在我国21世纪初,城市生活垃圾普遍采用填埋的方式进行处置,据2021年中华人民共和国统计局报告显示,截至2020年,我国卫生填埋场共644座。填埋场中的生活垃圾随着时间的推移,趋于稳定并产生大量的老龄垃圾渗滤液。与新鲜垃圾渗滤液相比,老龄垃圾渗滤液具有高氨氮、低C/N、可生化性差和污染物成分更加复杂且毒性强等特点。
传统脱氮工艺由于存在能耗和运行成本高的缺点。因此,对于低C/N比和高氨氮的老龄垃圾渗滤液而言,目前亟需探究一种经济且高效的脱氮方法。厌氧氨氧化(anaerobicammoniumoxidation,Anammox)是一种新型高效的生物脱氮技术,与传统脱氮技术相比,该技术具备无需曝气、无需外加碳源、污泥产量少、温室气体排放少和运行成本低等优点。该技术是利用厌氧氨氧化菌(anaerobicammoniumoxidationbacteria,AnAOB)在缺氧或者厌氧环境条件下,利用NO2−-N为电子受体,以NH4+-N为电子供体,最后将两者转化成N2的过程。目前由于AnAOB生长速度缓慢,且倍增周期较长,导致Anammox工艺在工程运用中存在启动时间长,AnAOB富集丰度低等难题。目前报道文献中,王朝朝等利用Anammox絮状污泥和厌氧颗粒污泥在UASB反应器中经过140d成功培养出Anammox颗粒污泥,TN去除负荷为0.26kg·(m3·d)−1;季军远等以絮状厌氧消化污泥为接种污泥,经过250d成功启动有效体积为1.4L的Anammox-UASBA反应器;Wang等将Anammox颗粒污泥接种于UASB反应器,经过178d启动及稳定运行,NLR高达8.25kg·(m3·d)−1;李亦舒等探究低DO条件下对Anammox工艺脱氮影响,富集的AnAOB丰度仅为14.3%。
基于此,本研究针对短程硝化处理后的老龄垃圾渗滤液,采用UASB反应器快速启动Anammox用于进一步深度脱氮,分析启动过程中接种污泥形貌变化、微生物群落结构变化和脱氮性能。为此,探究Anammox最佳启动条件,并采用厌氧硝化污泥为接种污泥,在30L的UASB反应器中,仅用60d成功启动Anammox。启动成功后以短程硝化处理后的老龄垃圾渗滤液为进水,探究该系统脱氮性能。实现Anammox反应器稳定运行和较强的脱氮性能,为其在老龄垃圾渗滤液工程运用中提供科学的技术参考。
1、材料与方法
1.1 实验装置
本研究单因素批量实验采用4至6个用锡箔纸包裹的250mL的具塞锥形瓶,Anammox启动和实际废水脱氮实验在UASB反应器中进行,实验装置如图1所示。该反应器内径为20cm,高100cm,有效体积为30L,反应器内投加Φ=55mm的聚氨酯生物填料球,投加量为30%。运行工况:利用温控系统将反应器内温度控制在(30±1)℃,DO为0.3mg·L−1,初始pH为7.5,MLSS为4200~4500mg·L−1;模拟废水启动阶段Ⅰ,采用人工配水,设置进水蠕动泵流量为10L·d−1,利用进水蠕动泵将模拟废水从反应器底部输入,内循环蠕动泵转速设置为2r·min−1,处理后的水从顶部出水口排入出水箱中;实际废水运行阶段Ⅱ,启动成功后,通过逐渐提高老龄垃圾渗滤液的浓度,运行工况与启动阶段一致。

1.2 实验用水
本研究启动阶段采用模拟的垃圾渗滤液为进水,启动成功后以短程硝化处理后的老龄垃圾渗滤液为进水。模拟废水中NH4+-N和NO2−-N由(NH4)2SO4和NaNO2按需添加,其质量浓度分别为50~200mg·L−1和60~260mg·L−1。其他主要成分:MgSO4·7H2O、CaCl2、NaHCO3和KH2PO4、微量元素Ⅰ(1mg·L−1)和微量元素Ⅱ(1mg·L−1)。
