膜蒸馏是一种以疏水微孔膜为分离介质,膜两侧蒸汽压差为传热和传质驱动力的膜分离技术。根据膜蒸馏过程中渗透侧蒸汽冷凝方式的不同,膜蒸馏可分为直接接触式膜蒸馏(DCMD)、气隙式膜蒸馏(AGMD)、真空膜蒸馏(VMD)和扫气式膜蒸馏(SGMD)4种类型,其中,DCMD两侧溶液与膜直接接触,具有结构简单、膜通量大、热损失大等特点,可用于海水脱盐、有机发酵废水处理等;AGMD中,冷凝面与膜表面间存在停滞空气隙,蒸汽穿过空气隙会在冷凝面上冷凝,可应用于分离挥发性物质、富集水中同位素等;VMD具有较低的热损、较高的膜通量且不易出现温度极化等特点,可用于浓海水处理、焦化废水处理等;SGMD具有膜表面疏水性良好、温度极化较小等特点,可用于海水淡化等。另外,相较于微滤(MF)、超滤(UF)、纳滤(NF)和反渗透(RO)等传统膜分离技术,膜蒸馏具有以下优点:①理论上能完全分离大分子、胶体、离子及其他非挥发性物质;②操作压力低;③较传统的蒸馏操作温度低;④成本低且节能。
然而,膜蒸馏过程和其他膜分离过程一样,污水中存在的有机物、无机物及微生物等污染物黏附在膜表面上或膜孔内,导致膜渗透通量下降以及膜表面及膜孔污垢积累等膜污染问题,进而降低膜蒸馏性能。除此之外,当颗粒污垢在膜表面和膜孔内积聚,且膜渗透侧压力低于进料侧压力时,膜蒸馏过程会发生膜润湿现象。即在膜表面和膜孔间形成盐水通道,进料液作为液体流入渗透侧,降低系统截盐率。因此,为使膜蒸馏过程高效、稳定地运行,减缓膜污染尤其重要。
目前,减缓膜蒸馏过程中膜污染的研究主要有开发功能膜、预处理进料液以及膜清洗三大类。其中,功能膜制备过程复杂,工业化大规模制备较困难,严重限制其在膜蒸馏上的应用。相比较而言,预处理进料液和膜清洗技术更具可行性和可操作性。因此,分别概述膜蒸馏过程中膜污染的机制、膜污染物组成以及膜污染影响因素,然后重点讨论预处理和膜清洗两种膜污染减缓策略在膜蒸馏领域的研究进展,以期对膜蒸馏过程缓解膜污染的研究提供参考。
1、膜蒸馏过程中膜污染的成因及机理
1.1 膜污染形成机理
膜蒸馏过程中的膜污染是指当水在膜面上蒸发时,溶液中的各种污染物可吸附、沉积在膜表面或进入膜孔,从而造成膜表面结垢或膜孔变窄、堵塞,最终使盐截留率和膜渗透通量下降的现象。在该情况下,膜表面污垢层提供了额外的热阻,导致进料侧膜表面温度下降,从而降低了蒸汽压差,即降低了膜蒸馏过程中蒸汽过膜的驱动力。膜蒸馏过程中驱动力(Δp)可表示如下:

式中:afm、apm分别为进料侧和渗透侧水分活度;p0fm、p0pm分别为进料侧和渗透侧中纯组分(水)的饱和蒸汽压,kPa。
蒸汽压值来源于进料侧和渗透侧边界层的温度,此温度与系统整体温度不同,系统的整体温度由温度极化系数(TPC)决定。TPC计算公式如下:

式中:Tf、Tp分别为进料侧和渗透侧的整体温度,K;Tfm、Tpm分别为进料侧和渗透侧膜表面的温度,K。
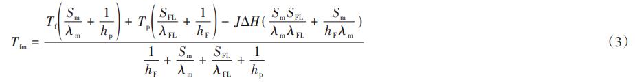
Tfm值的变化不仅取决于膜表面污垢层厚度(SFL),同时还取决于污垢层的传热系数(λFL),具体计算公式如下:

