火电厂排放的氮氧化物(NOX)是大气污染物之一。蜂窝式催化剂作为选择性催化还原(SCR)烟气脱硝技术的核心,大部分火电厂多采用该项技术进行烟气脱硝处理以降低氮氧化物的排放量。砷中毒是造成催化剂失活的主要原因之一,由于燃煤锅炉中含微量的砷,在高温烟气中砷以气态As2O3形式存在,烟气中挥发性的气态砷分子相对于催化剂空隙而言较小,容易进入催化剂的孔隙造成催化剂砷中毒导致失活,从而降低了催化剂的使用寿命。因此,对催化剂进行脱砷处理使其再生利用具有重要意义,采用超声波场下碱浸脱砷的方法能很好的脱除催化剂中的砷化物,然而部分砷化物会进入到溶液当中,对环境有一定的危害,无法直接排放,因此要对含砷的废液进行进一步处理,达标后排放,环境友好。目前,含砷废水的处理方法有化学沉淀法、吸附法、离子交换法和液相萃取法以及新兴的具有发展前途的微生物法等。对于砷含量较高的酸性废水,采用化学沉淀法中的硫化法沉淀砷,可去除废水中约99.9%以上的砷,形成以As2S3为主要成分且含量较高的含砷废渣,有利于综合利用。对于酸度较低的废水,若用硫化法沉淀砷后废水中的砷含量不能达到排放标准,可进一步采用铁盐沉淀法,并经老化处理,生成的砷酸铁盐废渣可以长期堆存,对环境污染影响较小。
废液脱砷方法中,化学沉淀法是多种处理方式的综合处理,但由于其需加入大量的化学药剂,产生的大量二次污染废渣较难处理。物化法只能低批量处理浓度较低且成分单一具有有较高回收价值的废水,工业化程度较低。微生物法具有经济高效且无害化的优点,被认为是最具有发展前途的方法,但在实际操作中适合的菌类较难寻找且在处理工程中影响因素较多。随着越来越多的催化剂生产企业关注催化剂再生问题,再生处理过程中产生的含砷废水若不加以处理,无疑会对环境又造成了二次污染。同时,考虑将脱砷处理后的废水循环利用于整个催化剂再生体系,实现循环再利用以降低生产成本。所以,本文对含砷废水中的砷化物脱除进行研究,旨在探索出一种切实可行的工艺方法,达到国家处理废水的排放标准0.5mg/L的要求。
1、实验部分
1.1 实验原料及仪器
一次碱浸:取催化剂样品150mm×150mm×170mm约1162g,L液=35L,NaOH浓度4g/L(Na+,2.3g/L;OH-,1.7g/L),t=1h,T=60~70℃,一次碱浸后液成分分析如表1所示,用于含砷废液脱砷条件实验研究。

由表可知,一次碱浸含砷量为0.65g/L。
实验使用的主要仪器设备有:超声波清洗机、DZKW-4型电子恒温水浴锅和真空干燥箱、空压机、ICP分析仪(美国进口)、电热鼓风干燥箱、酸度计、原子荧光。
1.2 实验原理
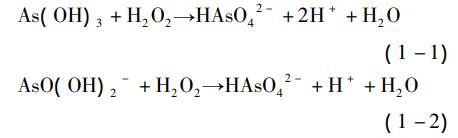
砷有三价砷和五价砷两种正化学价态,在富氧环境和中性条件下,以As(V)为主,并且以H2AsO4-和HAsO42-阴离子态存在,而还原性环境中主要是As(Ⅲ),并以H3AsO3形态存在,在砷的无害处理过程中,首先应将As(Ⅲ)尽可能氧化成As(V),其主要原因为:
①As(Ⅲ)的毒性较As(V)高出60倍。
②As(Ⅲ)的迁移性强于As(V)。
③在液相体系中,As(Ⅲ)较As(V)更难脱除。
④亚砷酸盐溶解度高于相应的砷酸盐,因而其环境稳定性也较砷酸盐差。
鉴于以上原因,脱砷之前进行As(Ⅲ)的氧化是必要的。结合催化剂本身特性要求,处理后的溶液能再次循环用于整个体系,不额外带入杂质,因此选用H2O2作为氧化剂。
其反应方程式为:

本实验砷沉淀剂选用廉价的CaO。结合石灰沉砷热力学分析可知,碱性越高,已沉淀的砷钙化合物会反溶,故在加入CaO前需适当调节反应pH值引入H2O2后需加入缓冲剂调节反应pH值,再加入CaO进行脱砷。
1.3 实验方法
实验对脱硝催化剂进行碱浸处理后的废液进行脱砷处理,实验的工艺流程为:
首先用双氧水(H2O2)将废液中砷氧化,再加入CaO对废液中的砷进行脱除,研究CaO对废液的脱砷效果。然后对上述工艺进行改进,在一定条件下加硫酸铁调节氧化后溶液pH值后,再加入一定量的CaO并在适宜的条件下对溶液进行处理,得到最终脱砷后的溶液,实验确定的最终简易流程图如图1所示。

2、结果与讨论
2.1 氧化剂-双氧水加入量对脱砷效果的影响
为达到较好的脱砷效果,需将一次碱浸后液中的三价砷氧化成五价砷,再进行脱砷处理。
实验条件:取一次碱浸后液300mL,T=常温(约30℃),分别加入不同量的双氧水H2O2(H2O2:As化学计量比分别为1.5、3、5),恒温氧化反应15min后升温至85℃,加入CaO,Ca/(As+V+W)化学计量比为10∶1,反应30min后,过滤,分析滤液成分计算沉砷率(氧化反应原理:1molH2O2~1molAs3+)。实验结果如图2所示。

由图2可知,随着双氧水加入量的增大,沉砷率也随之增大,但当双氧水加入量大于H2O2∶As化学计量比5时,沉砷率没有显著增加,稳定在71%左右,溶液中As含量稳定在0.17g/L左右,综合考虑试剂成本,确定最佳双氧水加入量按H2O2∶As化学计量比为5。
2.2 双氧水氧化温度对脱砷效果的影响
实验条件:取一次碱浸后液300mL,在温度为常温(约30℃)、40℃、50℃、60℃、70℃条件下,加入H2O2的量为H2O2∶As化学计量比=5,分别氧化反应15min后升温至85℃,加入CaO。Ca/(As+V+W)化学计量比为10∶1,反应30min后,过滤,分析滤液成分计算沉砷率。测试结果如图3所示。

由图3可知,随着氧化温度的不断升高,沉砷率不断减小,这是由于随着温度的升高,双氧水分解的速度不断加快,还未来得及参与氧化反应就分解,氧化性变弱,故确定最佳氧化温度为常温即30℃。
2.3 氧化钙加入量对脱砷效果的影响
实验条件:取一次碱浸后液300mL,T=85℃,氧化钙加入量按Ca/(As+V+W)化学计量比分别为1∶1,3∶1,5∶1,7∶1,10∶1,13∶1。t=30min,过滤,分析滤液成分计算沉砷率。结果如图4所示。

由图4可知,随着氧化钙加入量的不断增加,沉砷率不断提高,当Ca/(As+V+W)化学计量比超过10∶1时,沉砷率缓慢增加,脱砷效果不显著,故实验确定氧化钙的最适宜添加量为Ca/(As+V+W)化学计量比为10∶1。
2.4 沉淀温度对脱砷效果的影响
实验条件:取一次碱浸后液300mL,在不同反应温度下,加入CaO。加入量按Ca/(As+V+W)化学计量比为10∶1,t=30min,过滤,分析滤液成分计算沉砷率。结果如图5所示。