1.3 实验接种污泥
本研究接种污泥为广东省云浮市某养鸭废水处理站两级A/O工艺中厌氧硝化污泥,颜色呈棕红色,MLSS为5000~6000mg·L−1。利用缓冲溶液将厌氧接种污泥清洗3遍,随后采用100目筛网进行筛分,去除杂物,并收集筛网上的颗粒污泥;将颗粒污泥置于装有NH4+和NO2−质量浓度分别为30mg·L−1和40mg·L−1的密闭容器中,并添加适量的MgSO4·7H2O、CaCl2、NaHCO3和KH2PO4营养物质、微量元素Ⅰ和微量元素Ⅱ进行纯化培养。纯化培养后的接种污泥中微生物数量为3×108个·mL−1,主要微生物群落包括Proteobacteria、Chloroflexi和Planctomycetes。将纯化后的接种污泥避光储存于实验室4℃冰箱中。
1.4 分析项目与方法
水质根据《水和废水监测分析方法》(第四版)中的方法测定。其中NH4+-N采用纳氏试剂分光光度法测定、NO2−-N采用N-(1-萘基)-乙二胺光度法测定、NO3−-N采用紫外分光光度法、MLSS采用重量法测定、pH和DO采用便携式水质多参数测定仪(上海SANXIN-SX825)测定。
污泥外貌形态,将样品置于10mL离心管内,加入2.5%戊二醛固定液进行固定,冷冻干燥好后,将样品镀膜后在扫描电子显微镜(SEM,ZeissGemini300,上海卡尔蔡司)进行观察并拍摄。污泥中EPS特征,采用一种改良的热提法提取污泥的3层EPS,并用三维激发发射矩阵(3DEEM)荧光光谱法测定EPS中有机物变化。采用考马斯亮蓝法和蒽酮—硫酸法分别测定EPS中的多糖和蛋白质。
微生物群落多样性,利用Qubit3.0DNA检测试剂盒对基因组DNA进行定量。对细菌的16SrRNA的V3~V4区,用通用引物341F(CCTACGGGNGGCWGCAG)和805R(GACTACHVGGGTATCTAATCC)进行PCR扩增,最后采用IlluminaMiSeq测序平台完成测序。
2、结果与讨论
2.1 厌氧氨氧化污泥最佳脱氮条件确定
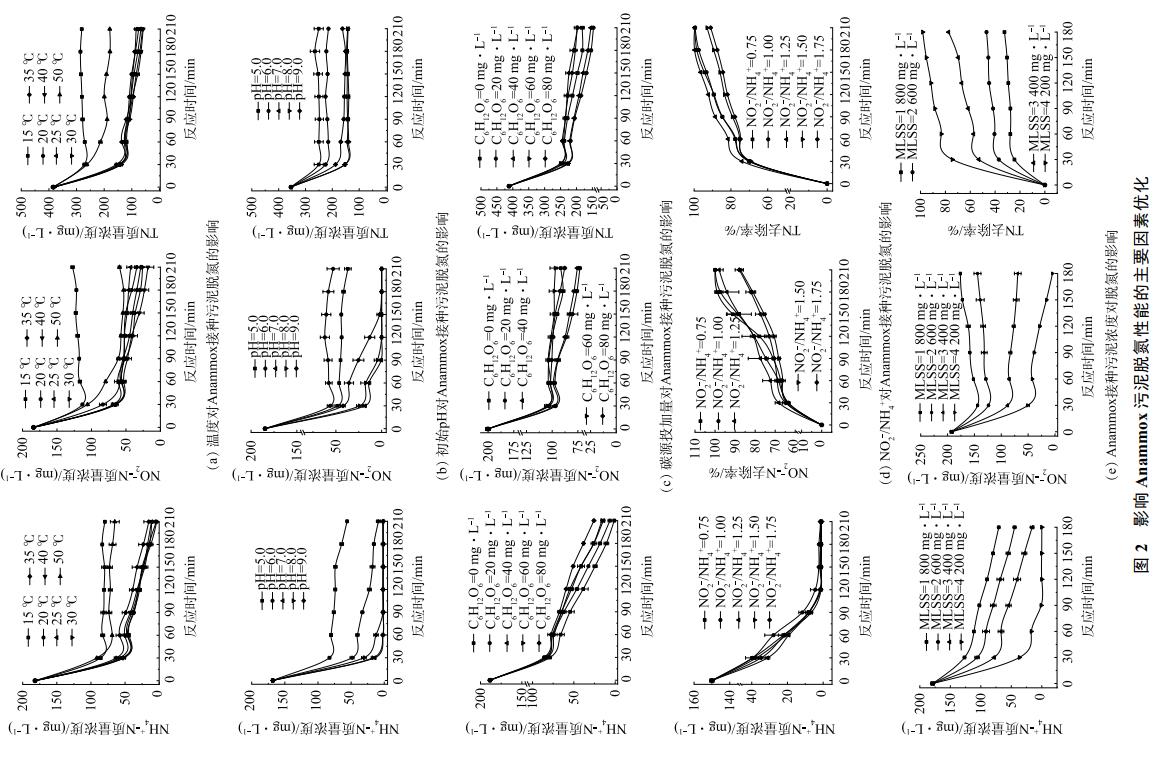
1)温度对厌氧氨氧化污泥脱氮的影响。
有研究表明,AnAOB最适的生长温度在15~40℃。基于此,探究温度(15、20、25、30、35、40和50℃)对Anammox污泥脱氮性能的影响,结果如图2(a)所示。当反应温度为15℃和50℃时,NH4+-N和NO2−-N的平均去除率分别为56.3%、64.3%和30.8%、67.8%。这是由于低温条件下导致比氨活性(SAA)降低,高温条件下由于细菌细胞裂解,SAA受到抑制,导致脱氮效率下降,在20、25、30、35和40℃下,NH4+-N和NO2−-N的平均去除率分别超过90%和76%。其中30℃下的NH4+-N和NO2−-N去除效果最佳,其平均去除率分别超过98%和85%。当反应温度为30℃和40℃时,TN的去除率最高,平均值分别为91.7%和91.9%。为节省能耗,将最佳反应温度设为(30±1)℃。

2)初始pH对厌氧氨氧化污泥脱氮的影响。
