重金属废水来源于有色金属的生产、电镀、采矿、化工等部门,主要来自矿山排水、废石场淋浸水、矿场尾矿排水、有色金属冶炼厂排水、有色金属加工厂酸洗水、电镀厂酸洗水等。随着我国工业的迅速发展,对污水处理排放监管不够严格,导致大量重金属废水排入水体,对生态环境及生物圈的平衡造成了严重的危害。重金属废水进入河道之后,部分重金属离子及其化合物会被水体中的悬浮颗粒物吸附产生沉淀,会导致水体的长期污染。铜的冶炼、加工和电镀过程会产生大量的含铜废水,如不经处理直接排入水体,必然会对水环境或人体健康造成危害。目前常见的含铜废水处理方式有化学沉淀法、电解法、离子交换法、吸附法等。
凹凸棒土是一种具链层状结构的含水富镁硅酸盐黏土矿物,具有独特的分散、耐高温、抗盐碱等胶体性质,且其脱色能力、可塑性、黏合力都非常优异。美国和日本对凹凸棒土的研究比较深入,开发利用程度较高,已在催化剂、吸附材料、涂料、黏合剂等领域形成市场。目前,我国已探明的矿床中以盱眙地区矿的品味最高且储量最大,盱眙地区探明的优质凹凸棒土储量在6700万t以上,可用的凹凸棒黏土量达5亿t。由于我国的凹凸棒土发现较晚,对于已知的矿床成分研究不够,对其的开发利用程度较低,以原矿利用为主,产品的附加值及技术性开发不够。Fan等研究了凹凸棒土和柠檬酸三铵改性凹凸棒土对Ni2+的吸附表明,柠檬酸三铵改性凹凸棒土较凹凸棒土表现出更优的吸附效果,在低pH下为离子交换或外配位作用,而在高pH下为外配位作用和表面沉淀。符浩等研究含氮硅烷偶联剂γ-氨丙基三乙氧基硅烷改性凹凸棒土发现,酸活化可增加凹凸棒土吸附材料的孔道直径,使吸附速度加快,而硅烷偶联剂对凹凸棒土的改性,提高了其对汞离子的吸附效果,最大吸附量从改性前的3.8mg/g提高到92.6mg/g。Chen等讨论了经活性处理的凹凸棒土的吸附性能,通过加酸和加热2种途径对凹凸棒土进行改性,结果表明,加酸处理中随着盐酸浓度增加,凹凸棒土的比表面积越大,吸附性能越好,加热处理中随着温度上升,比表面积和吸附性能呈先上升后下降的过程。用酸改性的凹凸棒土吸附铜溶液发现,酸处理使凹凸棒土表面活性硅羟基增多,其可能是凹凸棒土吸附性能增加的原因。笔者利用凹凸棒土在吸附、脱色、热稳定等方面具有突出性能的特点,探索改性处理后的凹凸棒土对含铜废水的处理效果及吸附反应机理,以期为凹凸棒土处理实际废水提供理论依据。
1、材料和方法
1.1 仪器与材料
试剂:盐酸、硝酸、硫酸、氯化铜、氯化铵、氨水、乙二胺四乙酸二钠、柠檬酸铵、三水合二乙基二硫代氨基甲酸钠、四氯化碳,均为分析纯。
仪器:HA-CA水浴恒温振荡器,紫外可见分光光度计等。
1.2 预处理
1.2.1 凹凸棒土的预处理
将凹凸棒土样(取自江苏盱眙)放入容量瓶中用蒸馏水浸泡1~2h,经滤纸过滤后取出土样洗涤3~5次,去除土样中的砂砾及杂质,将洗净的土样置于烘箱内,在100℃条件下,烘干2h取出,用研钵将土样研磨成粉末状,经100目过筛后,密封保存待用。
1.2.2 凹凸棒土的改性处理
分别配制1、3和5mol/L的盐酸、硫酸和硝酸溶液,各取200mL,分别加入经预处理的凹凸棒土24g,置于恒温搅拌器上搅拌1h,搅拌的温度为20℃。滤出凹凸棒土,并用去离子水洗涤3~5次,至洗涤水呈中性,置于烘箱内在200℃下烘干3h,烘干后的酸改性凹凸棒土用密封袋保存待用。
1.3 试验
以实验室配置的含铜废水为研究对象,采用静态吸附试验研究改性凹凸棒土对废水中铜离子的吸附性能,并考察反应温度、凹凸棒土投加量、反应时间等因素对吸附效果的影响,探讨凹凸棒土对含铜废水的吸附动力学。
1.3.1 废水中铜离子浓度的测定
铜离子浓度的测定采用HJ485—2009《水质铜的测定二乙基二硫代氨基甲酸钠分光光度法》。标准曲线的制定步骤:
1)取50mL蒸馏水置于分液漏斗中,加入10mL的EDTA-柠檬酸铵溶液,50mL的氯化铵-氢氧化铵缓冲溶液,摇匀,此时溶液的pH约为9,加入5mL的二乙基二硫代氨基甲酸钠溶液,摇匀,静置5min后准确加入10mL的四氯化碳溶液,并振荡不少于2min,静置使其分层,待显色分离后,在1h内取显色液置于10mm的比色皿中,在440nm处测定吸光度,做为对照。
2)在分液漏斗中分别加入0、2.00、3.00、5.00、6.00mL的铜标准溶液,对应的铜浓度为0、10.00、15.00、25.00、30.00μg/L,分别加入蒸馏水定容至50mL,配制成校准溶液,重复步骤1,以四氯化碳为参比分别测定各显色液的吸光度。取2次试验的平均值,并根据测定的吸光度绘制标准曲线,如图1所示。

