污水厂设计处理水量30000t/d,作为纺织工业园区的重要配套设施,主要接纳园区内近30家纺织染整企业排放的污水(占总设计水量的95%以上),此外还有少量附近居民小区的生活污水。污水厂工艺主要流程为:一级提升泵房→初沉池→二级提升泵房→水解调节池→曝气池→二沉池→混凝沉淀池。
1、污泥产生的原因分析
从主要工艺流程看,污水厂采用的工艺为水解酸化+好氧生化+深度处理。其中,调节池除了起到调节水质水量的作用外,更重要的是其池内微生物的水解酸化作用,水解酸化调节池水力停留时间8h;生化曝气池采用廊道式推流延时曝气,水力停留时间为26h。表1为该厂设计进水指标以及从2018年3月至6月份的进水指标平均值。

污水厂排放污泥的构筑物分别为初沉池、水解调节池、二沉池及混凝沉淀池。其中,水解调节池和二沉池排放的污泥为生化污泥,其污泥产生的原因为厌氧和好氧微生物的生长。初沉池和混凝沉淀池排放的污泥为物化污泥,混凝沉淀池的污泥产生的原因是废水中投加药剂PAC和PAM所产生的絮凝体。从表1实际进水水质指标可以看出,污水厂进水pH远高于设计进水pH指标,进水呈强碱性,故在实际运行过程中,需在进水集水井加大量的酸调节pH值。考虑到成本等因素,污水厂用于调节pH的废酸为附近钢管厂洗钢管的废酸,但在实际运行中发现,投加钢管厂废酸后,污水中会产生大量的沉淀物(SS),但其上清液的色度较进水有明显降低,初沉池污泥产生的原因为:一是进水SS带来的污泥;二是废水投加废酸后产生的污泥。
2、污泥组成的量化分析
2.1初沉池污泥量化分析
该污水厂某日原水瞬时样水质指标如表1所示。初沉池污泥产生于进水SS和废酸的投加,而在废酸投加产生的污泥中:由园区染整企业生产工艺可知,污水中存在大量的染料和浆料,污水经过中和处理后,这些染料和浆料从污水中沉淀下来,产生污泥;该厂投加的是钢管厂废酸,废酸中存在一定量的铁离子和亚铁离子,与碱性污水中和后,产生铁离子和亚铁离子氢氧化物等沉淀;由于铁离子和亚铁离子的某些化合物(如氯化铁、硫酸铁、氢氧化铁等)具有一定的混凝剂功能,因此废水在加酸中和后,铁离子对废水起到一定的混凝沉淀作用,产生絮凝体沉淀。基于以上3点的分析,对该厂2018年某日的原水进行了加酸试验,试验结果如表3所示。


从表2、表3的试验结果可以看出,使用钢管厂废酸和稀硫酸对污水进行中和后,均产生了大量的沉淀物,投加钢管厂废酸产生的SS较单纯投加稀硫酸多出2240-1780=460mg/L,这部分SS分析认为是废酸中铁离子及铁离子与废水中的胶体物混凝沉淀产生。虽然钢管废酸较稀硫酸多产生460mg/L的沉淀物,但对原水CODCr和色度的去效果要远远好于稀硫酸。由试验数据推导出的污水厂初沉池污泥组成如表4所示。

2.2 水解调节池和二沉池污泥量化分析
2.2.1 水解调节池污泥量化分析
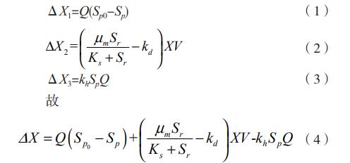
在稳态条件下,水解池内剩余污泥量可由质量平衡求得。换句话说,剩余污泥量(ΔX)=进出水颗粒有机物的减少量(ΔX1)+微生物净增长量(ΔX2)-水解的有机物量(ΔX3),其中:

式中,X为水解池污泥浓度(VSSmg/L);Sr为溶解态基质浓度(mgBOD/L);Ks为饱和常数(mg/L);Sp0为水解前颗粒态有机物浓度(mg/L);Sp为水解后颗粒态有机物浓度(mg/L);kh为颗粒物水解速率常数(d-1);Q为处理水量(m3/d);μm为水解微生物最大比生长速率(d-1);Kd为内元代谢系数(d-1)。
根据该厂工艺特点,废水在经过初沉池的沉淀后进入水解酸化池,故进入水解酸化池的颗粒物浓度较低,而该厂水解酸化池采用填料附着式,故水解酸化池出水颗粒物浓度可以忽略不计,故式(4)中,ΔX1和ΔX3这两项可以忽略不计。
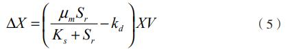
因此,式(4)可以简化为:

该厂2018年3月份间断测定的初沉池出水数BOD5和水解池内污泥浓度如表5所示。通过资料查询,对于印染废水,其动力学参数如下:
20℃下的参数为:Kd=0.20d-1,μm=3.23,Ks=120。


其中,k1=1.094,k2=1.104。
将上述数据代入式(5),结果如表5所示,其中,水解池容积V=10000m3。

由表5可得,水解调节池日产生干泥(MLVSS)量平均值为2.56。
2.2.2 二沉池污泥量化分析
根据该厂2018年3月份检测的每日排泥量及排泥浓度,结果如表6所示。

由表6计算可得,平均值(MLSS)为4.14。从上述分析,水解调节池通过计算得知,每日产生干污泥量2.56tMLVSS,假设其污泥组成中MLVSS与MLSS比值为0.85,则水解调节池每日产生干污泥为3.01tMLSS;结合二沉池每日排泥量,该印染废水厂每日生化排泥量为3.01+4.14=7.15t干泥。
2.3 混凝沉淀池产生污泥量分析
对于该厂混凝沉淀池产生的污泥量,通过小试试验的方法测定,即根据运行中的实际药剂(PAC+PAM)的投加量,取一定量的二沉池出水水样,向水样中投加PAC和PAM,投加量根据运行投加量折算,反应后取一定量的混合样品测定其SS,结果如表7所示。

根据上述试验结果,结合该厂2018年3月份平均日处理水量,按22500t/日处理水量计算,得到该厂混凝沉淀部分日产生干污泥量22500×188÷106=4.23t。
3、结语

通过上述的量化分析,该印染废水厂污泥组成情况如表8所示。由此可以看出,对于印染废水运行中产生的污泥,物化污泥产量远远大于生化污泥产量,而物化污泥中的大部分来自废水中的染料和浆料,这些染料和浆料在碱性条件下呈溶解状态。废水经过加酸中和处理后,这些染料浆料就会大量沉淀,其干污泥占该厂干污泥产量的百分比为83.1%×59.82%=49.71%。因此,控制住了废水中染料浆料的含量,也就能有效降低污泥的产生量。(来源:中电环保股份有限公司)