AnAOB的生理pH为6.7~8.3。不同初始pH(5.0、6.0、7.0、8.0和9.0)对Anammox污泥脱氮性能的影响如图2(b)所示。初始pH的升高,有利于去除NH4+-N、NO2−-N和TN,当初始pH为7.09.0时,NH4+-N、NO2−-N和TN的去除效果最佳,其平均去除率均超过99%。pH决定了游离氨(freeAmmonia,FA)和游离亚硝氨(freenitrogenousammonia,FNA)的浓度,FA已被证明是Anammox系统中的一种重要抑制剂,低pH会导致FA浓度下降,这有利于AnAOB的活动。然而,有研究表明,Anammox主要受pH影响,而非FA的抑制。极端pH可能会影响质子转移和其他代谢过程。AnAOB菌在酸性条件下受到抑制,从而降低其脱氮性能。结果表明,进水初始pH为7.0~8.0脱氮效果最佳,故本研究将最佳初始pH设为7.5。
3)碳源投加量对厌氧氨氧化污泥脱氮影响。
有机物被认为是影响Anammox脱氮性能的一个重要因素。不同C6H12O6投加量(0、20、40、60和80mg·L−1)对Anammox脱氮性能的影响结果如图2(c)所示。NH4+-N的去除效果与C6H12O6投加量呈负相关,当C6H12O6投加量为0mg·L−1和20mg·L−1时,NH4+-N去除效果最佳,其平均去除率分别为99.5%和96.7%;当C6H12O6投加量为80mg·L−1时,NH4+-N平均去除率仅为86.4%。其主要原因可能是存在有机碳,异养菌会大量生长繁殖,如反硝化菌,导致AnAOB菌的生长受到抑制,NH4+-N的去除性能下降。相反,NO2−-N去除率与碳源投加量呈正相关,在C6H12O6低投加量(0mg·L−1和20mg·L−1)时,其平均去除率仅为54.3%和65.5%。这主要是因为部分NO2−-N在反硝化菌的作用下转化为N2。有研究表明,在COD为100mg·L−1时,NH4+-N和TN的去除效率均超过90%相比之下,当COD达到约300mg·L−1时,Anammox仅占TN去除率的69%。在不同C6H12O6投加量(0、20、40、60和80mg·L−1)下,TN平均去除率分别为74.0%、80.6%、76.6%、70.3%和81.8%。尽管有机物可能会对Anammox产生不利影响,但较低的有机物浓度或合适COD/N可能会支持Anammox和反硝化的共存。从NH4+-N、TN的去除效果以及经济考虑,本研究将不外加碳源。
4)NO2−/NH4+对厌氧氨氧化污泥脱氮影响。
研究表明AnAOB对铵和亚硝酸盐的亲和常数均小于或等于0.1mgN·L−1。探究不同NO2−/NH4+(0.75、1.00、1.25、1.50和1.75)对Anammox污泥脱氮性能影响结果如图2(d)所示。NO2−/NH4+比为0.75、1.00、1.25、1.50和1.75对NH4+-N的平均去除率分别为99.4%、99.1%、99.3%、99.5%和98.9%,对NO2−-N的平均去除率分别为100%、100%、98%、87%和88%,对TN的平均去除率分别为99.6%、99.5%、99.7%、93.0%和91.0%。高底物浓度可抑制Anammox活性,尤其是在高NO2−-N浓度。Anammox反应过程如化学式(1)所示。理论上每消耗1molNH4+,需要1.32molNO2−,若NO2−/NH4+高于1.32理论值,则出现NO2−无法完全反应,导致出水存有剩余的NO2−。若NO2−/NH4+低于1.32,反而会出现NH4+过剩,导致出水TN去除率下降。结果表明,NO2−/NH4+太高或太低都会影响其脱氮性能,故本实验将NO2−/NH4+设为1.25~1.50较为合适。

5)接种污泥浓度对厌氧氨氧化污泥脱氮影响。