式中:Sm为膜厚度,μm;hF、hP分别为进料侧和渗透侧对流传热系数,W/(m2·K);λm为膜传热系数,W/(m·K);J为渗透通量,L/(m2·h);ΔH为蒸发热,kJ/mol。
通常污垢层的λFL值很小,因此对于高传热系数h,只要形成污垢层就会使Tfm减小,进而降低膜渗透通量。因此,减缓膜污染对延缓膜蒸馏过程渗透通量下降和提高废水处理效率具有重要意义。
1.2 膜污染的分类
根据污染物的组成,膜污染可分为无机污染、有机污染和生物污染三种。不同膜污染类型形成的污垢层具有不同的传热系数,对于有相似厚度的污垢层,不同膜污染类型对渗透通量的影响也不同。因此,精准区分膜污染类型有助于发展和运用针对性的防污策略。
1.2.1 无机污染
无机污染导致的膜结垢是固体无机化合物由于浓差极化作用而在膜表面或膜孔中富集的现象。根据膜蒸馏过程中膜无机污染形成的一般步骤,当无机盐富集浓度超过其溶解限度后,进料液呈过饱和状态,此时有限数量的离子、原子或分子开始相互吸引并形成晶体,而后晶体通过重力沉降进入膜孔或沉积在膜表面形成污垢层。此外,无机污垢层的形成还会使溶液过膜效率比单独因热阻增加引起的效率下降更快。为了减少膜结垢和膜润湿对膜蒸馏过程的影响,可采用投加阻垢剂、过滤、混凝等预处理方法及水洗、曝气、振动、酸洗等清洗方法。
1.2.2 有机污染
有机污染是由胶体态或溶解态有机物通过静电力、亲和力及疏水作用在膜表面上吸附、沉积引起的污染。常见的有机污染物主要有多糖、腐殖酸、蛋白质及其他天然有机物(NOM)等,其主要污染行为如下:①堵塞膜孔。污染物直接吸附在膜孔中,导致膜孔变窄或堵塞。②形成凝胶层。污染物在膜表面形成污垢层以堵塞膜孔。③形成滤饼层。污染物在膜表面形成低渗透性的污垢层。
1.2.3 生物污染
生物污染主要指细菌、微生物及其代谢产生的大分子在膜表面上积累和繁殖的过程。生物污垢对膜的影响与有机污垢类似,主要有两种影响机制:①润湿膜孔,一些颗粒物会通过膜孔污染渗透侧水质;②堵塞膜孔,增加传质阻力,导致渗透通量下降。此外,在实际的膜蒸馏过程中,进料液通常不止一种污染物,如还存在矿物盐、胶体物质、有机物和微生物,它们之间往往具有协同作用。
1.3 膜污染的影响因素
膜污染是一种复杂的现象,了解膜污染行为是缓解膜上污垢层形成的必要条件。其中,影响膜蒸馏过程中膜污染的因素主要有污染物特性、膜特性及操作条件三类。
1.3.1 污染物特性
污染物的浓度、分子大小、溶解度、碱度、扩散率及亲疏水性等决定着膜蒸馏过程膜污染的程度。例如,溶解度低的CaCO3和CaSO4等无机盐类直接沉积在膜表面上可使膜表面结垢,从而引起膜污染。此外,由于膜蒸馏过程采用的膜为疏水膜,因此疏水性的腐殖酸类物质也易吸附在膜表面上而形成沉积,从而导致膜污染。
1.3.2 膜特性
膜特性主要体现在膜的材料、孔径、厚度、疏水性以及表面粗糙度等方面,较小的膜孔径所对应的污染物截留率较高,但孔径较小往往更容易造成膜污染和膜润湿。因此在对膜蒸馏过程膜的选择方面,应在满足截留要求的条件下,充分考虑膜孔径等因素对系统通量及膜污染的影响。
1.3.3 操作条件
操作条件主要指过膜流量、水流速度及溶液温度等。升高溶液温度会使污垢粒径逐渐减小,从而使膜污染作用发生相应变化。在低温时污垢层起主要作用,在中低温时主要是污垢层和膜孔堵塞起作用。因此,在膜蒸馏运行过程中,应合理设置各项操作条件,并充分考虑操作条件对反应系统稳定性和膜污染的影响。