1.3.2 试验方案
(1)不同酸改性条件对吸附效果的影响。分别取不同酸改性条件下的凹凸棒土0.6g加入100mL浓度为100mg/L的模拟含铜废水中,在20℃水浴条件下恒温振荡30min,取5mL的水样,测定溶液中铜离子浓度。
(2)反应时间对吸附效果的影响。取100mL浓度为100mg/L的模拟含铜废水于锥形瓶中,加入改性凹凸棒土0.6g,在20℃水浴条件下恒温振荡,每隔10min取5mL水样,测定溶液中的铜离子浓度。另取100mL浓度为100mg/L的模拟含铜废水,在相同试验条件下,每隔5min取5mL水样,测定铜离子浓度。
(3)凹凸棒土投加量对吸附效果的影响。取100mL浓度为100mg/L的模拟含铜废水于锥形瓶中,分别加入改性凹凸棒土0.2、0.4、0.6、0.8g,在20℃水浴条件下恒温振荡,每隔5min取5mL水样,测定溶液中铜离子浓度。
(4)反应温度对吸附效果的影响。取100mL浓度为100mg/L的模拟含铜废水于锥形瓶中,加入改性凹凸棒土0.6g,分别在20、30、40℃水浴的条件下恒温振荡,每隔5min取5mL水样,测定溶液中铜离子浓度。
2、结果与讨论
2.1 不同酸改性条件对凹凸棒土吸附效果的影响
不同酸改性条件下凹凸棒土对铜离子的吸附效果如图2所示。由图2可知,凹凸棒土的吸附性能受酸的种类及浓度的影响较大,在1mol/L的盐酸、硫酸、硝酸作用下,铜离子的最大吸附去除率分别为87.57%、77.37%、75.67%。随着酸浓度的增加,凹凸棒土的吸附性能逐渐减弱,当酸浓度过大时,凹凸棒土的晶体结构被完全破坏,引起四面体结构的坍塌,直接影响其吸附性能。

2.2 不同反应条件对凹凸棒土吸附效果的影响
2.2.1 反应时间
酸改性凹凸棒土对铜离子的吸附随时间的变化如图3所示。

由图3可以看出,凹凸棒土对铜离子的吸附过程是一个快速过程,反应20~30min即达到了吸附平衡,在反应时间为20min时,吸附效果达到最佳。为了更好地反映铜离子的吸附过程及吸附行为,选择25min作为反应时间。在吸附剂对重金属离子的吸附过程中,化学吸附或内配位作用比离子交换或物理吸附表现出更快的吸附速率。此快速吸附速率表明凹凸棒土对铜离子的吸附主要表现为强化学吸附或内配位作用。
2.2.2 吸附剂投加量
酸改性凹凸棒土对铜离子的吸附随吸附剂投加量的变化如图4所示。由图4可知,当酸改性凹凸棒土的投加量较少时,增加投加量可以显著提高铜离子的去除效率,但当投加量增加至0.6g时,随着投加量的增加,铜离子浓度不再降低。当吸附剂的投加量达到一定值时,继续增加投加量对铜离子的吸附效率无明显提高,而且随着凹凸棒土投加量的增加,单位吸附量显著下降。综合考虑去除率、单位吸附量、成本等因素,选择酸改性凹凸棒土的最佳投加量为6g/L(以铜离子浓度计)。

2.2.3反应温度
酸改性凹凸棒土对铜离子的吸附随反应温度的变化如图5所示。

由图5可知,随着反应温度的升高,酸改性凹凸棒土对铜离子的吸附效率显著下降,表明凹凸棒土对铜离子的吸附是一个放热过程。随着反应温度的升高,分子间的热运动会加快,这意味着分子与凹凸棒土的接触面积随之增大,促使凹凸棒土快速吸附铜离子,表现为在吸附过程的前10min,温度与吸附效率呈正相关。随着吸附反应的进行,以范德华力为主导的物理吸附占据主导地位,随着反应温度的升高,吸附量逐渐降低。因此,选择20℃的水浴条件为最佳反应温度。
2.3 酸改性凹凸棒土处理含铜废水的机理
2.3.1 吸附等温线
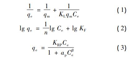
吸附等温线是在一定温度下,吸附量随平衡浓度变化的曲线。由吸附等温线的形状和变化规律可以了解吸附质与吸附剂的作用力强弱,界面上吸附分子的状态等。因此,研究吸附等温线有助于研究铜离子在吸附剂上的吸附机理。吸附质吸附到吸附剂表面的过程是一个动态平衡的过程,吸附等温线可以很好地描述这一过程。吸附质在吸附剂上的吸附等温线通常用Langmuir〔式(1)〕、Freundlich〔式(2)〕和Redlich-Peterson〔式(3)〕等温模型来描述。