Anammox脱氮性能与接种污泥浓度相关联。基于此,探究不同接种污泥浓度(1800、2600、3400和4200mg·L−1)对Anammox污泥脱氮性能影响,结果如图2(e)所示。污泥质量浓度为1800、2600、3400和4200mg·L−1,进水NH4+-N质量浓度控制为153.8mg·L−1,出水质量浓度分别为70.5、44.6、15.8和0mg·L−1,其平均去除率分别为54.2%、71.0%、89.7%和100%;NO2−-N进水质量浓度为192.3mg·L−1,出水质量浓度分别为176.2、144.3、69.3和4.6mg·L−1,平均去除率分别为8.4%、25%、64%和97.6%;TN的去除率分别为32.5%、46.5%、77.5%和98.2%。结果表明,当接种污泥浓度较低时,系统中的微生物含量也随之减小,导致其脱氮效果不佳,而将污泥浓度提高至一定程度,微生物的数量极为丰富,其脱氮性能最佳。结果表明,接种污泥质量浓度为4200mg·L−1时,其脱氮效果最佳。
2.2 厌氧氨氧化快速启动及脱氮性能
单因素批量实验结果表明,Anammox最适的运行条件温度为(30±1)℃、初始pH为7.5、无外加有机碳源、NO2−/NH4+=1.25~1.50和接种MLSS为4200mg·L−1。基于此,进行Anammox启动和脱氮性能研究,其中启动阶段Ⅰ指以模拟废水为进水,用于Anammox的快速启动;实际废水运行阶段Ⅱ是指在启动成功后,以短程硝化处理后的老龄垃圾渗滤液为进水,探究UASB反应器脱氮性能的研究。由图3(a)可见,模拟废水启动阶段Ⅰ中当NH4+-N质量浓度由48.5mg·L−1逐渐提升至211.3mg·L−1时,平均去除率为99.2%。此外,当提高氮负荷比时,其NH4+-N去除效率轻微下降,随后回升到较高的水平。这表明反应器中的微生物具备较强的抗冲击负荷能力,启动过程中NH4+-N的出水质量浓度均低于6mg·L−1。从图3(b)可知,当NO2−-N从初始质量浓度由64.7mg·L−1逐渐提升至247.1mg·L−1,反应器对NO2−-N同样保持较高的去除效果,NO2−-N出水质量浓度低于10mg·L−1,平均去除率为97.2%。由图3(c)可见,NO3−-N的积累量随着NH4+-N和NO2−-N浓度的增加而增加,但始终低于0.26,∆NO2−-N/∆NH4+-N平均值为1.26,略低于理论值1.32。这可能是由于反应器中除了AnAOB外,还存在反硝化菌,使得Anammox过程中产生的NO3−-N在反硝化菌的部分反硝化作用下转为NO2−-N,导致∆NO2−-N和∆NO3−-N偏低,从而导致结果比理论值低。由图3(d)可见,当TN的质量浓度由113.1mg·L−1逐渐升至458.4mg·L−1时,平均去除率为90%,出水质量浓度低于25mg·L−1,表明第60天时Anammox成功启动。

实际废水运行阶段Ⅱ:启动成功后以短程硝化处理后的老龄垃圾渗滤液为原水,进水NH4+-N、NO2−-N、NO3−-N和TN的质量浓度分别为150~190、200~250、5~15和375~465mg·L−1。由于水质与启动期的模拟废水存在差异,微生物受到抑制,导致启动初期的脱氮性能不稳定,运行至第125天时,NH4+-N、NO2−-N和TN的平均去除率分别为81.7%、81.9%和76.2%,平均出水质量浓度分别为31、42.5和99.8mg·L−1,NO3−-N的平均出水质量浓度为25.7mg·L−1。结果表明,随着运行时间推移脱氮性能趋向稳定,系统运行至126~150d时NH4+-N、NO2−-N和TN出水较为稳定且保持较高的脱氮效果,其平均去除率分别为86.9%、85.7%和80.2%,表明该系统运行趋向于稳定。
