公布日:2023.09.29
申请日:2023.08.02
分类号:C02F9/00(2023.01)I;C02F3/02(2023.01)N;C02F3/28(2023.01)N;C02F101/16(2006.01)N;C02F101/10(2006.01)N
摘要
本发明提供一种分段进水多级A/O耦合改良UCT除磷脱氮系统、应用,涉及污水处理领域。包括依次设置的厌氧区、多级A/O单元和二沉池。每段A/O单元包括依次串联的缺氧区和好氧区,最后一段A/O单元的好氧区与二沉池连通。厌氧区的进水管与进水总管连通,厌氧区的出水管道分别与每段A/O单元的缺氧区的进水管连通,待处理污水先进入厌氧区释磷,再分段进入各个缺氧区脱氮,提高了系统的脱氮除磷效率。二沉池的剩余污泥通过污泥回流管道回流至第一段A/O单元的缺氧区内先脱除硝态氮,再通过第一段A/O单元的缺氧区与厌氧区连通的第一内回流管道进入厌氧区厌氧释磷,由于回流液中没有硝态氮的干扰,进一步提升了系统的除磷效果。
权利要求书
1.一种分段进水多级A/O耦合改良UCT除磷脱氮系统,其特征在于,包括依次设置的厌氧区、多级A/O单元和二沉池;每段所述A/O单元包括依次串联的缺氧区和好氧区,最后一段所述A/O单元的好氧区与所述二沉池连通;所述厌氧区的进水管与进水总管连通,用于输送待处理污水,所述厌氧区的出水管道分别与每段所述A/O单元的缺氧区的进水管连通;所述二沉池的出泥口通过污泥回流管道与第一段所述A/O单元的缺氧区连通,所述多级A/O单元第一段的缺氧区还通过第一内回流管道与所述厌氧区连通。
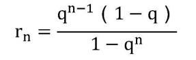
2.根据权利要求1所述的系统,其特征在于,多个所述缺氧区的进水流量按照所述缺氧区的排列顺序呈等比数列;优选地,根据以下公式计算最后一段所述A/O单元的缺氧区的进水流量分配系数:

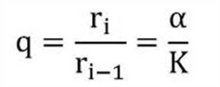
其中,rn-表示最后一段所述A/O单元的缺氧区的进水流量分配系数,q-表示所述等比数列的公比,n-表示A/O单元的总分段数,且n为大于0的正整数;所述等比数列的公比q为相邻两个所述缺氧区的进水流量分配系数的比值,通过以下公式计算:

其中,ri-表示第i段进水流量分配系数;ri-1-表示第i-1段进水流量分配系数;i为≥2的整数;K-表示进水中BOD5与总凯氏氮的质量的比值;α-表示缺氧区中去除单位质量硝态氮所消耗的BOD5的质量。
3.根据权利要求2所述的系统,其特征在于,所述进水总管与所述厌氧区的出水管道通过设置有第一阀门的超越管连通;优选地,所述厌氧区的进水管道和每段所述A/O单元的缺氧区的进水管道上均设置有调节阀门。
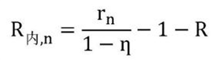
4.根据权利要求1所述的系统,其特征在于,最后一段所述A/O单元的好氧区还通过第二内回流管道与最后一段所述A/O单元的缺氧区连通;优选地,最后一段所述A/O单元的好氧区与缺氧区之间的内回流的第二内回流比由下式计算:

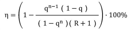
其中,R内,n-表示最后一段所述A/O单元的好氧区与缺氧区之间的第二内回流比,rn-表示最后一段所述A/O单元的缺氧区的进水流量分配系数,η-表示总氮去除率,R-表示污泥回流,即污泥流量与总进水流量的比值;优选地,总氮去除率η的计算公式如下:

其中,η-表示总氮去除率,R-表示外回流污泥流量与总进水流量的比值,q-表示等比数列的公比,n-表示A/O单元的总段数。
5.根据权利要求1所述的系统,其特征在于,所述二沉池的出泥口通过污泥回流管道与第一段所述A/O单元的缺氧区的前端连通,第一段所述A/O单元的缺氧区的后端还通过第一内回流管道与所述厌氧区的前端连通。
6.根据权利要求1所述的系统,其特征在于,每段所述A/O单元的好氧区内还设置有曝气充氧装置,每个所述曝气充氧装置均通过一一对应的伸出所述好氧区的曝气支管与曝气主管连通,每个所述曝气支管上均设置有空气调节阀和空气流量计。
7.根据权利要求6所述的系统,其特征在于,每段所述A/O单元的缺氧区内均设置有搅拌推流装置。
8.根据权利要求6所述的系统,其特征在于,每段所述A/O单元的缺氧区均设置有碳源投加点。
9.根据权利要求8所述的系统,其特征在于,每段所述A/O单元的缺氧区内均设置有溶解氧浓度计、污泥浓度计和氧化还原电位仪。
10.一种如权利要求1~9任一项所述的系统在污水处理领域的应用。
发明内容
本发明的目的在于提供一种分段进水多级A/O耦合改良UCT除磷脱氮系统、应用,其能够提高传统多级A/O工艺的除磷效果和总氮去除率。
本发明的实施例通过以下方式实现:
第一方面,本发明提供一种分段进水多级A/O耦合改良UCT除磷脱氮系统,包括依次设置的厌氧区、多级A/O单元和二沉池。
每段A/O单元包括依次串联的缺氧区和好氧区,因此,当多级A/O单元依次组合时,就形成了缺氧区和好氧区依次交替设置的结构。最后一段A/O单元的好氧区与二沉池连通。
厌氧区的进水管与进水总管连通,用于通入待处理污水,厌氧区的出水管道分别与每段A/O单元的缺氧区的进水管连通。因此形成了待处理污水先进入厌氧区处理,充分释磷,然后再从厌氧区流出分别进入每段A/O单元的缺氧区内,进行脱氮。由于前端释磷充分,因此之后在多级A/O单元的好氧区可以充分吸磷,提升了系统除磷效果。
二沉池的出泥口通过污泥回流管道与第一段A/O单元的缺氧区连通,由于外回流的污泥是来源于最后一段A/O单元的好氧区,其中含有较多的硝态氮,若直接回流至厌氧区会破坏厌氧区厌氧环境,降低除磷效果,因此,本发明先将外回流的污泥通入第一段A/O单元的缺氧区,在缺氧区内先脱除硝态氮,然后通过第一段A/O单元的缺氧区与厌氧区连通的第一内回流管道,将处理后的外回流污泥回流至厌氧区内,保证了厌氧区厌氧环境,进一步提升了除磷效果。
第二方面,本发明提供一种如前述实施方式任一项的系统在污水处理领域的应用。
本发明实施例的有益效果是:
本发明提供了一种分段进水多级A/O耦合改良UCT除磷脱氮系统,通过在多级A/O单元之前设置厌氧区,进水先经过厌氧过程,然后进入下游的多级A/O单元,克服了传统多级A/O工艺仅有部分污水经过厌氧区释磷的问题,通过以上改进,本系统保留了多级A/O工艺优良的脱氮性能的同时进一步提高了其除磷效果。此外,本发明在宏观上将上游的厌氧单元与下游的多级A/O单元结合形成了改良UCT除磷脱氮工艺。通过将二沉池中的污泥回流到第一段A/O单元的缺氧区,再从第一段A/O单元缺氧区回流到厌氧区,有效消除了回流污泥中的硝态氮。通过以上设计,本发明结合了多级A/O工艺和改良UCT工艺的优点,进一步提升了脱氮除磷效果。
(发明人:权国卿;董洋;王舜和;宋杰)






