沼渣是有机物发酵后剩余的固形物质,富含腐殖质、腐殖酸、微量营养元素等多种营养物质,可以作为良好的土壤改良剂。随着农村沼气池的普及,沼渣产量越来越大,预计2030年我国的沼气年产量将超过3.0×1028m3,沼渣年产量将达到3.6×1023t,因此沼渣处置成了亟待解决的环境问题。沼渣还田是目前沼渣资源化的主要方式,然而未充分腐熟的沼渣存在致病菌,而且会在土壤中继续发酵消耗氧气而产生较多热量和有毒有害气体,因此未充分腐熟的沼渣还田会对农作物生长产生抑制作用,如抑制种子发芽、导致幼苗黄化、致使农作物生长速率低下甚至死亡等。沼渣堆肥处理可以稳定有机物并抑制致病菌。目前,沼渣堆肥效率低是普遍性问题。本研究通过分析沼渣堆肥的微生境因子与沼渣堆肥的水溶性有机物(DOM)稳定化指标的相互关系构建沼渣堆肥稳定化调控技术,用以加速腐殖质向腐殖酸转化,实现沼渣堆肥的快速稳定化。
1、材料与方法
1.1 堆肥原料
沼渣取自北京顺义某农户家庭,猪粪和鸡粪取自河北乐亭某实验基地,堆肥前将这3种堆肥原料晾干,其中猪粪碳含量较高,鸡粪氮含量较高,而沼渣纤维含量较高。玉米秸秆也取自河北乐亭某实验基地,用于调整堆肥原料的碳氮比(C/N),使用前粉碎至粒径为0.1~0.5cm。
1.2 堆肥设备
堆肥设备主体部分为盛放堆料的圆柱形反应箱,由不锈钢罐体构成,高度和底面直径分别为0.40、0.33m,容积为34L,位于恒温箱中,通过温差控制装置监测和控制温度,上方有气体测定装置,可在线监测O2、H2S、CO2等气体,同时配备有气泵、气体流量计、温差控制装置、气体过滤装置等,试验装置示意图如图1所示。

1.3 试验设计
表1设计了堆肥原料沼渣、猪粪、鸡粪的三因素两水平正交试验3013,通过玉米秸秆调整堆肥原料C/N后得到T1~T4不同堆肥处理物料的理化性质,如表2所示,堆肥过程中实时监测温度和含水率变化,分别在第0天(升温期)、第6天(高温期)、第14天(降温期)和第30天(腐熟期)各采两份约100g的样品,一份4℃保存用于监测理化指标,另一份-20℃保存用于监测生物学指标。

1.4 指标监测方法
含水率采用差重法3013测定;有机质采用烧失量法测定;总氮采用碱性过硫酸钾消解/紫外分光光度法测定;氨氮(AN)用纳氏试剂光度法测定;pH用梅特勒FE28-StandardpH计测定;总碳用耶拿multiN/C2100总有机碳测定仪测定;纤维素、半纤维素和木质素的测定参照《饲料中粗纤维的含量测定》(GB/T6434—2022);C/N为总碳与总氮的质量比。
种子发芽指数(GI)用油菜种子发芽试验法进行测定。
用DP336土壤脱氧核糖核酸(DNA)试剂盒提取堆肥样品中的总DNA,通过质量分数1%的琼脂糖凝胶电泳检测DNA提取质量后,以提取的DNA为模板,以534R和357F为特异性引物,进行聚合酶链反应(PCR),PCR产物用变性梯度凝胶电泳(DGGE)鉴定,最后通过计算香农指数(SWI)解释不同堆肥样品的细菌群落多样性。
DOM样品的前处理方法参照文献,使用总有机碳测定仪测定DOM滤液的溶解有机碳(DOC),然后用UNICOUV-4802双光束紫外可见分光光度计扫描DOM紫外吸收光谱,扫描波长为200~700nm,扫描间隔为1nm。测定254、280nm的吸光度,并分别计算与DOC的比值,分别记为SUVA254、SUVA280,分别用来表征腐殖酸的腐殖化程度和不饱和度、有机质的芳构化程度和分子量。测定250、365nm的吸光度(分别记为E250和E365),并计算E250/E365,也可用来表征DOM的芳香性和分子量。测定253、203nm的吸光度(分别记为E253和E203),并计算E253/E203,用来表征极性官能团。

1.5 数据处理
用IBMSPSSStatistics22.0软件进行光谱学指标的单因素方差分析;用Canoco5.0软件进行冗余分析(RDA),揭示微生境因子对DOM光谱学指标变化的贡献率;用IBMSPSSAmos26.0软件构建结构方程模型,识别微生境因子的作用途径。
2、结果与分析
2.1 细菌群落演替与多样性变化
DGGE是分析细菌群落多样性的有效方法,能有效反映不同生态环境中细菌群落的演替。由图2可见,16SrRNA基因片段的条带1、2、3、5、7几乎存在于各个处理的整个堆肥过程中,这些细菌可能在堆肥过程中降解有机物方面起重要作用。4个处理的细菌群落多样性在高温期和降温期发生了明显变化,说明原料配比不同导致堆肥理化性质不同,进而影响细菌群落多样性。T2和T3沼渣含量低,鸡粪、猪粪的相对含量高,更易于复杂有机物分解转化为腐殖酸,从而提高了细菌群落的多样性。