2.3 接种污泥形貌特征分析
1)生物填料以及接种污泥变化。
在图4(a)~(c)中观察到聚氨酯生物填料上的孔隙中附着很多由微生物聚集而成生物膜。这说明聚氨酯生物填料可为AnAOB提供附着场所,可以有效解决运行过程中种泥流失的难题。在图4(d)~(f)中观察到絮状污泥逐渐减少,颗粒污泥逐渐增多。为了更清楚地观察污泥形态,利用显微镜进行观察,在图4(g)~(i)中观察到原始接种污泥中絮状污泥居多,只有少数的颗粒污泥,且颗粒污泥粒径较小,第60天时,可以明显的观察到颗粒污泥占主导地位,同时污泥颗粒化程度高且形态完整。

2)接种污泥表观形貌。
为更好地揭示接种污泥颗粒化过程,从UASB反应器中取第0、20、40和60天的污泥样品,观察污泥从开始接种至接种至60d过程中微生物聚集的情况。由图5(a)可见,原始接种污泥呈现出网状结构,主要是由变形菌门和绿弯菌门形成,这为后期AnAOB的富集提供附着位点。由图5(b)可见,第20天的接种污泥在原本树状结构上聚集了球状颗粒。如图5(c)所示,在第40天的接种污泥表面观察到不规则的花椰菜外观。由图5(d)可见,接种60d后污泥呈现的花椰菜外观更加明显,花椰菜外观是AnAOB成功富集的特征。这表明反应器在40~60d内AnAOB成功富集。此外,可观察到细菌被某种分泌物紧密连接,这有利于AnAOB抗冲击负荷和具有较好的沉降性能,可有效地减少接种污泥的流失。

3)接种污泥EPS中蛋白质(PN)和多糖(PS)的变化。
EPS是污泥颗粒化的重要物质。基于此,本文探究EPS中PN和PS对Anammox颗粒化的影响。由图6(a)可见,原始接种污泥中PN的含量为0.39mg·g−1(以每克MLVSS计),接种至第30天时,提高至4.92mg·g−1,接种至第60天时,提高至9.42mg·g−1。而PN含氨基,并带正电荷,导致污泥表面负电荷减少,微生物间的静电斥力降低,细胞表面的疏水性增强,从而使细胞更易于从水相中脱离出来并互相聚集。因此,PN含量的增加可促进污泥颗粒化,表明微生物随着时间推移不断富集,这与SEM的结果一致。接种60d后,原始接种污泥EPS中PS也由1.10mg·g−1增加至5.05mg·g−1,与PN呈现出相同的变化趋势(图6(b))。并且在氮负荷增加的过程中不断分泌更多的EPS,PS通过形成聚合物来促进微生物间的黏附以增强颗粒污泥的稳定性。同时,PS交联形成的水凝胶是维持颗粒污泥稳定的重要因素。PS长主链之间的缠结以及丰富的结合位点桥接形成骨架,增强了微生物之间的黏附,有利于维持颗粒污泥的稳定状态。PN/PS通常可以作为接种污泥稳定性和沉降性能的表征,由图6(d)可知,原始接种污泥PN/PS为0.356,第30天时其值为3.51,第60天时其值为1.87。有研究表明,PN/PS为0.5~5内时,颗粒污泥的稳定性和沉降性随该比值增大而增强。由图6(c)和图6(d)可知,总EPS的分泌量的增加表明AnAOB得以富集。

4)污泥EPS的3D-EEM结果。
AnAOB分泌特定的EPS,可间接表征AnAOB的生长富集状况。基于此,本文研究不同运行时期接种污泥各层EPS荧光光谱的变化,结果如图7所示。EPS的荧光谱图中主要包含4个特征峰:A峰激发波长/发射波长(Ex/Em)位于230~260nm/300~330nm,为酪氨酸蛋白;B峰Ex/Em位于337~400nm/425~462nm,为腐殖酸;C峰Ex/Em位于260~280nm/370~425nm,为富里酸和D峰Ex/Em位于230~262nm/335~370nm,为色氨酸蛋白质。