公布日:2024.04.05
申请日:2023.12.26
分类号:C02F1/44(2023.01)I;C02F1/00(2023.01)I;C02F1/34(2023.01)I
摘要
本发明公开了基于差速转动式平板陶瓷膜组件的污水处理装置,涉及污水处理成套设备技术领域,该基于差速转动式平板陶瓷膜组件的污水处理装置,包括污水进水口、预处理污水桶、连通管、平板陶瓷膜,所述的预处理装置系统包括排泥装置和去污装置,所述污水进水口位于预处理污水桶的中部一百五十毫米处,所述预处理污水桶排泥口位于预处理污水桶内侧壁距离桶底五十毫米位置上。本发明通过本专利提出了叠套环机构,净水桶可以通过叠加的方法可以加大净水桶的体积,挡泥板和平板陶瓷膜通过与中心轴组可以实现多个的组装,来提高净水速率,通过设计组装性好的结构,不仅可以更好的适应不同的工况,还可以提高净水的效率。

权利要求书
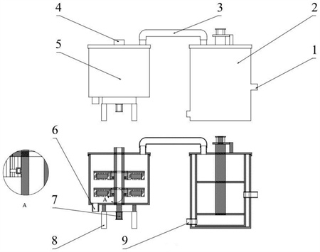
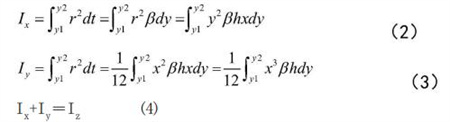
1.基于差速转动式平板陶瓷膜组件的污水处理装置,包括预处理装置系统、污水进水口(1)、预处理污水桶(2)、连通管(3)、预处理污水桶排泥口(9)、平板陶瓷膜(10),其特征在于,所述的预处理装置系统包括排泥装置、去污装置和净水装置,其中,所述污水进水口(1)位于预处理污水桶(2)的中部一百五十毫米处,所述预处理污水桶排泥口(9)位于预处理污水桶(2)内侧壁距离桶底五十毫米位置上,所述去污装置包括挤压板(21),所述挤压板(21)位于污水进水口(1)的上方,所述排泥装置包括震动筛(22),所述震动筛(22)位于预处理污水桶(2)内侧壁距离桶底高三百五十毫米处,所述震动筛(22)震动距离为二十毫米;所述的净水装置的包括净水出水口(4)、净水桶(5)和挡泥板(51),所述挡泥板(51)后端部固定安装有后端固定装置(52)、所述挡泥板(51)前端部固定安装有前端固定装置(53)、整流器(54)、净水桶排泥口(6)、电机驱动装置(7)和净水桶支撑装置(8);所述净水出水口(4)位于净水桶(5)的轴心位置,所述排泥口(6)位于净水桶(5)的底部位置。
2.如权利要求1所述的基于差速转动式平板陶瓷膜组件的污水处理装置,其特征在于:所述震动筛下方设有至少两组弹簧装置,面光所述弹簧装置位于距离振动筛(22)的十毫米的位置上,所述挤压板(21)上设有螺纹槽。
3.如权利要求2所述的基于差速转动式平板陶瓷膜组件的污水处理装置,其特征在于:所述污水进水口(1)的内侧壁上下两个端部均固定焊接有至少两个阻泥板(11),每个所述阻泥板(11)为倾斜四十五度角设置,上下两个端部的所述阻泥板(11)之间间隔为四十毫米。
4.如权利要求3所述的基于差速转动式平板陶瓷膜组件的污水处理装置,其特征在于:所述挡泥板(51)的下端部固定安装有至少两个平板陶瓷膜(10)。
5.如权利要求4所述的基于差速转动式平板陶瓷膜组件的污水处理装置,其特征在于:所述整流器(54)上设置有整流器进水口(541),所述净水桶(5)的内侧壁固定安装有净水桶中心轴(12),所述净水桶中心轴(12)的圆周端部固定安装有差速齿轮(55)。
6.如权利要求5所述的基于差速转动式平板陶瓷膜组件的污水处理装置,其特征在于:所述平板陶瓷膜(10)上设有平板陶瓷膜的出水口(101),所述预处理污水桶(2)的内侧壁固定安装有中心轴(23),所述中心轴(23)的两侧固定安装有挤压连杆(24)。
发明内容
(一)解决的技术问题
针对现有技术的不足,本发明提供了基于差速转动式平板陶瓷膜组件的污水处理装置,解决现有的平板陶瓷膜组件需要额外的曝气系统、在处理污水时易堵塞平板陶瓷膜以及平板陶瓷膜组件的组装性差等问题。
(二)技术方案
为实现以上目的,本发明通过以下技术方案予以实现:
基于差速转动式平板陶瓷膜组件的污水处理装置及方法,其特征是,主要包括预处理装置、净水装置、动力驱动装置、支撑架等机构;
所述的预处理装置系统包括,污水的进水口,排泥装置,去污装置,污水进水口位于预处理污水桶的中部一百五十毫米的位置,方便淤泥的快速降落;预处理污水桶的排泥口距离桶底五十毫米位置上,方便拆卸阀门等其他零件和淤泥的快速的排出。去污装置中的挤压板位于污水进水口上方,活动距离为零到八百五十毫米,运动过程中最高位置可以紧贴预处理污水桶的顶端,最低位置能到达污水进水口的位置。排泥装置的震动筛位于距桶底高三百五十毫米的位置并且可以实现上下震动距离为二十毫米;
所述的净水装置的包括,净水出水口、净水桶、挡泥板、后端固定装置、前端固定装置、整流器、净水桶排泥口、电机驱动装置、净水桶支撑装置;净水口的出水口位于净水桶的轴心位置,提供支持平板陶瓷膜的作用和导流的作用。排泥口位于净水桶底部位置,方便快速排泥;
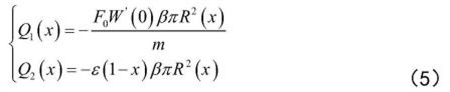
优选地,平板陶瓷膜的整体的转动惯量的基本形式为:

式中,I为刚体的转动惯量;Ix,Iy,Iz,为刚体对x轴,y轴,z轴的转动惯量矩阵;Ixy,Ixz,Iyz为惯量积;α,τ,γ分别为转轴相对于坐标轴的方向余弦。
由于平板陶瓷膜形状规则的匀质刚体,其转动惯量可直接用转动惯量公式计算得到,因此转动惯量计算公式为:

其中式中,β为平板陶瓷膜材料的密度;h为填充部分材料的厚度;x,y为平板陶瓷膜的坐标;y1,y2为平板陶瓷膜的首部和尾部坐标;Ix,Iy,Iz,为刚体对x轴,y轴,z轴的转动惯量矩阵;
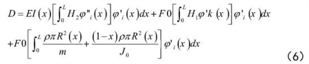
水动力压力方向垂直于圆盘方向,出现了惯性力的分布载荷Q1(x)和Q2(x),其中Q1(x)为对应于横向加速度的分布载荷;Q2(x)为对应于使杆相对于质心旋转的分布载荷.故有

其中式中,W'(0)为沿轴在前端平面处的弹性线的斜率,ε为杆相对于质心旋转的角加速度;F0是沿弹性线切线方向的力;β为平板陶瓷膜材料的密度;R(x)为对应x坐标处的平板陶瓷膜的长度。
建立平板陶瓷膜失效方程:

式中。L为平板陶瓷膜的长度;J0为平板陶瓷膜相对于质心的转动惯量;EI(x)为抗弯刚度;为平板陶瓷膜设置的边界条件;F0是沿弹性线切线方向的力;

优选地,震动筛下方有四组弹簧装置,距离振动筛的十毫米的位置上,主轴上具有凸轮装置,旋转主轴即可带动震动筛的上下往复运动。挤压板与主轴通过螺纹进行连接配合在一起,通过主轴的旋转带动挤压板的上下移动,实现去除淤泥和挤压污水进入净水桶的作用;
优选地,污水进水口中的阻泥板以四十五度的角度被焊接在管道内,上下的阻泥板之间的中间通道直径为四十毫米,当进水方向从左至右,整个进水口的内部会发生逆时针方向进行旋转,阻挡部分淤泥进入预处理污水桶中,减少后期的排泥量;
优选地,净水桶的挡泥板下方通过固定五十片的平板陶瓷膜,挡泥板既起到阻挡一部分淤泥直接落到平板陶瓷膜表面的作用,又起到支撑平板陶瓷膜的作用。挡泥板中部通过整流器固定在中心轴上,由电机的旋转带动平板陶瓷膜的转动,进而起到平板陶瓷膜与水进行相对运动;
优选地,挡泥板可以通过与中心轴以上下堆放的方式,进行增加挡泥板的数量从而来增加平板陶瓷膜的数量,进而增加污水的净水量,最终提高处理污水的效率;
优选地,净水桶可以通过叠套的方式并在连接处加入密封圈,进行净水桶体积的扩充。挡泥板和平板陶瓷膜通过整流器中心轴的配合,可以实现陶瓷膜的数量的增加。一个净水桶会配备一个挡泥板和五十片平板陶瓷膜;
优选地,整流器中间有一个轴承,负责围绕中心轴做圆周运动。圆周上有五十个整流口负责与平板陶瓷膜的出水口相连接;
优选地,支撑装置是由四个圆柱钢组成,通过与净水桶底部的圆孔进行相互配合,实现对净水桶的固定。
(三)有益效果
1、针对平板陶瓷膜需要曝气和易堵塞问题,本专利通过设置污水预处理环节和净水环节,同时在污水预处理环节增加挤压式震动筛机构,净水环节增加差速转动式机构;挤压式震动筛机构能快速将污水中的淤泥快速沉落在桶底,差速转动式机构使平板陶瓷膜转动与水做相对转动,最终实现清除平板陶瓷膜表面的残留物。通过设置污水预处理环节,从而降低净水桶污水的含淤量,最终降低了平板陶瓷膜堵塞的风险。
2、针对组装性差的问题,本专利提出了叠套环机构,净水桶可以通过叠加的方法可以加大净水桶的体积,挡泥板和平板陶瓷膜通过与中心轴组可以实现多个的组装,来提高净水速率。通过设计组装性好的结构,不仅可以更好的适应不同的工况,还可以提高净水的效率。
(发明人:孙进;雷震霆;曹超;马昊天;张林宇)






