近年来,国内外对于水中嗅味事件的报道日益增多,我国各大城市均发生过影响供水安全的嗅味事件,甚至引发大范围的供水危机。2-甲基异莰醇(2-MIB)和土臭素(GSM)是饮用水中代表性的嗅味物质,分布广泛且为土霉味,其存在会影响饮用水的感官特征,从而造成消费者对饮用水品质的不信任。我国新修订的《生活饮用水卫生标准》(GB5749—2022)将2-MIB和GSM由之前附录A中水质参考指标列入正式名目加以控制。然而我国现有的常规水处理工艺(混凝-沉淀-过滤-消毒)对GSM和2-MIB的去除率不足20%,难以保证出厂水水质。目前的水厂嗅味去除工艺主要包括氧化和吸附两种类型:粉末活性炭(PAC)吸附应用广泛,但存在投加量大、成本高、易堵塞等问题;而常见氧化剂包括次氯酸钠(NaClO)、二氧化氯(ClO2)等,去除效果差且二次污染风险高。因此,有必要开发一种节能、高效、清洁的除嗅技术。
利用硫酸根自由基(·SO4-)氧化降解水体中的难降解有机污染物是近年来一种新兴的技术。相对于常见的羟基自由基(·OH),基于·SO4-的高级氧化技术(SR-AOPs),具有氧化还原电位高、存在寿命长和反应效果受pH的影响小等优势,可以降解一些·OH无法降解的污染物。·SO4-可以由活化过硫酸盐产生,包括单过硫酸盐(PMS)和过二硫酸盐(PDS),其中PMS是非对称结构,而PDS是对称结构,因此PMS更容易被活化。目前,广泛使用的金属催化剂活化方式容易造成二次污染且粉末状金属难以回收,其他的活化方式如热活化、超声活化尚处于实验室阶段,应用难度较大。微纳米气泡(MNBs)作为一种新型的清洁技术,能够提高气液传质效率、产生·OH等,在杀菌、修复沉积物等领域都有一定应用。MNBs坍塌时会引起周围化学势的激增,并产生瞬态高温高压的局部热点,能够达到活化PMS的目的。将上述两种技术结合有望减少其他化学物质的添加,降低二次污染风险,同时通过生成高活性的自由基,提升体系的降解能力和降解效率,为降解饮用水中难去除的痕量有机物提供了思路。目前已有研究证明MNBs和过硫酸盐结合能够有效去除二甲苯等污染物,但对于降解水中痕量有机物的研究相对有限。
为此,以典型痕量嗅味物质2-MIB为目标污染物,分析了基于微纳米气泡与过硫酸盐的协同技术(MNBs-PMS)对嗅味物质的去除效果,考察了PMS投加量、MNBs特征(进气量和气源)、水环境条件(pH、常见无机天然阴离子和腐殖酸)等因素对降解效果的影响,并对2-MIB降解的中间产物进行界定,由此来探讨其降解机理,为采用MNBs-PMS体系降解嗅味物质提供理论依据。
1、材料和方法
1.1 主要仪器与试剂
实验所用试剂包括:2-MIB购自上海安谱实验科技有限公司;过硫酸盐(PMS)和硫代硫酸钠(Na2S2O3·5H2O)、5,5-二甲基-1-吡咯啉-N-氧化物(DMPO)和2,2,6,6-四甲基哌啶氧化物(TEMPO)购自上海阿拉丁生化科技有限公司;磷酸氢二钠(Na2HPO4)、磷酸二氢钾(NaH2PO4)、盐酸(HCl)、氢氧化钠(NaOH)、甲醇(MeOH)、硝酸钠(NaNO3)和硫酸钠(Na2SO4)等购自上海医药集团有限公司;叔丁醇(TBA)和腐殖酸(HA)购自上海麦克林生化科技有限公司。
所用仪器包括:微纳米气泡发生器(LF-1500,上海行恒科技有限公司)、气相色谱-质谱仪(GC2010-QP2010Plus,日本岛津公司)、电子顺磁共振仪(A300,德国布鲁克公司)、pH计(PHS-3E,上海雷磁仪器有限公司)、纳米颗粒跟踪分析仪(Nano-sightNS500,英国马尔文仪器有限公司)、纳米粒度电位分析仪(NanoZS90,英国马尔文仪器有限公司)、便携式溶氧仪(HQ30d,美国哈希公司)。
1.2 实验过程
1.2.1 降解实验
实验装置如图1所示,MNBs发生器的初始条件设置如下:通入空气,进气量为30mL/min,气压控制在0.5MPa。用锥形瓶取1L模拟水样,插入MNBs进气管,加入不同浓度的PMS,采用封口膜封口以避免挥发。