上述三种途径对膜蒸馏过程中的膜污染有一定减缓效果,但在实际应用时上述途径存在明显的局限性。例如,疏水性污染物也是膜蒸馏的重点研究方向,膜的选择还应考虑成本问题,操作条件调整较为复杂。相比之下,膜前预处理和膜清洗适用于所有膜蒸馏过程中膜污染的控制。
1.4 膜润湿
大量研究证实,膜污染会加快膜蒸馏过程中膜表面的润湿速率。因此,长期运行过程中膜润湿可在一定程度上反映膜污染的行为,且抑制膜润湿的措施也具有减缓膜污染的作用。膜润湿主要是指膜孔中的气液界面从进料侧不断向渗透侧推移的过程,通常采用液体渗透压力(LEP)来评价膜的抗润湿能力,其计算表达式如下:

式中:B为膜孔的弯曲因子;γ1为液体的表面张力,mN/m;θ为润湿液体在膜表面上的接触角,(°);rmax为膜的最大孔半径,μm;Pf为进料侧压力,Pa;Pp为渗透侧压力,Pa;ΔPinterface为进料侧与渗透侧之间的压力差,Pa。
由式(4)可知,LEP与膜表面疏水性成正比。当膜表面或膜孔严重结垢时,污垢层会降低膜的接触角并导致膜润湿,进而影响膜蒸馏过程的分离效果。此外,减小膜孔径也可提高LEP,但会降低膜通量。因此,通常还是以提高膜表面疏水性来提高LEP,从而增强膜的长期抗润湿能力。
基于对膜润湿的认识,可将缓解膜润湿的策略分为制备抗润湿膜和膜蒸馏过程的控制。在制备抗润湿膜方面,研究主要集中在膜改性上。此类方法减缓膜润湿效果显著,但由于其操作过程复杂或需要特殊设备,因而在商业化应用上受到限制。此外,在长期膜蒸馏运行过程中,膜材料会受到进料液中溶质的污染,从而降低或丧失原膜的抗污染、抗润湿性能。因此,在膜蒸馏运行控制中,通常采用完善的预处理或膜清洗技术去除可能造成膜润湿和膜结垢的污染物。
2、预处理技术
在膜蒸馏长期运行中,严重的膜污染会导致渗透通量下降,加速膜润湿,从而抑制膜蒸馏过程。因此,为了延长膜蒸馏过程的有效运行时间,同时提高膜的使用寿命,对膜蒸馏中的进料液进行预处理很有必要。
常见的预处理技术有混凝、膜过滤、吸附、高级氧化及投加阻垢剂,其作用机理、特性及能耗如表1所示。

2.1 混凝
混凝技术通过向溶液中投加混凝剂或絮凝剂以聚集水体中的各种小尺寸污染物,使污染物聚集形成较大絮凝体,从而降低膜表面和膜孔内污垢形成的风险。因此,通常将混凝技术作为深度处理的预处理工艺来保证出水效果。
Cho等对实际页岩气废水进行絮凝预处理后,膜蒸馏过程通量下降14.7%,说明相对于27.7%的原废水通量下降率,通过絮凝预处理能有效减少膜蒸馏过程中膜污染物的沉积。此外,Zhao等提出了一种气浮絮凝/真空膜蒸馏耦合工艺,并探究了不同电性絮凝剂对预处理效果的影响。结果表明,当分别投加12mg/L的聚丙烯酰胺和聚丙烯酸钠时,系统对十二烷基苯磺酸钠的去除率分别为65%和57%。此外,絮凝剂的加入能显著延缓发生膜润湿的时间,即能增加膜蒸馏过程的有效运行时间。
值得注意的是,混凝具有选择性,对于带负电的疏水高分子有机物则易形成絮体;而对于亲水性有机物则絮凝能力有限。此外,混凝过程产生的化学污泥可能会引起二次污染。因此,混凝预处理技术的应用需严格关注混凝剂/絮凝剂的种类和投加量,这对膜蒸馏过程中的运行效能及工艺成本都具有重要意义。
