水体氟污染是全世界广泛关注的环境问题。据统计,全球有近2亿人长期饮用氟化物超标的地下水。氟摄入过量会引起氟斑牙、骨质疏松、脆性骨骼等疾病,对人体健康造成严重危害。世界卫生组织(WHO)要求饮用水中氟化物的质量浓度不高于1.5mg·L−1,而我国则制定了更为严格的饮用水氟化物标准(≤1.0mg·L−1)。工业生产是水体氟污染的重要来源之一,其中金属冶炼、化肥、电镀、半导体等行业在生产过程中会产生大量的酸性含氟废水,该类废水的稳定达标处理是相关行业可持续发展的重要保障。
当前常用的污水除氟技术包括:沉淀法、膜分离法、离子交换法、电絮凝法以及吸附法等。其中吸附法简单高效、运行稳定,常用于含氟废水的深度处理。近年来,纳米金属氧化物(nanosizedmetaloxides,NMOs)因比表面积大、活性位点多、吸附速率快、吸附容量大等特点,成为吸附除氟领域的研究热点,其中最具代表性的有Al、Mg、La、Ce和Zr等金属氧化物吸附材料。NMOs能够通过表面羟基的配体交换作用与氟离子形成稳定的M?F内核配位结构,实现污水中氟的选择性吸附。然而,NMOs在酸性溶液中缺乏稳定性,溶解的金属离子将导致二次污染,这极大限制了NMOs在复杂工业废水处理中的适用性。
近期的研究表明,磷酸铈(ceriumphosphate,CeP)对重金属离子表现出良好的吸附性能,且在酸性或有机配体共存的溶液中具有优异的化学稳定性。氧化铈能通过羟基配体交换、配位络合等作用实现氟的高效吸附,而CeP与氧化铈具有类似的Ce?O结构,由此推测CeP也能拥有良好的除氟性能。目前,环境领域有关CeP的研究多集中于阳离子污染物的吸附去除,对阴离子吸附行为的研究较少。因此,本研究拟采用液相沉淀法制备CeP纳米吸附剂,考察其对酸性废水中氟的吸附特性,探究其理化性质及除氟机制,以期为酸性含氟废水的深度处理提供技术支撑。
1、材料与方法
1.1 材料与试剂
实验所用硝酸铈铵(Ce(NH4)2(NO3)6)、磷酸、氟化钠、无水乙醇、冰醋酸、氯化钠、柠檬酸钠、硫酸钠、氢氧化钠、硝酸钠均为分析纯,硝酸铈铵购自Sigma-Aldrich公司,其余试剂均购自国药集团有限公司,实验用水为去离子水。离子交换法是污水除氟最常用的技术之一,而水合氧化铈(hydratedceriumoxides,HCO)是目前研究较多的Ce基吸附材料,因此本研究选择阴离子交换树脂D201(浙江争光实业股份有限公司)和HCO(自制)开展对比实验。
1.2 材料制备
CeP的制备:将5g硝酸铈铵溶解于50mL10%乙醇的去离子水中,随后将其与200mL12moL·L−1的磷酸溶液混合,反应生成淡黄色的CeP凝胶;室温条件下继续搅拌反应12h,离心去除上清液得到CeP沉淀,用去离子水冲洗沉淀直到出水pH达中性,然后将其置于105℃的鼓风干燥箱内干燥12h,研磨后制得CeP纳米吸附剂。
HCO的制备:将5g硝酸铈铵溶解于50mL含10%乙醇的去离子水中,向溶液中滴加1mol·L−1的氢氧化钠溶液至pH达12,继续搅拌反应12h,离心去除上清液得到Ce(OH)4沉淀,用去离子水冲洗沉淀直到出水pH达中性,105℃烘干12h后研磨得到HCO纳米吸附剂。
1.3 实验方法
实验中吸附剂用量均为0.50g·L−1,反应在含有100mL溶液的锥形瓶中进行,无特殊说明溶液初始氟质量浓度均为10mg·L−1,pH=3.0,吸附反应温度为298K,使用浓度为1mol·L−1的HCl或NaOH调节溶液pH。分别调节不同锥形瓶中溶液的pH至1~12,于298K条件下恒温振荡24h,考察pH对CeP除氟性能的影响。分别加入不同浓度的共存离子(SO42−、Cl−、NO3−和HCO3−),考察CeP对氟的选择性吸附性能。吸附动力学实验中,将0.5gCeP放入含1000mL氟溶液的三口烧瓶中,每隔一段时间取5mL溶液测定氟离子质量浓度;取吸附平衡后的CeP样品进行FT-IR和XPS分析,研究其吸附机理。等温吸附实验分别在温度为298、303和308K的条件下开展,并控制溶液氟的初始质量浓度为10~100mg·L−1。采用1mol·L−1的NaOH溶液对吸附饱和的CeP进行脱附,考察材料的再生和重复利用性能。
1.4 分析方法
氟浓度使用氟离子选择电极(PXS-270,INESA,上海仪电)测量;pH稳定性实验中Ce浓度采用ICP-MS(ICP-Optima7300DV,PerkinElmer,USA)测定。采用Nova-3000氮气吸附仪(Quantachrome,USA)测定CeP的比表面积;CeP的颗粒形貌通过扫描电镜SEM(S-4800II,17Hitachi,Japan)和透射电子显微镜TEM(Tecnai12,Philips,Netherlands)测定;使用多晶X射线衍射仪XRD(D8Advance,Bruker-AXS,Germany)测定CeP的晶体形态,采用傅里叶变换红外光谱FT-IR(Cary5000,Varia,USA)分析CeP吸附前后表面化学基团的变化,利用X射线光电子能谱(ESCALAB250Xi,ThermoFisher,USA)分析CeP吸附前后的能谱变化。
2、结果和讨论
2.1 结构表征
制得的CeP纳米吸附剂比表面积为95.48m2·g−1,且孔径在微孔和中孔区域呈现双峰分布(图1(a))。由SEM(图1(b))和TEM(图1(c))表征结果可知,CeP以不规则纳米片的形式存在,粒径约为50~100nm。CeP的XRD衍射图(图1(d))中没有出现明显的衍射峰,说明CeP主要为无定形形态。样品Ce3d的XPS高分辨能谱(图1(e))可分解为10个特征峰,分别为Ce(IV)和Ce(III),表明制得的CeP中铈元素以Ce(IV)和Ce(III)的混合价态存在,这可能与制备过程中CeP表面产生了部分氧空位有关。