配制1L初始浓度为200ng/L的2-MIB溶液,在溶液中添加1mmol/LPMS并置于MNBs曝气的环境下。然后,依次在装置运行0、10、30、60、90和120min时从锥形瓶中取样,在取样瓶中提前加入过量的Na2S2O3·5H2O以便对水样进行淬灭处理。采用吹扫捕集-气相色谱质谱联用(P&T-GC/MS)的方法对水样中的2-MIB进行检测。首先对比单独PMS、单独MNBs和MNBs-PMS体系的降解效果,接着探讨PMS投加量(0.1、1、5mmol/L)、MNBs特征(进气量为10、30、50mL/min,气源分别为空气、氦气和氧气)和水环境特征(pH为3、5、7、9,无机天然阴离子分别为Cl-、HCO3-、SO42-、NO3-,腐殖酸浓度为0、1、4mg/L)对MNBs-PMS体系降解效果的影响。
其中,吹扫装置在高纯氦气(>99.99%)中工作,40℃吹扫10min,吹扫流量为40mL/min,190℃脱附3min。色谱柱为RTX-5MS柱(30.0m×0.25mm×0.25μm)。GC条件如下:载气为99.999%高纯氦气;压强为90kPa;柱中流速为1.45mL/min;不分流进样;初始柱温为60℃;进样口温度为250℃。MS条件如下:电子轰击源(EI);电子能量为70eV;离子源温度为200℃;接口温度为250℃;离子扫描范围m/z为45~500;扫描时间为5~20.27min。
1.2.2 自由基捕捉实验
利用电子顺磁共振(EPR)实验来验证自由基的种类和贡献。MeOH和TBA作为自由基淬灭剂,DMPO和TEMPO溶液作为自旋捕捉剂,用以检测体系中活性物质。EPR光谱仪的辐射频率设为9.85GHz,功率为20.43mW,中心磁场为0.3455T,扫描宽度为0.0120T。实验时将适量的样品溶液与DMPO和TEMPO溶液充分混合后使用100μL毛细管取样,插入EPR体腔内。
1.2.3 降解中间产物分析
采用GC-MS全扫描模式对处理后的样品进行扫描,该模式可获得整个质谱范围内的所有潜在化合物信息,得到各个峰的分子离子质谱图,质谱结果采用NIST11.0数据库进行匹配,以确定2-MIB降解中间产物的化学结构和分子式,GC和MS条件同1.2.1节。
1.2.4 密度泛函理论分析
密度泛函理论(DFT)是一种量子力学计算方法,用于研究多电子体系(如分子、凝聚态物质)中的电子结构和性质。利用GaussView5.0软件进行DFT计算,采用Multiwfn工具进行波函数分析。采取简缩福井函数(CFF)和自然布局分析(NPA)预测2-MIB的反应位点。2-MIB分子的结构优化与能量计算使用Gaussian16程序进行,计算采用M06-2X杂化泛函,并使用6-311+G(2d,p)基组对能量进行求解。溶剂效应通过SMD隐式溶剂模型处理,其他参数则使用默认设置。
2、结果与讨论
2.1 2-MIB降解效果
反应120min以后,单独PMS、单独MNBs以及MNBs-PMS体系对2-MIB的去除率分别为14%、24%和64%。MNBs-PMS体系的去除率可达两种单独体系的3~5倍,相比之下,两种单独工艺对2-MIB无明显去除效果。这可能是因为常温下PMS非常稳定,需通过能量输入或电子转移才能活化产生足量的·SO4-。Bu等也指出,·SO4-的生成是氧化2-MIB的限速步骤。而单独MNBs中气泡与污染物碰撞的可能性较低,导致去除效果较差。MNBs坍塌能够使常温下稳定的PMS结构中—O—O—断裂,达到活化PMS的目的,使得体系中发生式(1)所示的反应,生成的多种活性自由基(·OH、·SO4-等)和极端高温高压能显著提升去除污染物的能力。

