高级氧化工艺(AOPs)利用高活性的自由基可以有效去除水中的有机物,基于硫酸根自由基(SO4•−)的高级氧化工艺以具有多种活化方式的技术优势而引起了广泛关注。目前,可通过活化过一硫酸盐(PMS)或过二硫酸盐(PDS)来产生降解污染物的活性物质。羟胺(HA)可作为工业和制药过程中有机合成的原料,也是氮循环过程中的重要中间体。HA作为一种强还原剂,可直接与氧化剂如PMS、H2O2、臭氧(O3)和高碘酸盐反应以产生活性物质。氯化物通常存在于天然水体中且浓度范围很广,其可以被SO4•−转化为Cl·,Cl·与Cl−和H2O/HO−相互作用可转化为二氯自由基阴离子(Cl2•−)和羟基自由基(·OH)。
氯化物对HA/PMS体系的影响因目标化合物和条件的不同而异,这种差异可能跟氯活性物质(RCS)与目标化合物的反应性高低有关。因此,HA/PMS体系中氯化物的存在会改变自由基种类并影响污染物的去除效果,不同自由基的具体作用需要进一步研究。在废水环境中,HA可通过微生物转化进一步氧化生成NO2−、NO3−、NO、N2O和N2。有研究讨论了酚类化合物在HA/PMS处理过程中硝基与亚硝基产物的生成情况。硝基与亚硝基产物通常比其母体化合物毒性更大,具有致畸性、致突变性和致癌性。因此,在含有氯化物的废水中采用HA/PMS体系降解酚类化合物的过程中,要对形成的硝基与亚硝基产物进行谨慎评估。
苯酚是化工行业常见的原料和中间体,也是难降解废水中的典型有机物,已被世界卫生组织列入致癌物清单,因此对含酚高盐废水的处理受到广泛关注。笔者以苯酚为目标污染物,分析氯化物存在下HA/PMS高级氧化技术对废水中苯酚的去除效果,讨论有毒产物硝基酚和亚硝基酚的生成情况及相关反应机理,并进一步研究体系中活性组分与毒性的变化,旨在为后续对污染物的控制提供参考。
1、材料和方法
1.1 试验试剂
试验试剂包括过一硫酸氢钾复合盐、硫酸羟胺、苯酚、2-硝基苯酚、4-硝基苯酚、4-亚硝基苯酚、氢氧化钠、硫酸、氯化钠、冰乙酸、苯甲酸(BA)、卡马西平(CBZ)、1,4-二甲氧基苯(DMOB)、硫代硫酸钠、甲醇、叔丁醇和酪氨酸等。费氏弧菌冻干粉购自北京中西远大科技有限公司。试验所用溶液均使用Milli-Q纯化系统的超纯水配制。
1.2 试验步骤
在室温(25±1)℃下,将50mL锥形烧瓶置于磁力搅拌器上,以450~550r/min进行分批试验。将HA(1200µmol/L)和PMS贮备液(600µmol/L)同时加入30mL含有目标化合物苯酚(20µmol/L)和目标组分的缓冲液中引发反应。将10mmol/L乙酸作为pH为3~6的缓冲溶液,以不同的时间间隔收集样品,并采用2mol/L的硫代硫酸钠淬灭后置于高效液相色谱仪(HPLC)进行检测。在特定时间取样并加入100mmol/L的5,5-二甲基-1-吡咯啉N-氧化物(DMPO)溶液或2mmol/L的一氧化氮清除剂溶液,混匀后用毛细管装样封管,放入电子顺磁共振波谱仪(EPR)中测定SO4•−、·OH和·NO。
1.3 分析项目及方法
通过配备有WatersSymmetryC18柱(4.6mm×250mm,5µm)的HPLC分析有机物。苯酚的检测波长为270nm,亚硝基酚和硝基酚的检测波长均为280nm,流动相为0.1%甲酸溶液(A)和甲醇(B),洗脱液A和B(体积比=50∶50)的流速均为1.0mL/min。BA、CBZ和DMOB的检测波长均为240nm,流动相为0.1%甲酸溶液(A)和乙腈(B),洗脱液A和B(体积比=45∶55)的流速均为1.0mL/min,进样体积均为20µL。采用EPR鉴别活性组分。利用费氏弧菌分析HA/PMS技术降解苯酚过程中溶液毒性的变化,检测仪器为便携式综合毒性检测仪。
2、结果与讨论
2.1 pH对苯酚降解效果和产物生成的影响
2.1.1 pH对苯酚降解效果的影响
在含有100mmol/L的Cl−体系中加入600µmol/L的PMS、1200µmol/L的羟胺和20µmol/L的苯酚,分析初始pH对苯酚降解效果的影响,结果如图1所示。可知,pH对苯酚的降解影响较大,在pH为3~6时,反应60min后苯酚均能完全降解,且最佳pH为4,一级反应速率常数为13.326s-1,在该pH下反应20min时苯酚可完全降解。存在Cl−的PMS体系中会发生复杂的自由基连锁反应并生成Cl∙或HClO,这些氯活性物质选择性强,易与富电子污染物反应以促进其降解,但氯活性物质的氧化性远低于SO4•−或·OH,高浓度的Cl-消耗大量的高氧化性自由基后会对污染物的降解产生抑制作用。