式中:Ce为吸附质的平衡浓度,mg/L,qe为平衡吸附容量,mg/g,qm为最大平衡吸附容量,mg/g,KL为Langmuir吸附常数,KF为Freundlich吸附常数,KRP,ap为Redlich-Peterson吸附常数,1/n为不均质参数,β为0~1的介质参数。
Langmuir、Freundlich和Redlich-Peterson方程拟合参数见表1。由表1可以看出,Redlich-Peterson吸附模型更符合铜离子在酸改性凹凸棒土的等温吸附线,吸附相关系数(R2)较高,为0.929。虽然Redlich-Peterson等温吸附方程能较好地拟合试验数据,但其只是描述液-固吸附规律的经验公式,由于液-固吸附的复杂性,Redlich-Peterson等温吸附方程只能作为数据处理的一种方法,而不能完全解释复杂体系中吸附反应的机理。

图6为不同吸附模型下铜离子的吸附容量随铜离子平衡浓度的变化。从图6可以看出,随着铜离子平衡浓度的升高,铜离子的吸附量逐渐增加。在吸附的初期阶段,吸附量的增加较快,随着平衡浓度的增加,铜离子在酸改性凹凸棒土上的吸附量增加速率逐渐变慢。这是因为水中铜离子浓度增高时,浓度梯度增大,扩散传质通量增加,扩散过程速度快,对吸附过程产生促进作用,凹凸棒土的吸附容量得到了充分利用。

2.3.2 吸附动力学
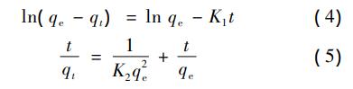
吸附动力学是研究吸附过程和时间关系的理论,也是探讨吸附速度和吸附动态平衡的理论。吸附速度和吸附动态平衡涉及到物质的传质现象和扩散速度,研究吸附动力学可以了解吸附反应过程的速率、影响因素,进而解释可能的反应机理。假一级动力学模型〔式(4)〕和假二级动力学模型〔式(5)〕通常用来描述吸附质在吸附剂上的吸附平衡过程。

式中:qt为t时刻凹凸棒土的吸附容量,mg/g,K1、K2为假一级、假二级吸附速率常数,t为反应时间,min。
图7描述了一定温度下吸附时间对铜离子在酸改性凹凸棒土上吸附容量的影响。

从图7可以看出,铜离子在吸附剂上的吸附容量随吸附时间的增加而迅速增加,当吸附时间达到25min时,吸附基本达到平衡。在吸附反应的前期,吸附位点较多,铜离子的初始浓度较高,有利于吸附,随着吸附时间的增加,有效的吸附位点减少,逐渐达到动态吸附平衡。
铜离子在酸改性凹凸棒土吸附过程中的动力学数据经假一级动力学模型和假二级动力学模型拟合后的数据见表2。从表2可以看出,假一级动力学模型和假二级动力学模型都能较好的描述动力学过程。假一级动力学方程的R2较高,为0.984,且拟合计算的最大吸附量与试验结果基本一致,表明假一级动力学方程能更好地描述铜离子在酸改性凹凸棒土中的吸附过程,原因是由于吸附交换过程是一个平衡过程,同时吸附交换过程与吸附质向吸附剂表面的扩散过程有关。

3、结论
(1)用不同浓度的盐酸、硫酸、硝酸对凹凸棒土进行酸化改性处理,并用含铜废水对改性前后凹凸棒土的吸附性能进行考察。结果表明:1mol/L盐酸处理后的凹凸棒土能显著提高吸附性能。
(2)采用酸改性凹凸棒土吸附废水中的铜离子,随着吸附反应的进行,以范德华力为主导的物理吸附占据主导地位,温度越高、铜离子初始浓度越大,更有利于凹凸棒土的吸附效果。反应最佳条件:反应温度为20℃,酸改性凹凸棒土投加量为6g/L(以铜离子浓度计),反应时间为25min,铜离子初始浓度为100mg/L,此时对铜离子的去除率为87.57%。
(3)酸改性凹凸棒土对铜离子的吸附符合Redlich-Peterson等温吸附方程与假一级动力学方程,拟合相关系数分别为0.929和0.984,理论最大吸附量为15.142mg/g。试验结果表明,酸改性凹凸棒土对含铜废水具有较好的吸附效果。(来源:中国电建集团华东勘测设计研究院有限公司,环境保护部南京环境科学研究所)