图1 CeP的表征图
为进一步考察CeP在酸碱废水中长期使用的稳定性,本研究测定了CeP在溶液pH=1~12条件下Ce的溶出率,并与HCO进行对比分析。由图2可知,当溶液pH≥5.0时,CeP与HCO均未检测到有Ce溶出;当pH=3.0时,CeP仍未检测到Ce的溶出,而HCO中Ce溶出率上升至0.8%;进一步降低pH到1.0时,CeP的Ce溶出率仅为3.14%,而HCO的Ce溶出率则高达15.23%。上述实验结果表明,CeP在酸性溶液中的稳定性明显优于HCO,可在酸性废水处理中长期稳定使用。

图2 CeP和HCO在不同pH条件下Ce的溶出率
2.2 pH影响
溶液pH不仅会改变CeP的荷电状态,还会影响氟化物在溶液中的赋存形态,从而对CeP的除氟性能产生显著影响。由图3(a)可知,CeP在酸性条件下(pH≤4)具有较好的除氟性能,当pH=2.5时,其除氟吸附量达到最大(14.67mg·g−1)。随着溶液pH的升高,CeP的除氟性能开始急剧下降,当pH>8.0时其吸附量接近于零。上述现象与不同溶液pH条件下CeP的荷电状态以及氟化物的赋存形态有关(图3(b))。具体而言,酸性条件下CeP因质子化而带正电,这有利于CeP对负电性氟离子的吸附(式(1)~(2));随着溶液pH升高至4以上,CeP对氟的吸附性能开始快速下降,这主要是由于CeP去质子化后表面带负电,对F−产生静电排斥效应。当溶液pH进一步升高至碱性范围,CeP对氟的吸附量降至接近于零。这主要由于pH升高后溶液中OH−浓度增加,与F−竞争CeP的表面吸附位点(式(3))。值得注意的是,当pH低于3.18时溶液中氟主要以HF的形式存在,而此时CeP对氟仍然具有较高的吸附容量,说明CeP和HF之间存在较强的内配位络合作用(式(4))。综合考虑材料的稳定性和除氟性能,后续实验均在pH=3.0的条件下开展。