2.2 膜过滤
膜过滤是一种以压力差为驱动力、以膜为分离介质的液相分离过程,主要处理对象为胶体、微生物和悬浮颗粒等污染物。根据孔径大小,可将膜过滤技术分为MF、UF、NF和RO。
Gryta等采用UF/膜蒸馏工艺处理舱底水的研究表明,经UF和膜蒸馏处理后,舱底水的TOC和TDS去除率均可达99.5%以上,并且膜蒸馏过程的渗透侧电导率均可保持在1.5~2.5μS/cm范围内。Karakulski等研究了NF预处理对膜蒸馏处理自来水的影响,结果表明,自来水经NF/膜蒸馏处理后水回收率可达90%以上,且延缓了渗透通量的下降。此外,NF还可用于抑制膜蒸馏体系中难溶组分(如Mg2+、Ca2+等)在膜表面的积累。
由此可见,膜过滤作为预处理技术能够根据粒径大小特定分离溶液中的污染物,提高处理过程的整体稳定性,进而有效缓解膜蒸馏过程中的膜污染。然而,膜过滤技术在实际应用中存在一定的局限性。例如,膜过滤过程中使用的膜同样会不可避免地发生膜污染,从而导致跨膜压差增大或膜通量降低。因此,在选择膜过滤作为预处理时,应综合考虑废水的处理量、水质特性及处理成本等因素。
2.3 吸附
吸附预处理主要通过采用高比表面积材料吸附水体中的重金属、有机物等污染物,从而去除污染物并减缓膜污染。常用的吸附材料有活性炭、树脂、磁性纳米粒子、金属氧化物等。
Zhang等用吸附-膜蒸馏相结合的方法对页岩油气采出水进行预处理,发现预处理后膜蒸馏过程中膜可在3个连续处理周期内重复利用。Xu等以活性焦吸附作为预处理方式,研究其对膜蒸馏处理煤气化废水过程中膜污染的影响,其中,单独膜蒸馏的TOC含量仅下降50%左右,而经过吸附预处理后,TOC的去除率可达85.9%。此外,预处理组还有效延缓了膜通量的下降。上述研究结果表明,吸附预处理对污染物的去除效果显著,对膜表面结垢有良好的抑制作用。
综上,吸附作为一种膜前预处理方式,在膜污染减缓及资源回收方面的发展前景非常可观。但值得注意的是,吸附预处理效果受到吸附剂特性、吸附时间、吸附剂投加量及投加方式的影响。这些因素控制不当会影响预处理效率和膜污染减缓效果,甚至会使吸附剂在膜表面沉积,从而进一步造成膜通量的下降。
2.4 高级氧化(AOPs)
AOPs的核心是向溶液中传输能量(热能、电能或光能等)或投加化学试剂(O3和H2O2等),然后经过一系列反应破坏有机污染物的分子结构,最终将有机污染物氧化为H2O、CO2和无机盐等物质。AOPs按其反应条件和产生自由基的方式不同,主要分为Fenton氧化法、臭氧氧化法及电化学氧化法等。
Wang等研究了Fenton氧化法对膜蒸馏处理煤气化盐水的影响,结果发现,预氧化显著减少了膜表面的盐结晶数量,提高了系统的渗透通量。这表明Fenton氧化可削弱无机离子与腐殖酸之间的相互作用,对缓解膜污染具有积极效应。Chen等研究了电化学氧化法对膜蒸馏处理垃圾渗滤液的影响,发现预氧化2h内进料液中腐殖质类物质和芳香物质的去除效果显著。由此可见,采用电化学氧化可最大限度地减少有机污染物在膜表面的结垢。