实验结果表明,升高温度一方面可使沉砷率提高,在85℃时脱砷率达到54.1%,100℃脱砷率为56.2%。可知当反应温度超过85℃时,脱砷率增幅不明显,因此实验确定最佳反应温度为85℃。因为石灰沉砷过程中沉砷率决定于砷的沉淀速度即动力学问题,而非热力学问题。砷的沉淀速度由溶液中游离的Ca2+浓度决定,特别是在碱性体系下其Ca(OH)2浓度更低,沉淀速度更加缓慢。而随着温度的升高,Ca(OH)2溶解速度逐步升高,使得砷的沉淀速度加快,因此,随着温度升高沉砷率也逐步提高。在温度较高条件下,非晶物相难以稳定存在,因而促使砷钙渣的晶格发育更完善,综上所述,只有在沉淀温度达到高温时,才能形成结晶度高、稳定性好的砷钙渣,否则易使得砷被释放出来污染环境。但不论温度如何变化,沉砷率均未达到预想的效果,这是由于一次碱浸后液中仍含有三价砷,相应的砷沉淀化合物为亚砷酸钙,其溶解度较大,因而,难以达到较高的脱除率。
2.5 沉淀时间对脱砷效果的影响
实验条件:取一次碱浸后液300mL,Ca/(As+V+W)化学计量比为10∶1,反应不同时间后,过滤,分析滤液成分计算沉砷率。实验结果如图6所示。

由图6可知,随着反应时间的延长,沉砷率由54.1%提高到62.7%,升高温度对脱砷效果变化不大,且溶液含砷量随温度变化未定在0.27g/L左右。综合能耗和生产效率等因素,确定最佳反应时间为30min。
2.6 硫酸铁对脱砷效果的影响
为达到较高脱砷率,尝试在加入氧化钙脱砷前用硫酸铁调节体系pH值。
确定pH对脱砷的影响:取一次碱浸后液300mL,在T=常温(约30℃)条件下,加入H2O2的量为H2O2∶As化学计量比=5,再加入浓度约为4.4g/L硫酸铁调节溶液pH至9、10、11、12,终止pH控制在13以内,然后反应15min后升温至85℃,加入CaO,Ca/(As+V+W)化学计量比为10∶1,反应30min后,过滤,分析滤液成分计算沉砷率,结果如图7所示。

由图7可知,通过用硫酸铁调节溶液pH值后,再加入CaO,沉砷效果有了明显提高,当pH=11时,脱砷率高达99.88%,溶液中砷含量降低至0.52mg/L。通过石灰沉砷热力学分析,对照Ca3(AsO4)2-H2O系浓度对数图可知,当11.2
确定最佳调节pH之后,在相同条件下加入CaO,Ca/(As+V+W)化学计量比分别为3∶1、5∶1、7∶1、10∶1,同样反应30min后,过滤,分析滤液成分计算沉砷率,结果如图8所示。

由图8可知,不同氧化钙用量对脱砷效果影响不大,脱砷率均保持在99.8%适宜的pH值使砷获得了最佳的沉淀区域,Ca3(AsO4)2能稳定生成,不会出现反溶现象,考虑到成本及CaO用量,确定较为适宜的Ca/(As+V+W)化学计量比为3∶1,此时废液中的砷含量降至0.45mg/L,符合国家关于含砷废水的排放标准。
3、结语
本文对碱浸后的含砷废液进行脱砷研究,得到以下结论。
1)采用双氧水将含砷废水氧化,发现CaO处理后能降低废水中的砷含量,但未能达到国家排放标准,而在加入CaO之前预先引进硫酸铁调节氧化反应废液的pH后,脱砷率大幅增加,砷化物脱除率可达99.8%以上,最佳脱除量能达到0.45mg/L,达到污水综合排放标准0.5mg/L的要求。
2)确定最佳工艺流程后其最佳工艺参数为:氧化剂H2O2用量H2O2∶As=5(化学计量比)、氧化温度30℃、氧化时间15min。采用铁盐(浓度为4.4g/L)控制溶液pH=11。沉淀剂CaO用量Ca/(As+V+W)=5∶1(化学计量比)、沉淀温度T=85℃、沉淀时间30min。
3)该脱砷工艺为回路循环,除砷试剂价格低廉,反应工艺过程易于操作,具有很好的应用价值。(来源:昆明冶金研究院,共伴生有色金属资源加压湿法冶金技术国家重点实验室,云南省选冶新技术重点实验室)