当pH≤5时,HA主要存在形式为质子化HA(NH3OH+),而小部分HA以未质子化(NH2OH)的形式存在。PMS与NH2OH之间的反应速率比PMS与NH3OH+之间的反应速率快得多。因此,随着pH的升高,NH2OH的比例逐渐增加,并且产生的SO4•−也逐渐增加,所以苯酚在pH由3升至4时降解速率加快。当pH>5时,NH2OH逐渐占据优势,SO4•−与NH2OH的反应速率常数是与NH3OH+的50倍以上,HA对SO4•−的竞争消耗增强,导致在pH为5~6时苯酚的降解速率下降。
2.1.2 pH对硝基酚和亚硝基酚生成的影响
考察初始pH对硝基酚与亚硝基酚生成的影响,结果如图2所示。

从图2可以看出,pH对硝基酚和亚硝基酚的生成有显著的影响,但这两种产物的生成并没有随着pH的变化而同步改变。硝基酚和亚硝基酚分别在pH为6和4时产量和产率达到最大,其中产量分别为4.96和13.84µmol/L,产率分别为24.84%和69.19%。有研究表明,苯酚氧化的苯氧基自由基是形成硝基酚和亚硝基酚的关键中间体。对于HA/PMS体系,HA与PMS相互作用产生的SO4•−能够通过电子转移与苯酚反应生成阳离子自由基,由于其pKa为-2.75,在水溶液中能很快地去质子化并生成苯氧基自由基,此外,·NO可以与苯酚反应生成PhO·,这些途径可以促进硝化和亚硝化过程,硝基酚与亚硝基酚产物的生成量随着反应时间的延长不断增加,一定时间后保持平衡。苯酚降解的最佳pH与硝基酚生成量最大时的pH并不一致,即活性氧物质稳态浓度最高时硝基酚产量并非最大。这说明体系中的活性氧物质(SO4•−、·OH)并没有直接参与到苯酚的硝化过程中。
2.2 Cl−浓度对苯酚降解效果和产物生成的影响
2.2.1 Cl−浓度对苯酚降解效果的影响
在乙酸缓冲溶液中加入不同浓度的Cl-,在PMS投加量为600µmol/L、羟胺投加量为1200µmol/L、苯酚投加量为20µmol/L、初始pH为4的条件下,考察Cl-浓度对苯酚降解效果的影响,结果如图3所示。

从图3可以看出,当Cl−浓度为1和10mmol/L时会对苯酚的降解效果产生抑制作用,但随着Cl−浓度的增加,抑制程度不断减小。反应30min后,苯酚降解率从无Cl时的99%分别降至86.4%和95.6%,一级反应速率常数从7.289s-1分别降至1.947和2.666s-1。而继续提高Cl−浓度至100mmol/L则会明显促进苯酚的降解,反应20min后苯酚即可完全降解。
当pH为4时HA/PMS体系中活性物质的稳态浓度最高,而Cl−可以被SO4•−转化为Cl·,见式(1)。随后Cl·可以通过一系列反应产生·OH,见式(2)和(3)。添加Cl−后产生的Cl·和·OH同样可以参与苯酚的降解。Cl−的加入会导致体系中自由基种类的改变,消耗大量的高氧化性活性物质,因此低浓度Cl(−1、10mmol/L)的存在会抑制苯酚的降解。同时具有较强选择性的Cl·、Cl2•−等自由基的氧化还原电位虽然低于SO4•−,但其对苯酚也有降解效果,一定程度上弥补了强氧化性自由基被消耗导致的污染物降解效果下降。体系中较多的Cl−会消耗Cl·生成Cl2•−,见式(4),Cl2•−可以与自身以及Cl·发生相互淬灭反应生成Cl−和Cl2,见式(5)。Cl2•−和Cl2可以与H2O反应生成半衰期较长、具有氧化能力的HClO,见式(6)和(7),所以高浓度的Cl(−100mmol/L)会促进苯酚降解。