AOPs作为膜蒸馏过程的预处理技术显著提高了系统对污染物的去除率,并有效减缓了膜污染。然而,AOPs在实际应用中仍存在局限性,如Fenton氧化法对溶液的pH要求较为严格。因此,实际应用中应根据具体情况选择合适的AOPs来缓解膜蒸馏过程中的膜污染。
2.5 投加阻垢剂
阻垢剂是一种化学添加剂,通过与溶液中的溶解离子相互作用,吸附在晶体或晶核表面,从而抑制结晶生长和析出溶液。目前,在膜蒸馏脱盐研究中,常用的阻垢剂有凝聚态聚磷酸盐、聚电解质和有机磷酸盐。
Gryta等在处理地表水的DCMD过程中研究了投加聚磷酸盐阻垢剂对CaCO3在DCMD过程中膜上结垢的影响,结果表明,当溶液中投加阻垢剂浓度越高,抑制CaCO3在膜表面结垢的效果越明显。然而,当溶液中阻垢剂浓度过高时,膜表面可观察到一层薄薄的无定形沉积物,该污垢层会使膜渗透通量下降。此外,He等认为聚丙烯酸钠-聚丙烯酸基化合物阻垢剂和含氮的有机磷化合物阻垢剂能显著延长石膏及方解石在膜上的成核诱导期。可见,投加阻垢剂是一种有效减缓膜蒸馏过程中膜污染的预处理途径。
阻垢剂在缓解膜结垢方面表现良好,但在膜蒸馏过程中阻垢剂的使用需要注意以下问题:①阻垢剂过量会在膜表面形成污垢;②部分阻垢剂(如六偏磷酸钠、正磷酸盐等)可作为某些微生物的营养源,可能会引起膜表面更多的生物污染;③在温度和进料液变化的膜蒸馏过程中,阻垢剂的使用不易控制。因此,应根据具体需要合理选择和添加阻垢剂。
3、膜清洗技术
为了恢复膜通量并延长膜的使用寿命,膜蒸馏过程中往往需要定期清洗膜表面及膜孔内的污染物。常用的清洗技术主要分为物理清洗和化学清洗两大类,物理清洗指利用物理方法冲洗膜孔及膜表面,主要适用于膜污染初期阶段。然而,当膜孔内结垢或膜污染严重时,采用物理清洗的方式往往达不到清洗要求,此时需对污染膜进行化学清洗。化学清洗主要通过化学试剂与膜表面及膜孔内的污染物发生化学反应,从而将污染物从膜上去除。对常用的清洗方法、清洗机制及主要针对的污染物类型进行了总结,并对其优缺点和成本进行了比较,结果见表2。

3.1 物理清洗
3.1.1 水洗
在用水洗法清洗污染膜时,通常直接将进料液替换为纯水,然后在常温下进行膜清洗。Naidu等用去离子水清洗了DCMD过程使用的污染膜,结果发现经水洗后沉积在膜上的无机晶体显著减少,表明无机污垢在膜上的污染大部分是可逆的。此外,Charfi等研究发现,水流速度越大可获得的通量就越高,但膜表面产生可逆污垢的风险也会增大。一般来说,当过膜流速较小时,膜表面附近的层流层厚度会增加,较厚的层流层能够截留更多的污垢。然而,层流层厚度的增加延长了污垢与膜相互作用的时间,促使膜污染向不可逆方向发展。因此,在进行水洗时应确定最佳错流速度以达到最佳的膜蒸馏处理效果。
水洗操作简单,性价比高,可使用范围广,且清洗膜上污垢层的效果较好。但应注意,水洗只能对膜表面及膜孔沉积的疏松污染物进行冲洗,膜表面的致密污垢层仍需使用其他方法进行清洗。
3.1.2 曝气清洗
曝气清洗污染膜的工作原理是通过注入气体到原料液中形成两相(即液-气)流,然后曝气形成的气泡对水流的分隔作用使原料液波动,从而增大膜表面的剪切速率,达到对膜表面污垢层冲洗的目的。因此,曝气清洗只能处理以无机污染物为主的外部污垢。