2.2 沼渣堆肥DOM稳定化表征
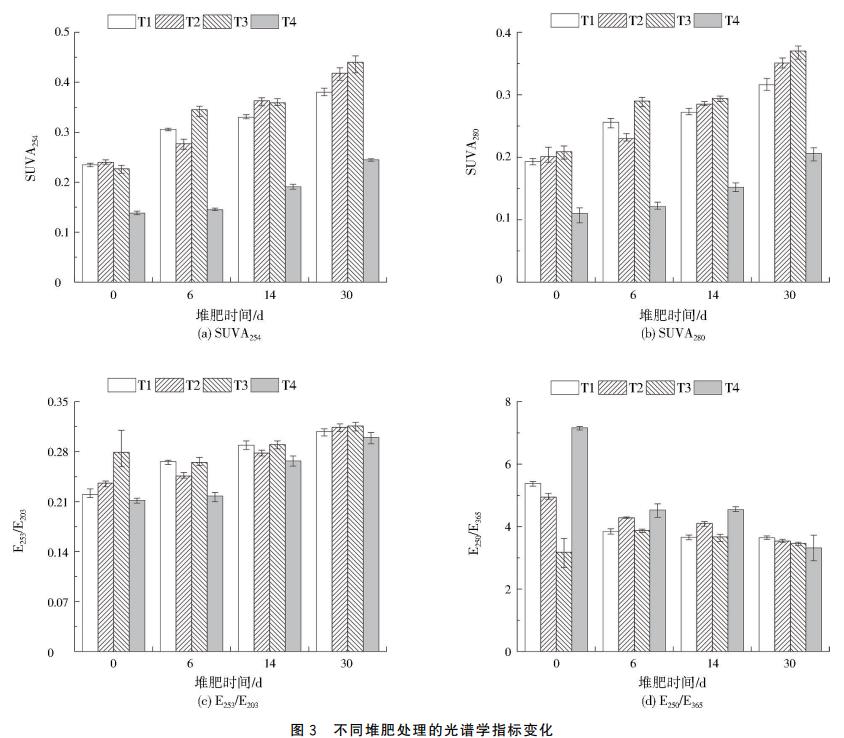
用DOM的4种光谱学指标(SUVA254、SUVA280、E253/E203、E250/E365)表征堆肥腐熟度,结果如图3所示。4个处理中SUVA254、SUVA280、E253/E203在堆肥过程中总体呈上升趋势,而E250/E365总体呈下降趋势,由此说明随着堆肥进行,DOM分子量、分子结构的缩合度和不饱和度逐渐变大,DOM腐殖化程度加深。单因素方差分析结果显示,各个处理的4种DOM光谱学指标从升温期到腐熟期均差异显著,结合细菌群落DGGE气泡图(见图2),可以说明堆肥从开始到结束由于有机质构成发生变化导致细菌群落发生变化。升温期的DOM光谱学指标排序发现,SUVA254、SUVA280、E253/E203排序均为T4<T1<T2<T3,堆肥过程总体呈上升趋势,表明T3处理的堆肥腐熟程度最好,稳定化程度最高。因此按T3处理的原料配比最有利于沼渣堆肥DOM稳定化。

2.3 影响DOM稳定化的关键微生境因子识别
RDA通过原始变量与解释变量之间的相关性分析引起原始变量差异的原因。本研究通过RDA来探究堆肥微生境因子与DOM光谱学指标之间的响应关系,结果如图4所示,前两轴的特征值占到了总特征值的99.02%。原始变量为DOM光谱学指标,用实心箭头连线表示;解释变量为微生境因子,用空心箭头连线表示。解释变量连线在DOM光谱学指标连线上的投影(即余弦值)表示微生境因子对DOM光谱学指标的方差贡献率大小。连线间的夹角反映了变量间的相关性,夹角越接近0°表示越呈正相关性,越接近180°表示越呈负相关性,越接近90°表示越不相关。由图4可以看出,SUVA254、SUVA280、E253/E203与GI、pH、SWI呈正相关性,与AN呈负相关性;而E250/E365与GI、pH、SWI呈负相关性,与AN呈正相关性。综合分析表明,GI对DOM光谱学指标方差贡献率最大。

2.4 微生境因子的作用途径分析
为了更深入地探究堆肥微生境因子对DOM光谱学指标的作用途径,采用能够直观表示生态系统复杂网络关系的结构方程模型进行分析。图5展示了4种微生境因子和4种DOM光谱学指标之间的因果关系。其中,pH与GI呈显著正相关性,AN与GI呈显著负相关性,GI与DOM稳定化指标SUVA254、SUVA280、E253/E203均存在显著正相关性,与E250/E365存在显著负相关性,这与KONG等的研究结果一致。由此可以得出,pH、AN通过影响GI间接作用于DOM光谱学指标,因此GI是作用路径的关键。由图5(b)还可以发现,SWI与SUVA280存在显著正相关性,表明SWI在堆肥进程中对芳香族化合物含量升高具有促进作用,可能与微生物的芳香性代谢物有关。由图5(d)发现,AN与E253/E203存在显著负相关性,这与闫彩红等的研究结果一致。综上,GI是DOM稳定化过程的关键微生境因子,pH、AN、SWI或直接或间接地也可影响堆肥稳定化过程。

3、结论
(1)沼渣堆肥过程中,原料配比不同导致堆肥理化性质不同,细菌群落多样性各异,从而改变堆肥稳定化进程,按沼渣5.85kg、猪粪8.490kg、鸡粪8.190kg的原料配比,堆肥腐熟程度最好,稳定化程度最高,最有利于沼渣堆肥的DOM稳定化。
(2)GI对DOM光谱学指标方差贡献率最大,是作用路径的关键枢纽,直接作用于DOM稳定化。pH、AN也可通过影响GI间接作用于DOM稳定化,SWI在堆肥进程中对芳香族化合物含量升高具有促进作用。
(3)可以通过调控堆肥微生境因子(升高pH、GI、SWI,降低AN)来加速腐殖质向腐殖酸转化,达到提高DOM稳定化程度的目的。(来源:聊城大学生命科学学院,东北农业大学资源与环境学院,聊城大学农学与农业工程学院)



