公布日:2023.09.12
申请日:2023.05.23
分类号:C01G51/04(2006.01)I;C08G73/02(2006.01)I;B01J20/26(2006.01)I;B01J20/28(2006.01)I;C01G9/02(2006.01)I
摘要
本发明提供一种从DMC催化剂污泥中高选择性吸附回收钴的方法,通过设计全新的特定结构的“三叶草”型高分子树脂吸附剂和特定的工艺方法的协同作用,从特定成分的DMC催化剂污泥环境中高选择性吸附回收钴,且具有钴回收率高和纯度高的效果。本发明所述的方法可以将DMC催化剂污泥中的钴(Ⅲ)离子充分释放,然后用特定的吸附剂吸附分离,最后固定成氢氧化钴,使得钴回收量大,钴回收率≥90%,且氢氧化钴的纯度≥99.0%,对于钴浓度高达17g/L时,钴回收率仍高达90%。进一步的,在回收钴的同时通过控制pH值也可以将锌离子沉淀为氢氧化锌,纯度达到90%以上。

权利要求书
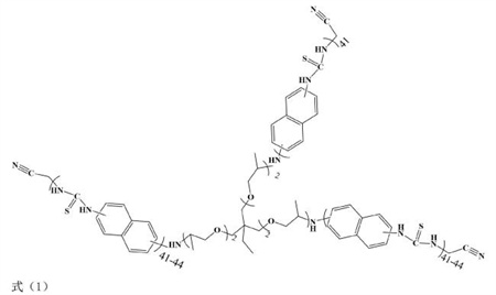
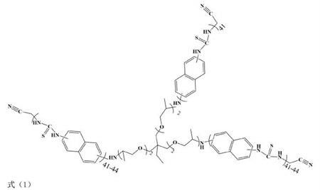
1.一种从DMC催化剂污泥中高选择性吸附回收钴的方法,其特征在于,具体包含以下步骤:(1)金属元素离子化:(A)燃烧:将包含锌钴金属的DMC催化剂污泥燃烧,燃烧温度为100-300℃,得到无机混合物;(B)浓硝酸消解:选择8mol/L-18mol/L浓度的硝酸,硝酸加入量为5-20g/g(无机混合物),加热温度为90-200℃,至硝酸浓缩剩余量为原加入量的1-10wt%;然后加入纯水稀释,过程中需始终控制pH<1,得到消解液;(2)吸附剂吸附:根据消解液中所含钴的质量加入适量吸附剂,吸附剂加入量为0.153-0.5g/g(钴),加热温度为30-60℃进行吸附;其中,所述吸附剂为一种“三叶草”型高分子吸附树脂,命名为LNM,其结构如式(1)所示:

(3)过滤:吸附剂吸附后进行过滤,固液分离,得到滤液1与滤饼1,将两者分别处理;(4)解吸:将滤饼1加入可溶性无机强碱稀溶液中搅拌,搅拌速度600-2000r/min,出现红色沉淀,然后加入稀硝酸溶解部分固体,控制最终溶液pH<4,过滤,分别得到滤饼3和滤液3,将二者分别处理;向滤液3内加入可溶性无机强碱,调节滤液3的pH值为9-14,出现沉淀后进行过滤,滤饼4即为纯净的氢氧化钴(Ⅱ)。
2.根据权利要求1所述的方法,其特征在于,步骤(1)中,所述燃烧的时间为5-12h。
3.根据权利要求1所述的方法,其特征在于,步骤(1)中,所述燃烧的时间为8-10h。
4.根据权利要求1所述的方法,其特征在于,步骤(1)中,所述稀释后若有肉眼可见颗粒可进行过滤。
5.根据权利要求1所述的方法,其特征在于,步骤(2)中,所述吸附剂吸附时持续搅拌时间为0.5-3h。
6.根据权利要求1所述的方法,其特征在于,步骤(2)中,所述吸附剂吸附时持续搅拌时间为0.75-1.5h。
7.根据权利要求1所述的方法,其特征在于,步骤(4)中,所述可溶性无机强碱为氢氧化钠、氢氧化钾。
8.根据权利要求1所述的方法,其特征在于,步骤(4)中,所述搅拌速度为1000-1500r/min。
9.根据权利要求1所述的方法,其特征在于,步骤(4)中,搅拌时间为0.25-1.5h。
10.根据权利要求1所述的方法,其特征在于,步骤(4)中,搅拌时间为0.5-0.75h。
11.根据权利要求1所述的方法,其特征在于,步骤(4)中,所述滤液3的pH值为9-11。
12.根据权利要求1所述的方法,其特征在于,步骤(1)中(A)步骤中,所述燃烧温度为150-200℃。
13.根据权利要求1所述的方法,其特征在于,步骤(1)中(B)步骤中,所述硝酸浓度为10-15mol/L。
14.根据权利要求1所述的方法,其特征在于,步骤(1)中(B)步骤中,所述硝酸加入量为10-15g/g(无机混合物)。
