公布日:2023.09.12
申请日:2023.06.27
分类号:C08F220/56(2006.01)I;C08F220/34(2006.01)I;C08F220/40(2006.01)I;C08F2/48(2006.01)I;C02F11/148(2019.01)I;C02F11/147(2019.01)I
摘要
本发明提供一种含有三维网状有机聚合物的污泥处理剂及其应用,该含有三维网状有机聚合物的污泥处理剂具有如下式Ⅰ所示的结构。本发明制得的污泥处理剂对污泥处理时能降低污泥的滤饼含水率、污泥指数以及污泥比阻,沉降性能好且污泥含水率降低明显。
权利要求书
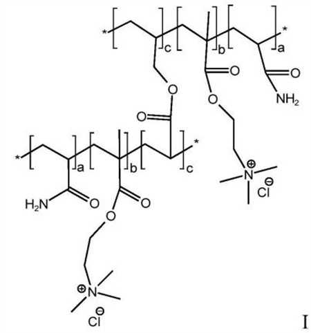
1.一种含有三维网状有机聚合物的污泥处理剂,其特征在于:所述三维网状有机聚合物具有如下式Ⅰ所示的结构:

其中,a、b、c均表示整数,*表示化学键的连接点位。
2.根据权利要求1所述的一种含有三维网状有机聚合物的污泥处理剂,其特征在于:所述a:b:c=10000:(2000-3000):(1-2)。
3.根据权利要求1所述的一种含有三维网状有机聚合物的污泥处理剂,其特征在于:所述三维网状有机聚合物的制备,包括以下步骤:(1)将丙烯酰胺、2-甲基丙烯酰氧基乙基三甲基氯化铵投入石英反应瓶中,加入超纯水,充分搅拌,配制成混合试剂;(2)将步骤(1)的石英反应瓶抽真空,充入氮气平衡压力,并调节反应体系pH值,继续投入引发剂溶液,其中,引发剂占丙烯酰胺和2-甲基丙烯酰氧基乙基三甲基氯化铵总质量的0.1-0.3%;(3)将步骤(2)的石英反应瓶进行紫外光照射,在不断搅拌下进行光催化聚合反应,并通过注射器将丙烯酸烯丙酯投入到石英反应瓶中继续进行反应,投入速度为(10-30)s/滴;(4)将步骤(3)反应后的反应液加入大量乙醇、过滤收集到的白色固体,烘干粉碎,制得含有三维网状有机聚合物的污泥处理剂。
4.根据权利要求3所述的一种含有三维网状有机聚合物的污泥处理剂,其特征在于:步骤(1)中,丙烯酰胺和2-甲基丙烯酰氧基乙基三甲基氯化铵的质量之和占混合试剂总质量的5-30%。
5.根据权利要求1所述的一种含有三维网状有机聚合物的污泥处理剂,其特征在于:所述三维网状有机聚合物为污泥处理剂总质量的0.05-99.9%。
6.根据权利要求1所述的一种含有三维网状有机聚合物的污泥处理剂,其特征在于:还包含净水剂,所述净水剂包括沸石粉、膨润土和滑石粉中的至少一种。
7.根据权利要求6所述的一种含有三维网状有机聚合物的污泥处理剂,其特征在于:所述净水剂的粒度为150-400目。8.根据权利要求1所述的一种含有三维网状有机聚合物的污泥处理剂,其特征在于:还包含阳离子表面活性剂,所述阳离子表面活性剂为十六烷基三甲基氯化铵、十四烷基三甲基溴化铵中的至少一种。
9.根据权利要求1所述的一种含有三维网状有机聚合物的污泥处理剂,其特征在于:还包含助剂,所述助剂为羧甲基纤维素钠、柠檬酸中的至少一种。
10.根据权利要求1-9任一项所述的一种含有三维网状有机聚合物的污泥处理剂在污泥处理中的应用。
发明内容
本发明的目的在于提供一种含有三维网状有机聚合物的污泥处理剂及其应用,以解决上述背景技术中提出的问题。
为实现上述目的,本发明提供如下技术方案:一方面,本发明提供一种含有三维网状有机聚合物的污泥处理剂,所述三维网状有机聚合物具有如下式Ⅰ所示的结构:

其中,a、b、c均表示整数,*表示化学键的连接点位。