与图7(a)和图7(b)的接种污泥相比较,第30天(图7(e)~(f))和第60天(图7(h)~(i))在LB-EPS和TB-EPS层出现了腐殖酸类有机物(B峰),该有机物是AnAOB中的CandidatusBrocadia分泌的特定物质,表明第30天和60天之后AnAOB得到富集,且第60天时富集程度比第30天时要高。接种第60天的酪氨酸蛋白质(峰A)和色氨酸蛋白质(峰D)荧光强度比接种污泥高,且这2种物质在Anammox污泥的聚集中起重要作用。表明随着污泥接种时间的推移,微生物不断的分泌出更多的胞外聚合物,同时也说明微生物不断的进行生长繁殖,与上节的扫描电镜的结果相一致。

2.4 不同时期微生物群落结构变化
1)微生物多样性分析。
采用16SrRNA高通量测序技术分析接种污泥在UASB反应器运行过程中微生物群落结构变化情况。由表1可知,覆盖率(coverage)均大于99%。0~30d反应器中氮负荷由0.075kg·(m3·d)−1提升至0.153kg·(m3·d)−1,OTUs数由370降至322,微生物多样性和丰度均呈现较明显的下降趋势,说明大部分不适应环境的微生物被淘汰。30~60d反应器中氮负荷增加至0.306kg·(m3·d)−1,OTUs数由322降至312,微生物多样性和丰度呈现出略微下降趋势,表明微生物逐渐适应环境。此外,Simpson指数增大,Shannon指数、Ace指数和Chao1指数有所降低。以上结果表明,随着氮负荷的增加,微生物群落多样性和丰度与原始接种污泥相比有所下降,表明在运行过程中系统不断将不适应环境的微生物进行淘汰,从而使得主要的功能菌逐渐占据主导地位,从而提高系统的脱氮性能。

2)门水平物种丰度分析。
图8(a)反映了UASB反应器接种第0、30和60天时在门水平上微生物群落结构。结果表明:第0天时,反应器内门水平的微生物主要包括变形菌门(Proteobacteria)、绿弯菌门(Chloroflexi)、浮霉菌门(Planctomycetes)、拟杆菌门(Bacteroidota)、厚壁菌门(Firmicutes)、疣微菌门(Verrucomicrobia)和酸杆菌门(Acidobacteria),其相对丰度分别为29.9%、15.2%、6.40%、6.22%、3.76%、1.77%和1.15%;第30天时,反应器中浮霉菌门、拟杆菌门、厚壁菌门和酸杆菌门的相对丰度分别提高至12.9%、8.72%、12.7%和1.32%,变形菌门和绿弯菌门分别下降至27.5%和3.05%,在第30天时没有检测到疣微菌门,却检测到Ignavibacteriae,其相对丰度为0.81%;第60天时,浮霉菌门、拟杆菌门和Ignavibacteriae相对丰度分别提高至44.4%、9.95%和1.34%,变形菌门、厚壁菌门、绿弯菌门和拟杆菌门相对丰度分别降至21.4%、0.36%、2.32%和0.54%。有研表明,Anammox体系中AnAOB可与上述微生物存在共存现象。