15.根据权利要求1所述的方法,其特征在于,步骤(1)中(B)步骤中,所述加热温度为105-160℃。
16.根据权利要求1所述的方法,其特征在于,步骤(1)中(B)步骤中,所述硝酸浓缩剩余量为1-5wt%。
17.根据权利要求1所述的方法,其特征在于,步骤(2)中,所述吸附剂加入量为0.153-0.178g/g(钴)。
18.根据权利要求1所述的方法,其特征在于,步骤(2)中,所述加热温度为30-40℃。
19.根据权利要求1-18任一项所述的方法,其特征在于,在所述步骤(3)得到滤液1后,还包括氢氧化锌析出的步骤,具体包括:加入可溶性无机强碱调节滤液1的pH值为11-13,然后固液分离,留存滤液2,向滤液2中加入稀硝酸溶液,调节pH值为6-8,此条件下氢氧化锌析出,经过滤后得到纯净氢氧化锌。
20.根据权利要求19所述的方法,其特征在于,所述可溶性无机强碱为氢氧化钠、氢氧化钾。
21.根据权利要求19所述的方法,其特征在于,调节滤液1的pH值为12-13。
22.根据权利要求19所述的方法,其特征在于,调节滤液2的pH值为6。
23.根据权利要求1所述的方法,其特征在于,所述步骤(4)中滤饼3经过解吸后再生,经真空干燥后可重新作吸附剂使用。
发明内容
针对现有技术的不足,本发明提供了一种从DMC催化剂污泥中高选择性吸附回收钴的方法,通过设计全新的特定结构的“三叶草”型高分子树脂吸附剂和特定的工艺方法的协同作用,从特定成分的DMC催化剂污泥环境中高选择性吸附回收钴,且具有钴回收率高和纯度高的效果。本发明所述的方法可以将DMC催化剂污泥中的钴(Ⅲ)离子充分释放,然后用特定的吸附剂吸附分离,最后固定成氢氧化钴,使得钴回收量大,钴回收率≥90%,且氢氧化钴的纯度≥99.0%,对于钴浓度高达17g/L时,钴回收率仍高达90%。
本发明所述的钴回收率是指所得氢氧化钴中所含钴的质量与浓硝酸消解步骤后所得消解液中含有的钴的质量的比值。
本发明采用如下技术方案,一种从DMC催化剂污泥中高选择性吸附回收钴的方法,所述DMC催化剂污泥是指除了锌钴双金属氰化络合物外还包含聚酯多元醇和/或聚醚多元醇和/或吸附剂所形成的污泥,锌钴质量浓度比范围是1.66-2.77∶1,所述钴为+3价,所述一种从DMC催化剂污泥中高选择性吸附回收钴的方法,具体包含以下步骤:
(1)金属元素离子化:
(A)燃烧:将包含锌钴金属的DMC催化剂污泥燃烧,燃烧温度为100-300℃,通过燃烧步骤可以去除聚醚多元醇、小分子有机配体等有机物,得到无机混合物;
(B)浓硝酸消解:选择8mol/L-18mol/L浓度的硝酸,硝酸加入量为5-20g/g(无机混合物),加热温度为90-200℃,至硝酸浓缩剩余量为原加入量的1-10wt%;然后加入纯水稀释,过程中需始终控制pH<1,得到消解液;其中单位g/g(无机混合物)是指每g无机混合物需加入多少g的硝酸;
(2)吸附剂吸附:测试步骤(1)中消解液的钴(Ⅲ)离子浓度,根据消解液中所含钴的质量加入适量吸附剂,吸附剂加入量为0.153-0.5g/g(钴),加热温度为30-60℃进行吸附;其中单位g/g(钴)是指每g钴需加入多少g的吸附剂进行吸附;
其中,所述吸附剂为一种“三叶草”型高分子吸附树脂,命名为LNM,其结构如式(1)
所示:

所述钴(Ⅲ)离子浓度检测方法为采用电感耦合等离子光谱法(ICP)测其浓度,单位为g/L,具体的,准确测量步骤(1)所得消解液的体积V,然后取适量消解液,用电感耦合等离子光谱法(ICP)检测得出钴(Ⅲ)离子浓度为C0(钴),单位为g/L,则钴质量的计算公式为:m(钴)=C0(钴)*V。
吸附剂对钴(Ⅲ)离子吸附量的计算公式为:吸附量(g(钴)/g(吸附剂))=(C0(钴)-C1)
V1/m(吸附剂),
其中,C0(钴)是指钴(Ⅲ)离子初始浓度,与上述钴质量的计算公式中C0(钴)相同;C1是指钴(Ⅲ)离子被吸附后消解液中钴(Ⅲ)离子浓度;V1是指被吸附后消解液的体积,吸附前后体积几乎不变V1=V;m(吸附剂)是指吸附剂质量。