Chang等认为曝气时,气泡可在进料侧膜界面处提供较大的剪切力,从而削弱污垢在膜上的附着力,降低污垢层的厚度,进而显著延缓通量的下降。此外,Choi等研究了在膜蒸馏过程中曝气对膜污染的影响,在曝气-膜蒸馏耦合试验进行1h后,系统的渗透通量比未曝气组高40%以上,同时水回收率提高了18%。上述研究结果表明,曝气可减少膜上污垢,对膜污染有明显减缓作用。但曝气也受流速影响,较高的流速可能会因污垢晶体结构的变化而使长时间曝气的操作效率降低。
曝气作为一种膜清洗技术,有如下优点:①可减少温度极化和浓度极化;②可冲洗松散污垢层;③可防止盐晶体成核。尽管曝气清洗具有如上优点,但其曝气效果受气泡直径、溶液pH及污染物特性影响。因此,该技术在膜蒸馏过程中缓解膜污染应用方面仍需更多研究。
3.1.3 振动/超声清洗
超声清洗缓解膜污染主要通过超声空化作用。超声空化主要通过物理介质生成振荡区域,在振荡稀疏阶段物理介质会受到净负压力,从而触发超声空化。当空化区发生内爆或坍塌时,产生的作用力可去除膜表面上附着的污垢层。
Naji等认为超声可有效去除聚四氟乙烯膜和聚偏氟乙烯膜上的硅垢和钙垢,还可使渗透通量增加50%~70%。该过程通量增加的原因是超声可将超声波的能量转化为热量,从而减少膜上的传热损失,降低温度极化影响,提高过膜传质效率。Park等通过直接振动膜组件来控制膜蒸馏过程中的膜污染行为,在加入频率为100~200Hz的振动后,DCMD系统通量下降明显减缓;且随着振动频率的增加,膜污染的减缓作用更加显著。此外,由于膜上结垢机制存在差异,振动在膜蒸馏中比在MF中更能有效控制膜污染。
但需注意,振动/超声清洗过程操作参数(如频率)选取不当会破坏膜材料,使膜表面产生裂缝、孔隙变形甚至降解。因此,在使用振动/超声清洗技术时,建议尽量选择低功率,在保护膜的同时还可降低能量损耗。
3.2 化学清洗
3.2.1 酸/碱清洗
酸洗常用于去除无机污染物,其作用机制是通过与无机污染物发生化学反应,削弱污染物与膜间的相互作用,从而使污染物与膜分离。碱洗主要通过碱性清洗剂与有机物反应生成易溶于水的盐,进而使其从膜表面去除。
Charfi等对DCMD系统处理厌氧消化废液后的污染膜先后用去离子水、0.2%的NaClO和3%的柠檬酸进行了清洗实验。研究发现,NaClO有助于去除膜表面上的有机污垢,而柠檬酸对膜孔中的无机污垢有很好的去除效果。Jia等用HCl(pH=2)和NaOH(pH=12)依次对DCMD处理反渗透废水后的污染膜进行了清洗,研究发现,经酸碱清洗后膜通量可恢复至原通量的62.8%。然而,随着系统的继续运行,通量逐渐降低,渗透侧电导率迅速增加。这个现象可能是由于膜经酸碱液清洗后,膜表面仍会形成污垢层堵塞膜孔,进而导致膜润湿。
虽然酸碱清洗剂对膜上的污垢层清洗效果显著,但高浓度的清洗剂会损伤膜结构,从而使膜润湿性增加。但清洗剂浓度过低又很难达到理想的清洗效果。因此,在满足清洗要求的前提下,应尽量选择浓度较低的清洗剂,避免造成资源浪费及膜的二次污染。
3.2.2 表面活性剂/螯合剂清洗
表面活性剂是一种同时含有亲水基团和疏水基团的有机化合物,可将有机污垢吸附在疏水侧,从而使有机物从膜表面脱离。螯合剂可减弱金属离子(如Ca2+)的桥接作用,破坏污垢层与膜的相互作用,从而使污垢从膜上去除。