图3 溶液pH对CeP除氟的影响和HF的pKa

2.3 竞争离子影响实验
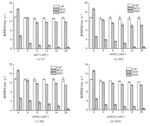
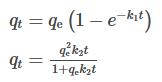
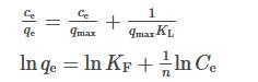
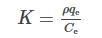
真实含氟废水水质较为复杂,除氟化物外一般还含有一定量的共存离子。吸附过程中共存离子会与氟竞争吸附位点,从而影响吸附剂的除氟性能。本研究选择废水中普遍存在的SO42−、Cl−、NO3−和HCO3−作为代表性离子,考察不同浓度共存离子对CeP除氟性能的影响,并选择HCO和D201进行对比研究。如图4所示,CeP的除氟性能几乎不受共存离子的影响。表明CeP对氟的吸附具有良好的选择性,这是由于氟离子可以提供共用电子对与CeP形成较强的内配位络合物,从而实现对氟的特异性吸附。当HCO3−与F−摩尔比大于16后CeP除氟性能出现小幅下降,这与HCO3−具有一定的碱性缓冲作用有关。HCO的除氟性能在共存离子与氟的摩尔比升高至4时出现一定程度的下降,继续增加共存离子浓度HCO的除氟性能保持基本稳定,说明HCO对氟的吸附也具有一定的选择性。与CeP和HCO形成鲜明对比的是,D201的除氟性能随着共存离子浓度的升高显著下降。这是由于D201仅能通过静电吸引或离子交换作用除氟,而高浓度共存离子会对氟的吸附产生强烈的竞争。

图4 共存离子对CeP、HCO和D201除氟性能的影响
2.4 吸附动力学
吸附动力学实验结果如图5所示。可见,CeP在前10min对氟的吸附速率较快,吸附量呈线性上升,随后吸附速率逐渐下降并在90min达到吸附平衡。前10min较快的吸附速度是由于CeP具有较高的比表面积,在溶液中能够暴露氟的吸附的活性位点;当CeP表面的活性位点被氟占据后,溶液中游离态的氟必须扩散到CeP内部才能够被吸附,导致10min后吸附速率逐渐减缓直至达到吸附平衡。分别采用伪一阶动力学(式(5))和伪二阶动力学(式(6))模型对吸附数据进行拟合,结果如表1所示。可以看出,伪二阶动力学模型能更好的拟合实验数据,且拟合所得平衡吸附量更接近实验结果。

图5 CeP对氟的吸附动力学


式中:qt和qe分别为t时刻和平衡时的氟吸附量,mg·g−1;k1为伪一阶动力学反应速率常数,min−1;k2为伪二阶动力学反应速率常数,g·(mg·min)-1。
2.5 吸附热力学
温度也是影响吸附性能的重要因素之一。本研究分别考察了298、303和308K下CeP的除氟性能,结果如图6所示。分别采用Langmuir(式(7))和Freundlich(式(8))等温吸附模型对实验数据进行拟合,拟合结果如表2所示。结果表明,CeP对氟的等温吸附过程更符合Langmuir模型,所得R2值均高于0.99,且在298K条件下拟合所得最大吸附量为49.72mg·g−1。表3对比了不同吸附材料对氟的吸附性能,可以看出CeP的除氟性能明显优于其他材料。

图6 CeP对氟的吸附等温线



式中:Ce为吸附平衡时氟化物的质量浓度,mg·L−1;qe为平衡吸附量,mg·g−1;qmax为最大吸附量,mg·g−1;KL为Langmuir模型的平衡常数,L·mg−1;KF为Freundlich模型的平衡常数,mg·g−1;1/n为异质性因子。
为进一步阐明CeP对氟的吸附热力学机制,根据式(9)和式(10)计算CeP吸附氟过程中的自由能变化(ΔG)、焓变(ΔH)和熵变(ΔS),热力学平衡常数可根据式(11)计算。