拟一级反应动力学拟合显示,各体系的-ln(Ct/C0)与t之间有较好的线性关系,线性拟合系数R2>0.95。同时,在将PMS引入MNBs后,反应速率常数k从0.0012min-1增加到0.0081min-1,MNBs-PMS体系的k值是其他两种反应体系的4~6倍,协同效果十分显著。
2.2 影响因素分析
2.2.1 PMS投加量
随着PMS投加量的增加,2-MIB去除率显著提高(见图2)。当PMS投加量分别为0.5、1和5mmol/L时,反应120min后2-MIB的去除率分别为45%、64%和74%。投加量从0.5mmol/L增加到5mmol/L时,其反应速率常数也由0.0050min-1增加至0.0112min-1。Liu等使用MnO2催化PMS降解DDT,当PMS投加量从0.81mmol/L增加到3.26mmol/L时,反应240min后降解率从73.9%上升到97.0%。作为氧化过程中的反应物,PMS投加量的增加能够促进自由基的生成,提高自由基与污染物的碰撞几率。但过量的PMS会导致自由基消耗,此时·SO4-和·OH会与PMS发生反应,生成氧化能力较低的·SO5-,反应速率难以获得明显提升。

2.2.2 进气量
进气量对2-MIB去除效果的影响见图3。可见,2-MIB去除效果与进气量呈现正相关。反应120min后,进气量为10、30和50mL/min组的去除率分别为50%、64%和70%。进气量从10mL/min提高到50mL/min时,k值也从0.0050min-1增加至0.0092min-1。随着进气量的增加,体系的去除率和反应速率都明显提升。这是因为增加进气量可提高体系内气泡浓度,有利于产生更多的自由基。可见,进气量对溶解氧浓度和气泡生成过程影响显著。然而,随着较大气泡的生成,气泡浓度会迅速降低,导致气液接触面积减少,进气量的增加并不能线性提升效果,即存在上限。

2.2.3 气源
气源会影响体系中自由基的种类和·OH产生量。考察了氮气、空气和氧气三种常见气源对降解效果的影响,结果表明,三种气源的降解率分别为31%、64%和80%,氧气MNBs的k值为0.0125min-1,显著高于空气MNBs(0.0081min-1)和氮气MNBs(0.0027min-1)。可见在坍塌过程中产生自由基的能力排序为:氧气>空气>氮气。这可能是由于不同气源导致体系中溶解氧浓度发生变化,溶解氧的存在能够降低·SO4-的反应能垒,并且改变反应的化学平衡,使其向产物一侧移动,从而促进有机污染物的降解。
2.2.4 pH
pH变化往往会影响水体环境中物质的化学形态和氧化还原反应的平衡,为此考察了不同pH对2-MIB去除效果的影响。当pH分别为3、5、7、9时,2-MIB降解率分别为53%、61%、64%和72%。总体上降解率随pH的提高而增加,MNBs-PMS体系在碱性条件下能够达到更好的去除效果。Ni等采用Co3O4/SnO2催化PMS,也在pH=9左右得到了最佳去除效果。经计算,pH从3提高至9时,反应速率从0.0062min-1增加到0.0107min-1。与气源的影响类似,pH也可从产生自由基的类型和数量两个方面影响污染物的去除效果:在酸性条件下,PMS相对稳定,H+会阻碍·SO4-和·OH的生成;在碱性条件下,PMS加速分解,自由基产生速率加快,降解速率明显提高。但在pH>10的强碱性环境下,·SO4-几乎都转化为·OH,·OH成为体系内主要的反应自由基,其氧化电位低于·SO4-,导致体系对污染物的去除效果下降。

