公布日:2024.04.16
申请日:2023.12.14
分类号:B66B31/00(2006.01)I;B66B29/00(2006.01)I
摘要
本发明提供了一种用于电扶梯清洗及污水处理的一体化控制系统,涉及清洗技术领域,包括:清洗方案获取模块,用于利用固定摄像机拍摄每个拆卸梯级的若干张当下图像,得到同个拆卸梯级的每张图像的污渍分布以及每个分布位置点的污渍清洗系数,进而得到对应拆卸梯级的清洗方案;污水处理模块,用于将所述清洗方案输入到方案分析模型中确定梯级清洗处理装置的第一处理参数,并对清洗后的污水进行检验确定含油废水处理装置第二处理参数;方法匹配模块,用于基于第二处理参数向相应废水处理单元匹配污水处理方法;污水验证模块,用于获取按照所述处理方法处理后的待排放污水,确定是否可以排放。保证卫生的清洁,提高污水处理效率。
权利要求书
1.一种用于电扶梯清洗及污水处理的一体化控制系统,其特征在于,包括:清洗方案获取模块,用于对电梯中的每个梯级进行拆卸,并利用固定摄像机拍摄每个拆卸梯级的若干张当下图像,得到同个拆卸梯级的每张图像的污渍分布以及每个分布位置点的污渍清洗系数,进而得到对应拆卸梯级的清洗方案;污水处理模块,用于将所述清洗方案输入到方案分析模型中确定梯级清洗处理装置中每个清洗处理单元的第一处理参数,并对清洗后的污水进行检验确定含油废水处理装置中每个废水处理单元的第二处理参数;方法匹配模块,用于基于第二处理参数向相应废水处理单元匹配污水处理方法;污水验证模块,用于获取按照所述处理方法处理后的待排放污水,确定是否可以排放,并对不可以排放的待排放污水再次进行处理。
2.根据权利要求1所述的系统,其特征在于,清洗方案获取模块,包括:图像获取单元:基于所述固定摄像机拍摄每个拆卸梯级在不同方位下的当下图像;分布确定单元:对每张当下图像进行灰度转化获取灰度图像,并通过对所述灰度图像进行像素分析得到第一污渍分布;将不同方位下的当下图像进行融合拼接,得到融合图像,并确定所述融合图像的第二污渍分布;根据所述第一污渍分布以及第二污渍分布,分析得到对应拆卸梯级的最终污渍分布;系数确定单元,用于根据所述最终污渍分布、每个污渍位置点的像素信息以及每个污渍位置点所处连通污渍区域的位置坐标,确定对应拆卸梯级的污渍清洗系数;向量构建单元,用于按照每个污渍位置点的污渍清洗系数以及每个污渍位置点的污渍类型,构建得到对应拆卸梯级的梯级污渍向量;方案获取单元,用于将所述梯级污渍向量输入到向量分析模型得到对应梯级的清洗方案。
3.根据权利要求2所述的系统,其特征在于,所述系数确定单元,包括:比较子单元,用于统计每个污渍位置点所处连通污渍区域中的污渍位置点的总个数lN,并与预设污渍个数Dy进行比较;当IN≥yN时,确定第一调节系数A1;

当IN<yN时,确定第二调节系数A2;

ln表示对数函数符号;μ1为基于污渍分布的转换系数;D02为所处连通污渍区域中所有污渍位置点的平均污渍像素值;Dy为预设污渍像素值;σ42为基于所处连通污渍区域中所有污渍位置点的污渍像素值方差;系数确定子单元,用于基于第一调节系数A1、第二调节系数A2以及每个污渍位置点的像素信息以及每个污渍位置点所处连通污渍区域的位置坐标,计算对应污渍位置点的清洗系数X0。
4.根据权利要求3所述的系统,其特征在于,系数确定子单元,用于:

其中,r01为对应污渍像素点的像素信息所对应的污渍转化系数;w01为对应污渍像素点所处连通污渍区域的位置坐标的坐标权重。
5.根据权利要求1所述的系统,其特征在于,方法匹配模块,包括:检测物质确定单元:基于梯级清洗处理装置与含油废水处理装置中存在的清洗介质以及处理介质,由介质-物质检测表获取得到需要检测的待检测物质;检测方法获取单元:基于全部待检测物质,得到相对应的检测方法;模型构建单元:基于全部检测方法,构建污水检测模型。
6.根据权利要求5所述的系统,其特征在于,方法匹配模块,还包括:预检单元:将获取的第二处理参数输入至污水检测模型,得到相对应的预检报告;匹配单元:基于所述预检报告在处理方法数据库中匹配相对应的处理方法。
7.根据权利要求1所述的系统,其特征在于,污水验证模块,还包括:物质获取单元:获取不可以排放的待排放污水的检测报告,得到不符合排放标准的待检测物质;计算单元:基于每种待检测物质在历史处理日志中不符合排放标准的第一个数以及相对应的第一含量,计算每种待检测物质的处理有效指数;优化单元:将每种待检测物质的处理有效指数与对应预设有效指数进行比较,若小于,则对相对应的待检测物质相对应的处理方法进行优化。
8.根据权利要求7所述的系统,其特征在于,计算单元,包括:

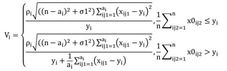
其中,Vi表示每i待检测物质的处理有效指数;n表示历史处理日志中全部污水处理的次数;ai表示第i种待检测物质在历史处理日志中全部污水处理中不符合排放标准的第一个数;xij1表示第i种待检测物质在历史处理日志中全部污水处理中第j1次不符合排放标准的第一含量;yi表示第i种待检测物质符合排放标准时的含量阈值;ρi表示第i种待检测物质的有效权重;x0ij2表示第i种待检测物质在历史处理日志中的第j2次污水处理中的排放含量;σ12表示第i种待检测物质所涉及到的所有xij1的方差。
发明内容
本发明提供一种用于电扶梯清洗及污水处理的一体化控制系统,用以通过固定摄像机对每个拆卸梯级进行不同方位的图像拍摄,来确定对应梯级的污渍分布,进而按照与其对应的清洗方案实现对梯级的针对性以及有效性的清洗,且通过后续对污水的分析及处理,保证清洗电扶梯后的污水排放安全。
本发明提供一种用于电扶梯清洗及污水处理的一体化控制系统,包括:
清洗方案获取模块,用于对电梯中的每个梯级进行拆卸,并利用固定摄像机拍摄每个拆卸梯级的若干张当下图像,得到同个拆卸梯级的每张图像的污渍分布以及每个分布位置点的污渍清洗系数,进而得到对应拆卸梯级的清洗方案;
污水处理模块,用于将所述清洗方案输入到方案分析模型中确定梯级清洗处理装置中每个清洗处理单元的第一处理参数,并对清洗后的污水进行检验确定含油废水处理装置中每个废水处理单元的第二处理参数;
方法匹配模块,用于基于第二处理参数向相应废水处理单元匹配污水处理方法;
污水验证模块,用于获取按照所述处理方法处理后的待排放污水,确定是否可以排放,并对不可以排放的待排放污水再次进行处理。
优选的,清洗方案获取模块,包括:
图像获取单元:基于所述固定摄像机拍摄每个拆卸梯级在不同方位下的当下图像;
分布确定单元:对每张当下图像进行灰度转化获取灰度图像,并通过对所述灰度图像进行像素分析得到第一污渍分布;
将不同方位下的当下图像进行融合拼接,得到融合图像,并确定所述融合图像的第二污渍分布;
根据所述第一污渍分布以及第二污渍分布,分析得到对应拆卸梯级的最终污渍分布;
系数确定单元,用于根据所述最终污渍分布、每个污渍位置点的像素信息以及每个污渍位置点所处连通污渍区域的位置坐标,确定对应拆卸梯级的污渍清洗系数;
向量构建单元,用于按照每个污渍位置点的污渍清洗系数以及每个污渍位置点的污渍类型,构建得到对应拆卸梯级的梯级污渍向量;
方案获取单元,用于将所述梯级污渍向量输入到向量分析模型得到对应梯级的清洗方案。
优选的,所述系数确定单元,包括:
比较子单元,用于统计每个污渍位置点所处连通污渍区域中的污渍位置点的总个数lN,并与预设污渍个数Dy进行比较;
当IN≥yN时,确定第一调节系数A1;

当IN<yN时,确定第二调节系数A2;

ln表示对数函数符号;μ1为基于污渍分布的转换系数;D02为所处连通污渍区域中所有污渍位置点的平均污渍像素值;Dy为预设污渍像素值;σ42为基于所处连通污渍区域中所有污渍位置点的污渍像素值方差;
系数确定子单元,用于基于第一调节系数A1、第二调节系数A2以及每个污渍位置点的像素信息以及每个污渍位置点所处连通污渍区域的位置坐标,计算对应污渍位置点的清洗系数X0。
优选的,系数确定子单元,用于:

其中,r01为对应污渍像素点的像素信息所对应的污渍转化系数;w01为对应污渍像素点所处连通污渍区域的位置坐标的坐标权重。
优选的,方法匹配模块,包括:
检测物质确定单元:基于梯级清洗处理装置与含油废水处理装置中存在的清洗介质以及处理介质,由介质-物质检测表获取得到需要检测的待检测物质;
检测方法获取单元:基于全部待检测物质,得到相对应的检测方法;
模型构建单元:基于全部检测方法,构建污水检测模型。
优选的,方法匹配模块,还包括:
预检单元:将获取的第二处理参数输入至污水检测模型,得到相对应的预检报告;
匹配单元:基于所述预检报告在处理方法数据库中匹配相对应的处理方法。
优选的,污水验证模块,还包括:
物质获取单元:获取不可以排放的待排放污水的检测报告,得到不符合排放标准的待检测物质;
计算单元:基于每种待检测物质在历史处理日志中不符合排放标准的第一个数以及相对应的第一含量,计算每种待检测物质的处理有效指数;
优化单元:将每种待检测物质的处理有效指数与对应预设有效指数进行比较,若小于,则对相对应的待检测物质相对应的处理方法进行优化。
优选的,计算单元,包括:
其中,Vi表示每i待检测物质的处理有效指数;n表示历史处理日志中全部污水处理的次数;ai表示第i种待检测物质在历史处理日志中全部污水处理中不符合排放标准的第一个数;xij1表示第i种待检测物质在历史处理日志中全部污水处理中第j1次不符合排放标准的第一含量;yi表示第i种待检测物质符合排放标准时的含量阈值;ρi表示第i种待检测物质的有效权重;x0ij2表示第i种待检测物质在历史处理日志中的第j2次污水处理中的排放含量;σ12表示第i种待检测物质所涉及到的所有xij1的方差。
与现有技术相比,本申请的有益效果如下:
1、通过固定摄像机对每个拆卸梯级进行不同方位的图像拍摄,来确定对应梯级的污渍分布,进而按照与其对应的清洗方案实现对梯级的针对性以及有效性的清洗,且通过后续对污水的分析及处理,保证清洗电扶梯后的污水排放安全。
2、通过分析每种待检测物质在历史处理日志中不符合排放标准的第一个数以及相对应的第一含量,计算每种待检测物质的处理有效指数,精准地对污水处理方法进行检测,有利于提高污水处理的效率。
(发明人:葛建新;赵鸿强;韩云龙)