2.2.2 Cl−浓度对硝基酚和亚硝基酚生成的影响
Cl−浓度对硝基酚和亚硝基酚生成的影响如图4所示。可知,随着Cl−浓度的提高,硝基酚与亚硝基酚的生成量增加。当Cl−浓度分别从0升高至100mmol/L时,90min内硝基酚的产量从4.97µmol/L升高至6.00µmol/L,亚硝基酚的产量从1.61µmol/L升高至3.67µmol/L。当Cl−浓度为100µmol/L时,硝基酚和亚硝基酚的产率分别为30.00%和18.35%。

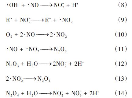
在pH为4时,向HA/PMS体系中添加Cl−后抑制了原有的SO4•−与羟胺之间的反应,并使得产生的活性氮物质数量减少,但是由于NO2−与·OH之间的反应速率远快于NO2−与SO4•−之间的反应速率,这就导致了在Cl−存在时HA/PMS体系中产生了更多的·NO2。·NO与·OH等自由基反应后可形成NO2−,见式(8);同时,NO2−迅速与自由基反应可形成·NO2,见式(9)。后续反应会生成氮氧化物和氮氧化物离子,见式(10)~(14)。例如,·NO进一步与·NO2反应可形成N2O3,·NO2二聚后形成N2O4。·NO2加成到苯酚的芳环上产生中间体芳族基团(邻或对羟基硝基环己二烯基),然后由·NO2或O2夺氢产生硝基酚。此外,苯酚与N2O4的亲电反应或亚硝基酚氧化也会产生硝基酚。·NO与PhO·结合或N2O3与苯酚反应会产生亚硝基酚。因此,氯离子浓度增加相应地也会生成更多的硝基酚与亚硝基酚。

2.3 活性物质的鉴定
2.3.1 ·OH与SO4•−
由于不同自由基对有机物的转化机理不同,因此体系中自由基的鉴定必不可少。·OH和SO4•−能够被DMPO捕获,形成DMPO-OH或DMPO-SO4加合物,通过EPR鉴定。在pH为4时进行EPR测试,结果如图5所示。可以看出,当Cl-浓度由0升高至100mmol/L时,DMPO-OH的信号强度逐渐降低。有研究认为,1mmol/L的氯化物可以将超过90%的SO4•−转化为Cl·,并进一步转化为·OH。而较高浓度的氯化物增强了Cl·和·OH向Cl2•−的转化,因此体系中的·OH逐渐减少。DMPO-OH的信号强度高于DMPO-SO4,但由于DMPO-SO4能通过亲核取代反应迅速转化为DMPO-OH,因此需进行淬灭试验来区分基于PMS的高级氧化工艺中不同活性物质对污染物降解的贡献。

向体系中加入不同浓度的甲醇和叔丁醇来捕捉反应过程中产生的·OH、SO4•-和氯自由基,甲醇用来淬灭·OH和SO4•−,叔丁醇用于淬灭·OH,两者都可以淬灭氯自由基,试验结果如图6所示。可以看出,当体系中存在100mmol/L的氯离子时,加入500mmol/L甲醇后苯酚的降解率由100%显著下降至71.1%,说明体系中存在·OH、SO4•−和氯自由基。当加入500mmol/L叔丁醇后,苯酚降解率下降至82.6%,说明体系中存在·OH和氯自由基。由于PMS具有非对称结构,在被HA活化后会分解产生·OH和SO4•−。在羟胺与PMS相互作用过程中,会产生·OH和SO4•−。淬灭试验结果表明,该体系主要的活性氧化剂不是·OH和SO4•−,据此推测SO4•−或·OH与Cl−反应生成的HClO起主要氧化作用。

2.3.2 氯活性组分
由于EPR无法用于检测活性氯自由基(Cl·、Cl2•−、ClO·),因此通过探针化合物并结合相对速率法分析其浓度。选取苯甲酸、卡马西平和1,4-二甲氧基苯三种能被Cl·、Cl2•−和ClO·氧化的探针化合物,通过液相色谱仪检测其在不同Cl-浓度HA/PMS体系中的反应动力学,结果如图7所示。可以看出,随Cl-浓度的升高探针化合物的降解速率变化趋势不同,其中卡马西平的降解速率明显增大,即表观速率常数增加,而探针化合物和自由基的二级反应速率常数是恒定的,Cl-浓度升高,活性氯自由基浓度增加,这可能会导致苯酚的降解速率加快。
为了明确有机物降解速率变化的主要原因,进一步对比Cl·、Cl2•−和ClO·的变化,结果表明,当Cl-浓度为1、10、100mmol/L时,相应的Cl·浓度分别为1.872×10-15、1.800×10-15、1.430×10-15mol/L,Cl2•−浓度分别为1.034×10-14、5.349×10-13、7.193×10-12mol/L,ClO·浓度分别为2.187×10-14、5.670×10-14、6.508×10-14mol/L。可见,随着氯离子浓度的升高,Cl·浓度有所下降,Cl2•−和ClO·浓度增加,且Cl2•−的变化幅度最为明显,这是因为较高浓度(>1mmol/L)的氯化物增强了Cl·和·OH向Cl2•−的转化。