2.2.5 无机阴离子
天然水体中普遍存在各种无机阴离子,·SO4-和·OH的高氧化还原电位使它们对目标有机污染物以及水中的天然成分具有很强的反应性。考察了Cl-、HCO3-、SO42-和NO3-对2-MIB去除的影响,结果如图4所示。天然水中无机阴离子的浓度范围较广,为了保持实验的一致性,控制阴离子初始浓度均为0.1mmol/L。其中SO42-对体系处理效果的提升作用明显,2-MIB去除率由64%升至76%;Cl在前90min表现为明显的促进作用,而其他两种离子总体表现为不明显的抑制作用,在反应速率上表现为SO42-(k=0.0112min-1)>空白(k=0.0081min-1)>HCO3(-k=0.0077min-1)>NO3(-k=0.0076min-1)>Cl-(k=0.0068min-1)。
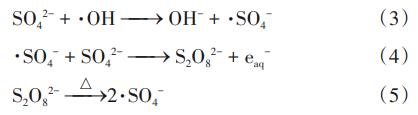
值得一提的是,在之前的研究中SO42-通常被认为对PMS的反应作用不明显或存在抑制作用。但在本研究中观察到其促进作用,一方面可能是由于·OH与SO42-发生了式(3)所示的反应,生成了氧化性更强的·SO4-。另一方面,SO42-和·SO4-反应生成过二硫酸盐(S2O82-),在常温下S2O82-不会继续分解,但微纳米气泡坍塌产生的高温促进了式(5)反应的进行,使得体系中·SO4-浓度进一步增加。


Cl-、HCO3-、NO3-三种离子的实验结果与其他学者的实验结果相类似,具体效果还受阴离子类型和浓度的影响。Yang等观察到Cl能够明显增强PMS去除双酚A的能力,反应速率在反应后期变化不大。但10mmol/L的Cl被观察到对双酚A的降解表现出明显的抑制作用。如式(6)~(8)所示,Cl能够与·OH和·SO4-反应产生氧化性更强的氯自由基(·Cl),但高浓度的Cl-会抑制污染物降解。HCO3-是自由基反应链中的抑制剂,体系中的·SO4-和·OH会被HCO3-的单电子氧化清除,发生式(9)、(10)所示的反应,生成低氧化性的碳酸根自由基(·CO3-),且这种抑制作用随碳酸盐浓度的提高而增强。Diao等在PMS体系中加入10mmol/L的NO3-,观察到轻微的抑制作用。可能是由于NO3-对·SO4-的清除作用,如式(11)所示。可见阴离子浓度可能会显著影响其在体系中的去除效果,甚至可能导致促进作用转变为抑制作用,或反之。因此,在实际应用中,必须特别关注水中阴离子类型及其浓度,以确保系统的有效性和稳定性。

2.2.6 溶解性有机物
与阴离子类似,有机物也是天然水体中的重要组成成分,为此选取总有机碳(TOC)为指标,在水样中投加不同浓度的腐殖酸(HA),研究了有机物含量对2-MIB去除的影响。结果表明,在空白实验中2-MIB去除率为64%,有机物的存在则使得2-MIB去除率下降,当TOC浓度为0.6、2.4mg/L时去除率分别下降了22%和30%,反应速率也从0.0081min-1分别降低为0.0044和0.0032min-1。这种抑制作用可能是因为有机物容易与自由基发生反应,其与2-MIB的竞争消耗了体系中的自由基。水中的天然有机物也被证明可以作为自由基的来源,但这种作用仅在高浓度时表现明显,低浓度时通过天然有机物活化PMS产生的自由基与其对自由基的清除能力相比,可以忽略不计。
2.3 自由基捕捉实验
为了证明不同活性物质对于2-MIB降解的贡献度,利用EPR实验对MNBs-PMS体系中产生的自由基种类进行测定,结果表明,可以观察到峰高比为1∶2∶2∶1所对应的DMPO-·OH四重特征信号峰和峰高比为1∶1∶1∶1∶1∶1所对应的DMPO-·SO4-六重特征信号峰。此外,还能够检测到活性物质1O2和·O2-的信号。相比于·SO4-和·OH,1O2和·O2-的氧化性较弱,在MNBs-PMS体系中·SO4-和·OH起主要作用。向该反应体系中加入了MeOH和TBA进行淬灭实验,MeOH可以同时淬灭·OH和·SO4-,而TBA主要淬灭·OH。在MNBs-PMS体系中分别加入1mmol/L的TBA和MeOH,反应120min后,2-MIB降解率从64%分别降至58%和21%,降解反应速率常数k从0.0081min-1分别下降为0.0068和0.0018min-1。这说明在MNBs-PMS体系中·SO4-对去除2-MIB的贡献较·OH更为显著。
2.4 降解路径和中间产物分析
采用高斯软件(Gaussian16)对2-MIB分子结构进行优化并编号,通过计算福井函数评估2-MIB分子上的反应位点,以及易受亲核攻击(f+)、亲电攻击(f-)和自由基攻击(f0)的倾向性。其中,f0同时考虑自由基的亲电性和亲核性,当自由基在反应中主要表现出亲电性时,f-更适合用于预测反应活性位点。在本研究中,由于·SO4-和·OH等强亲电性自由基的存在,亲电攻击为主要的攻击方式。2-MIB的化学结构如图5(a)所示,其中,灰色、白色和红色分别代表C、H、O。经计算,O11(0.2182)、H29(0.0565)、C3(0.0541)、C4(0.0534)的福井函数值较大,因此推断为易受攻击位点。