式中:R为气体常数,为8.314J·(mol·K)−1;T为温度,K;K为热力学平衡常数。

式中:ρ为水的密度,为1000g·L−1。
假设在所研究的范围内温度恒定,且忽略∆H随温度变化的影响。CeP吸附氟的热力学计算结果如表4所示。吸附过程中ΔG<0表明吸附过程为自发性的;ΔH<0表示吸附过程是放热反应,低温有利于CeP对氟的吸附。此外,焓变的负值较大,说明焓变是自发反应的主要原因,其对吸附过程的影响远远大于熵变的影响。

2.6 循环再生实验
吸附-再生循环实验有助于考察CeP在含氟废水处理中的实际应用潜力。由pH影响实验可知,CeP在碱性条件下对氟几乎完全丧失吸附能力,因此,本研究选择1mol·L−1的NaOH为脱附剂对吸附饱和的CeP进行脱附再生,并在脱附后依次采用5%的NaCl溶液和去离子水对CeP进行漂洗,以消除残留NaOH对下一批次吸附实验的影响。如图7所示,经过连续5次吸附-再生循环后,CeP仍可保留初始吸附量的90%。表明CeP具有良好的再生性能和稳定性,可循环用于含氟废水的处理。

图7 CeP再生次数对除氟效果的影响
2.7 吸附机理
1)FTIR光谱分析。CeP吸附氟前后的红外光谱如图8所示,3150~3400cm−1处的吸收带以及1630cm−1处的吸收峰归属于CeP结合水中O—H键的伸缩与弯曲振动峰;1016cm−1处的强吸收峰归因于PO43-中P—O键的对称伸缩振动;在1402cm−1处的特征吸收峰对应Ce—OH的弯曲振动峰,吸附后Ce—OH吸收峰强度显著降低,这是由于CeP表面羟基被吸附的氟取代所致。吸附前CeP在535cm−1处的吸收峰主要源自Ce—O的伸缩振动,吸附后吸收峰强度明显降低并发生一定程度的蓝移(523cm−1),同时在605cm−1处出现一个新的吸收峰,说明可能形成了Ce—F配合物。综上所述,CeP对氟的吸附机制包括表面羟基与氟离子的配体交换作用,这种吸附作用符合路易斯酸碱配位理论(金属配位),相比于单纯的离子交换或者静电吸附,配体交换存在较强的选择性。通过XPS能谱的表征分析,可以进一步阐明其吸附机制。

图8 CeP吸附氟前后的FTIR光谱
2)XPS能谱分析。CeP吸附氟前后的XPS能谱如图9所示,吸附后在683.4eV处出现了1个新的F1s峰(图9(a)~(b)),表明氟已被CeP成功吸附;该峰与氟化钠的标准F1s峰(684.9eV)相比向低结合能方向偏移了1.5eV,表明CeP和氟之间存在较强的吸附亲和力。吸附前,O1s能谱可分解为532.5eV(结合水)、530.8eV(Ce—OH)和530.2eV(Ce—O/P—O)3个特征峰,吸附后Ce—OH的峰面积占比由62.5%下降到45.7%(图9(c)~(d)),表明CeP的表面羟基(—OH)通过配体交换被氟离子取代,这与FT-IR分析结果一致。

图9 CeP吸附氟前后的XPS能谱
3、结论
1)通过液相沉淀法制备纳米磷酸铈吸附剂(CeP),其比表面积为95.48m2·g−1,主要以50~100nm纳米片的形式存在,在酸碱溶液中具有良好的化学稳定性。
2)溶液pH对CeP的除氟性能有较大的影响,当pH=2.5时,CeP的吸附量达到最大;CeP对氟的吸附属于自发放热反应,当温度为298K时CeP的最大拟合吸附量可达49.72mg·g−1。
3)CeP的除氟机制主要包括静电吸引、配体交换和内配位络合等作用,其中内配位络合具有较强的特异性,有助于CeP在高浓度竞争离子存在下对氟的选择性吸附。
4)采用NaOH溶液可以实现吸附饱和CeP的高效再生,再生后其除氟性能没有明显下降,在酸性含氟废水的深度处理领域具有良好的应用潜力。(来源:扬州大学环境科学与工程学院,江苏启创环境科技股份有限公司)