2.3.3 氮活性组分
·NO可以诱导苯酚转化为亚硝化芳香族化合物,因此需要鉴定体系中的·NO。·NO的EPR信号如图8(a)所示,这为HA活化PMS产生·NO提供了直接证据。

当氯离子浓度从0升高至100mmol/L时,·NO的信号强度逐渐减小,表明体系中的·NO含量逐渐降低,由于Cl−的添加抑制了体系中原有的SO4•−与羟胺之间的反应,并使得产生的活性氮物质数量减少。·NO2是许多高级氧化反应中诱导硝化过程的关键硝化剂。由于酪氨酸自由基与·NO2可快速反应,因此被作为·NO2的潜在清除剂。从图8(b)可以看出,当pH为4时,在HA/PMS体系中硝基酚随着苯酚的降解而连续产生,当酪氨酸从0增至100µmol/L时,硝基酚的生成被显著抑制。这些结果证明了HA/PMS体系中·NO和·NO2的存在。
2.4 毒性变化
利用费氏弧菌发光细菌检测HA/PMS技术降解苯酚过程中综合急性毒性的变化,结果如图9所示。可知,初始溶液发光强度为2.5×106,而当反应30min时,溶液发光强度显著降低,说明溶液中生成的硝基酚与亚硝基酚产物具有较高的毒性。随着反应的继续进行,体系中的发光强度小幅度增强,表明体系整体毒性有所降低,这可能是由于HA/PMS体系进一步降解了硝基酚与亚硝基酚含高毒性官能团的产物。上述毒性变化规律与过硫酸盐降解水中2,3,6-三氯苯甲醚所得结论相似。基于过硫酸盐的高级氧化工艺具有氧化还原电位高、反应性物种产率大、处理效率对水基质的依赖性小、过硫酸盐储存和运输成本低的优势。羟胺作为全球氮循环的中间体与PMS自然接触或被人为引入后,用于活化PMS处理苯酚废水时可能会生成与目标污染物或中间降解产物相关的有毒副产物,因此,在实际工程应用中不仅要考虑目标污染物的去除效果,还应重视有毒副产物的生成情况。

3、结论
①在HA/PMS体系中,pH对苯酚的降解效果影响较大,在pH为3~6时,反应60min后苯酚均能完全降解。最佳降解pH为4,一级反应速率常数为13.326s-1,反应20min时苯酚可完全降解。硝基酚和亚硝基酚分别在pH为6和4时产量最高,且产率最大。反应90min时体系中生成的硝基酚和亚硝基酚产量分别为4.96和13.84µmol/L,产率分别为24.84%和69.19%。
②在当Cl−浓度为1和10mmol/L时会对HA/PMS体系降解苯酚产生抑制作用,但随着Cl−浓度的增加,抑制程度不断减小。反应30min时苯酚降解率从99%分别降至86.4%和95.6%,一级反应速率常数从7.289s-1分别降至1.947和2.666s-1。继续提高Cl−浓度至100mmol/L则会明显促进对苯酚的降解,20min时即可完全去除污染物。
③在Cl−存在时,淬灭试验结果表明,SO4•−或·OH与Cl−反应生成的HClO在体系中起主要氧化作用。采用探针化合物结合相对速率法计算活性氯自由基(Cl·、Cl2•−、ClO·)的浓度发现,随着Cl-浓度由1mmol/L升高至100mmol/L,Cl·浓度有所降低,而Cl2•−和ClO·的浓度增加,这是因为较高浓度(>1mmol/L)的氯化物增强了Cl·和·OH向Cl2•−的转化。通过EPR和酪氨酸证明了体系中存在·NO和·NO2,且随着Cl-浓度的增加,·NO和·NO2的浓度逐渐降低。
④费氏弧菌发光试验显示,当Cl-存在时,HA/PMS技术降解苯酚过程中生成的物质整体具有较高的毒性,且随着反应的进行,毒性有所降低,这是由于HA/PMS体系进一步降解了含高毒性官能团的产物。(来源:深圳大学土木与交通工程学院未来地下城市研究院,沈阳建筑大学市政与环境工程学院,深圳职业技术大学材料与环境工程学院)