为了定量比较每个位点易受攻击的可能性,通过Multiwfn程序计算了简缩双描述符(CDD),并绘制了基于CDD的等值面图,如图5(b)所示,其中,红色和蓝色代表分子轨道的正负相。CDD为负值的区域易受亲电攻击,而CDD为正值的区域更容易发生亲核反应。在2-MIB中O11(-0.2060)、C3(-0.0528)、C4(-0.0455)、C2(-0.0415)、H29(-0.0341)的CDD负值最为明显;从等值面图也可看出,上述位点受到较大负等值面的紧密包围,因此可推测这5个位点更易受到亲电攻击。
结合福井函数及简缩双描述符对易受到亲电攻击位点的预测发现,两种函数对反应位点的预测结果吻合较好。综合分析,2-MIB中O11发生反应的可能性最大,其次为H29、C3、C4。推断2-MIB分子易受自由基攻击的位点主要是羟基(—OH)和甲基(—CH3)。
为了进一步推测MNBs-PMS体系中2-MIB的可能降解路径,采用GC-MS全扫描模式对2-MIB的降解产物进行分析,结果如表1所示。

根据表1中降解产物分析其降解路径,可能的降解路径如图6所示(虚线中为推测可能的产物,其余为实际检出的物质)。体系中最先受自由基攻击的是带有羟基和羧基的碳原子,生成一级桥环产物(如物质2和3所示),然后桥环再进一步断裂生成醛、酮、酸类小分子物质(如物质1所示),降解后急性毒性和慢性毒性都有所下降。该降解路径的推测与DFT计算结果相符,证明了其合理性。天然水体中的2-MIB浓度基本在纳克级,而2-MIB降解生成的醛类等小分子物质嗅阈值在微克甚至毫克级,远大于2-MIB,因此采用MNBs-PMS处理含2-MIB水样后,嗅味风险显著降低。

3、结论
①MNBs-PMS体系能够实现两种技术的优势互补,协同效应显著,对化学结构稳定、难降解的2-MIB表现出了较高效的降解效果,去除率可达75%以上,同时降低了环境污染风险,表明了其在去除难降解有机污染物方面的应用潜力。
②增加PMS投加量可以显著提升体系中自由基浓度及其与污染物的碰撞几率;去除效果与进气量呈现正相关,进气量为50mL/min的去除效果较10mL/min的提升了40%;最佳气源为氧气;在碱性条件下能够达到更好的去除效果,但pH过高会产生抑制作用;水中天然阴离子和腐殖质的存在都会影响去除效能,具体效果还受阴离子类型和浓度的影响,其中SO42-对体系去除效果的提升作用明显,而HA则会抑制去除。
③MNBs-PMS体系降解2-MIB过程中产生的活性氧化物种包括·SO4-、·OH、1O2和·O2-。其中,·SO4-和·OH为主要的活性物质,·SO4-的贡献更为显著。根据中间产物检测和DFT计算结果推测2-MIB可能的降解路径:自由基先攻击带有羟基和羧基的碳原子,然后再进一步断裂生成醛、酮、酸类小分子物质。(来源:.浙江大学建筑工程学院,浙江大学长三角智慧绿洲创新中心)