反应器运行至第60天时,浮霉菌门成为第一优势菌门,这主要是启动时逐渐提升氮负荷,且无外加有机碳源,使得接种污泥中的变形菌逐渐地失去第一优势菌的地位。而AnAOB为化能自养型细菌,在无有机碳源的环境中更有利其生长繁殖,从而使其在系统中更加具有竞争力。虽然变形菌门失去了第一优势菌门的地位,但其依旧保持较高的丰度,该菌门中含硝化、反硝化细菌,提升反应体系中的脱氮效率。值得注意的是,Ignavibacteriae从未检出到第60天时升至1.34%,该菌属于异养兼性厌氧菌,能将NO3−-N还原为NO2−-N,有利提高系统的脱氮性能,同时可解释Anammox的系统中∆NO2−/∆NH4+和∆NO3−/∆NH4+低于理论值的原因。大部分的丝状菌为绿弯菌门,由于接种污泥中绿弯菌门为第二优势菌门,为后期AnAOB的富集提供附着位点,此外该菌门还参与凋亡细胞的分解和胞外物质的合成。Anammox反应器是一个多种微生物共存的系统,形菌门、厚壁门、绿弯菌门和拟杆菌门等微生物参与脱氮,有利于反应器脱氮和稳定运行。
3)属水平菌群结构分析。
在UASB反应器接种第0、30和60天时,属水平上的微生物群落结构变化如图8(b)所示。接种污泥主要以Thauera、Thermomonas、Nitrosomonas、Ohtaekwangia为优势菌。运行60d后,浮霉菌门中的CandidatusBrocadia成为优势菌,其丰度从反应器启动前未检出提高至42.4%。通常,随着低氮负荷向高氮负荷的提升过程中CandidatusBrocadia可能受高浓度NO2−-N的抑制。但本研究中CandidatusBrocadia可以免受抑制且成为优势菌,表明Anammox启动成功。
同时反应器存在Thauera、Thermomonas、Nitrosomonas、Ohtaekwangia和Ignavibacterium等硝化反硝化菌,Thauera的存在有利于COD和TN的去除,Thermomonas属于热单胞菌,可以有效去除NO3−-N;Nitrosomonas属于AOB菌,该菌利用一部分NH4+-N转化成NO2−-N为AnAOB提供基质;Ohtaekwangia属于硝化细菌门,其丰度由初始2.60%增加至3.32%,该菌丰度增加有利于系统的脱氮,Ignavibacterium属于亚硝化盐还原菌,该菌丰度增加至1.34%,在Anammox系统中经常与AnAOB发挥作用。虽然前3者的丰度有所下降,后两者的丰度上升,但其对该反应器高效脱氮有重要贡献。
3、结论
1)在UASB反应器中成功快速启动Anammox,其最佳运行条件为(30±1)℃、初始pH为7.5、无需外加碳源、NO2−-N/NH4+-N为1.25~1.50和MLSS为4200mg·L−1,历经60d快速启动成功厌氧氨氧化。
2)UASB反应器启动60d后,污泥中EPS中PN由0.39mg·g−1增至9.42mg·g−1,PS从1.1mg·g−1增加至5.05mg·g−1,总EPS由接种前的1.49mg·g−1增至14.5mg·g−1,说明氮负荷增加时有利于微生物分泌出更多的胞外聚合物,有利于Anammox颗粒的形成,增强其抗负荷能力,且能减少种泥流失。
3)启动成功的UASB反应器处理老龄垃圾渗滤液,系统运行至126~150d时NH4+-N、NO2−-N和TN平均去除率均在80%以上,TN去除负荷最高为0.36kg·(m3·d)−1,可为工程规模的Anammox快速启动用于老龄垃圾渗滤液脱氮提供参考。
4)UASB反应器启动成功后,微生物多样性减少,AnAOB所在的浮霉菌门(Planctomycetes)成为优势菌门,其相对丰度为44.4%,CandidatusBrocadia成为优势菌属,相对丰度提高至42.4%,说明AnAOB成功富集,AnAOB利用NO2−-N为电子受体,以NH4+-N为电子供体实现深度脱氮。同时UASB反应器是一个以硝化反硝化菌为辅,以AnAOB为主的共生系统。(来源:广东工业大学环境科学与工程学院,佛山市水业集团有限公司,广东环境保护工程职业学院)