作为进一步的改进,所述a:b:c=10000:(2000-3000):(1-2)(a:b:c例如可以为10000:2000:1、10000:2200:1、10000:2500:1、10000:2600:1、10000:2800:1、10000:3000:1、10000:2000:2、10000:2200:2、10000:2500:2、10000:2600:2、10000:2800:2、10000:3000:2中的一种),优选地,a:b:c=10000:(2500-3000):(1-2)。
作为进一步的改进,为了具有更好的沉降性能、且污泥含水率降低明显,本发明含有三维网状有机聚合物的污泥处理剂优选含有至少两种式Ⅰ化合物组成的组。
作为进一步的改进,所述三维网状有机聚合物的制备,包括以下步骤:
(1)将丙烯酰胺、2-甲基丙烯酰氧基乙基三甲基氯化铵投入石英反应瓶中,加入超纯水,充分搅拌,配制成混合试剂;
(2)将步骤(1)的石英反应瓶抽真空,充入氮气平衡压力,并调节反应体系pH值,继续投入引发剂溶液,其中,引发剂占丙烯酰胺和2-甲基丙烯酰氧基乙基三甲基氯化铵总质量的0.1-0.3%(例如,可以为0.1%、0.15%、0.2%、0.25%、0.3%中的一种),引发剂溶液为引发剂和水混合后的溶液;
(3)将步骤(2)的石英反应瓶进行紫外光照射,在不断搅拌下进行光催化聚合反应,并通过注射器将丙烯酸烯丙酯投入到石英反应瓶中继续进行反应,投入速度为(10-30)s/滴,(例如,可以为10s/滴、20s/滴、30s/滴中的一种);
(4)将步骤(3)反应后的反应液加入大量乙醇、过滤收集到的白色固体,烘干粉碎,制得含有三维网状有机聚合物的污泥处理剂。
作为进一步的改进,步骤(1)中,丙烯酰胺和2-甲基丙烯酰氧基乙基三甲基氯化铵的质量之和占混合试剂总质量的5-30%(例如,可以为5%、10%、15%、20%、25%、30%中的一种),优选地,为了提高制备含有三维网状有机聚合物的污泥处理剂的产率,步骤(1)中,丙烯酰胺和2-甲基丙烯酰氧基乙基三甲基氯化铵的质量之和占混合试剂总质量的10-15%。
作为进一步的改进,为了促进反应的进行,步骤(2)中的引发剂溶液所使用的的引发剂例如可以为偶氮脒类引发剂、偶氮腈类引发剂等中的至少一种,其中偶氮脒类引发剂包括V40引发剂、V50引发剂中的至少一种,偶氮腈类引发剂为VA-044引发剂、VA-086引发剂。
作为进一步的改进,为了促进反应的进行,步骤(2)引发剂溶液中的引发剂占引发剂溶液总质量的1-5%。
作为进一步的改进,所述三维网状有机聚合物为污泥处理剂总质量的0.05-99.9%(例如,可以为0.05%、1%、5%、10%、15%、20%、25%、30%、35%、40%、50%、60%、70%、80%、90%、95%、98%中的一种)。
作为进一步的改进,还包含净水剂,所述净水剂包括沸石粉、膨润土和滑石粉中的至少一种。
作为进一步的改进,所述净水剂的粒度为150-400目。
作为进一步的改进,还包含阳离子表面活性剂,所述阳离子表面活性剂为十六烷基三甲基氯化铵、十四烷基三甲基溴化铵中的至少一种。
作为进一步的改进,还包含助剂,所述助剂为羧甲基纤维素钠、柠檬酸中的至少一种。
另一方面,本发明还提供一种含有三维网状有机聚合物的污泥处理剂在污泥处理中的应用。
与现有技术相比,本发明的有益效果是:本发明制得的污泥处理剂对污泥处理时能降低污泥的滤饼含水率、污泥指数以及污泥比阻,沉降性能好且污泥含水率降低明显;
另外,三维网状有机聚合物相对现有的聚丙烯酰胺,不仅保留了聚丙烯酰胺的结构规整度以及在酸性或碱性介质中均呈现阳电性的特性,具有能与污泥发生缠绕及起到电中和作用,让污泥之间的作用力消失,具有较好的沉降脱水效果外,还由于丙烯酸烯丙酯、2-甲基丙烯酰氧基乙基三甲基氯化铵的加入,使制得的三维网状有机聚合物为三维网状结构,而不再是线型结构,污泥处理时,能够更好的将污泥分割开,从而具有更好的沉降脱水效果。
(发明人:林君峰;罗诚;林国清)