Jia等研究发现,针对DCMD处理反渗透浓缩废水后的污染膜,采用SDS清洗可有效恢复70%以上的渗透通量及近100%接触角,说明SDS有效破坏了有机污染物与Ca2+之间的相互作用,从而显著减缓了有机物对膜的污染。Lu等用EDTA清洗了VMD处理冶金废水后的污染膜,清洗后污染膜的通量恢复率可达99%,说明EDTA可有效缓解微溶性硫酸盐引起的膜污染。
在使用表面活性剂和螯合剂清洗时,需要注意表面活性剂可能会改变膜的疏水性,降低膜的表面粗糙度。此外,表面活性剂和螯合剂分子大小若与膜孔径接近,则可能堵塞膜孔,造成通量衰减。
3.2.3 氧化剂清洗
氧化剂是一种强力清洗剂,常用于去除膜上的有机和生物污垢。通常使用次氯酸钠(NaOCl)来清洗膜,此外过氧乙酸(CH3CO-COOH)、过氧化氢(H2O2)等也可作为膜清洗的氧化剂。其主要机理是通过将有机大分子官能团氧化为羧基、酮基和醛基,从而提高污染物的亲水性,促使其从膜上分离和降解。Charfi等采用0.2%的NaClO对DCMD过程中的污染膜进行了清洗,发现经过NaClO清洗后渗透通量恢复了11.95%,同时NaClO不仅有助于去除膜孔内部的污染物,还可以有效去除膜表面上的污染物。然而,Jia等使用2%的NaClO进行膜清洗,虽然实现了高达97.9%的渗透通量回收率,但电导率迅速升高,说明盐分快速流失导致了润湿现象。综上所述,尽管使用氧化剂对污染膜进行清洁非常有效且无毒性产物生成,但仍需注意合理选择适当类型和用量的氧化剂以避免对膜材料及其分离过程造成不良影响。
4、结论与展望
在使用膜蒸馏淡化海水及处理废水中,无机物、有机物或微生物沉积在膜表面或堵塞膜孔会导致膜结垢和膜润湿,进而降低膜蒸馏的工作效率。因此,可以根据实际情况采用各种预处理和清洗方法对膜蒸馏过程中的膜污染进行缓解和抑制。混凝预处理工艺简单,但对亲水性有机物的絮凝能力较差,易形成化学污泥;膜过滤技术预处理效果较好,出水水质稳定,但预处理膜的膜污染也是需重点考虑的问题;吸附预处理应用领域广泛,但其效果受吸附剂种类、浓度等条件的制约;AOPs技术能高效处理污染物,但反应条件较为严格;在进料液中投加阻垢剂的效果受阻垢剂的性质和实验操作条件的影响。除上述预处理技术外,膜清洗技术也可有效缓解膜蒸馏过程中的膜污染。水洗操作简单,但只能清洗膜上疏松污垢层;曝气清洗、振动/超声清洗、酸洗/碱洗等技术清洗效果显著;但是这些技术受操作参数及溶液条件的影响较大。因此,膜前预处理和膜清洗技术在减缓膜蒸馏过程中膜污染方面仍有很大的研究空间。
①膜蒸馏作为一种新型膜分离过程,其研究广度和深度不及压力驱动膜分离过程,因此应发展和开拓更多的预处理和膜清洗技术。
②目前对预处理与膜清洗技术结合的相关研究较少,因此预处理联合膜清洗技术用来缓解膜蒸馏过程中膜污染是较有前景的研究方向。
③混凝、酸碱清洗等技术在缓解膜污染方面效果显著,但化学试剂使用不当可能会引起环境问题。因此,效果显著和对环境友好的膜污染缓解策略将是下个阶段的研究重点。(来源:重庆工商大学国家智能制造服务国际科技合作基地,重庆南向泰斯环保技术研究院,重庆大学环境与生态学院)



