时(原水COD=2.76×104 mg/L,气压P=0.882 kPa,水温20~22 ℃),COD去除率达72.6%。超滤液吹脱气水比达104时(原水COD=2.76×104 mg/L,气压P=0.882 kPa,水温20~22 ℃),去除率达49.8%。
加温吹脱甚至采用汽提法对溶剂气化分离显然有益,但对活性炭吸附有机气体将降低效果。
用嗅味法测定吸附出气是否带有刺激性气味来判断活性炭是否吸附饱和。一旦有异味即停止吹脱,对活性炭用低压蒸汽再生。再生试验测得数据如表3。
表3 活性炭再生冷凝回收溶剂试验数据
| |||||||||||||||||||||||
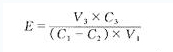
回收率计算式:
![]() |
由于吸附过程采用单柱,难免有机溶剂气体泄漏,活性炭吸附亦难以达到全饱和,所以本试验回收率不高。工程上拟采用多柱串联吸附(如青岛颐中汽车公司、南汽NAVECO公司),则既可防止泄漏,又可保证炭柱在全饱和状态下再生,从而可提高溶剂回收率。吸附容量:
![]() |
4 结论
①吹脱方法可用于含有机溶剂的高浓度有机废水阴极液、超滤液的处理,该法可在气水比λ=48及λ=104时,使COD=2.76×104 mg/L的阴极液、超滤液的COD去除率分别达到72.6%和49.8%。
②活性炭对阴极液、超滤液吹脱的有机溶剂气体单柱吸附时,饱和吸附容量为0.123 gCOD/g炭,用低压蒸汽解吸再生、冷凝回收有机溶剂,回收率可达46.7%~47.3%。
③采用吹脱—吸附法处理电泳涂装工艺废液可以大大降低出水COD浓度,减轻污染,并可回收有机溶剂,产生一定的经济效益。该处理工艺与其他方法配合使用可成为含有机溶剂高浓度有机废水处理的一种有效方法 。谷腾水网