(3)过滤:吸附剂吸附后进行过滤,固液分离,得到滤液1与滤饼1,将两者分别处理;
(4)解吸:滤饼1的主要成分是吸附剂以及吸附在上面的钴(Ⅲ)离子,将滤饼1加入可溶性无机强碱稀溶液中搅拌,搅拌速度600-2000r/min,出现红色沉淀,然后加入稀硝酸溶解部分固体,控制最终溶液pH<4,过滤,分别得到滤饼3和滤液3,将二者分别处理;向滤液3内加入可溶性无机强碱,调节滤液3的pH值为9-14,出现沉淀后进行过滤,滤饼4即为纯净的氢氧化钴(Ⅱ)。
本发明所述的方法,通过严格控制燃烧、消解等离子化过程参数,用纯水稀释消解液是防止引入水中的杂质,形成了含有+3价钴离子的酸性溶液,然后利用全新的特定结构的“三叶草”型高分子树脂吸附剂和控制吸附条件进行吸附,将+3价钴离子从含锌、钴、镁、铁、钙等多种金属离子存在的溶液中高选择性高稳定性的“束缚”在吸附剂中,最后通过调节pH值达到解吸和固定钴的目的。本发明所述的方法可以将DMC催化剂污泥中的钴(Ⅲ)离子充分释放,然后用特定的吸附剂吸附分离,最后固定成氢氧化钴,使得钴回收量大,钴回收率≥90%,且氢氧化钴的纯度≥99.0%,对于钴浓度高达17g/L时,钴回收率仍高达90%。
优选的,步骤(1)(A)步骤中,所述燃烧的时间为5-12h;更优选的为8-10h;
优选的,步骤(1)(A)步骤中,所述燃烧温度为150-200℃;
优选的,步骤(1)(B)步骤中,所述硝酸浓度为10-15mol/L;
优选的,步骤(1)(B)步骤中,所述硝酸加入量为10-15g/g(无机混合物);
优选的,步骤(1)(B)步骤中,所述加热温度为105-160℃;
优选的,步骤(1)(B)步骤中,所述硝酸浓缩剩余量为1-5wt%;
优选的,步骤(1)(B)步骤中,所述稀释后若有肉眼可见颗粒可进行过滤;
优选的,步骤(2)中,所述吸附剂加入量为0.153-0.178g/g(钴);
优选的,步骤(2)中,所述加热温度为30-40℃;
优选的,步骤(2)中,所述吸附剂吸附时持续搅拌时间为0.5-3h;更优选的为0.75-1.5h;
优选的,步骤(4)中,所述可溶性无机强碱为氢氧化钠、氢氧化钾;
优选的,步骤(4)中,所述搅拌速度为1000-1500r/min;
优选的,步骤(4)中,搅拌时间为0.25-1.5h,更优选的为0.5-0.75h;
优选的,步骤(4)中,所述滤液3的pH值为9-11。
所述氢氧化钴的纯度高达99.0%以上;
进一步的,在所述步骤(3)得到滤液1后,还包括氢氧化锌析出的步骤,具体包括:
加入可溶性无机强碱调节滤液1的pH值为11-13,在此pH值下可将氢氧化锌溶解且保证其他金属离子成氢氧化物沉淀形式,然后固液分离,留存滤液2,向滤液2中加入稀硝酸溶液,调节pH值为6-8,此条件下氢氧化锌析出,经过滤后得到纯净氢氧化锌;
优选的,所述可溶性无机强碱为氢氧化钠、氢氧化钾;
所述氢氧化锌纯度≥90%以上;
优选的,调节滤液1的pH值为12-13;
优选的,调节滤液2的pH值为6。
滤液1内的金属元素成分与浓硝酸消解后的成分相比,只是少了钴,其他如镁、铁等金属离子可能存在其中,氢氧化锌是一种两性氢氧化物,而氢氧化镁、氢氧化铁等也略显两性,因此氢氧化锌的析出过程需要严格控制pH值才可保证氢氧化锌的纯净度。
进一步的,所述步骤(4)中滤饼3是本发明所述的吸附剂LNM,经过解吸后再生,经真空干燥后可重新作吸附剂使用。本发明所述的吸附剂是一种“三叶草”型高分子吸附树脂吸附剂,其三条长链链段上有相近数目的萘环与硫脲基团,末端均由氰基封端,三条长链连接处为特定结构的三胺聚醚胺化合物,本发明所述特定结构的树脂吸附剂具有可解吸再生的特点,初次吸附最大吸附量高达6.0g/g(吸附剂),可多次重复利用,再生后吸附剂的吸附量仍高达5.0g/g(吸附剂),其中单位g/g(吸附剂)的含义是指每g吸附剂能吸附多少g的钴离子。
DMC催化剂污泥由于多金属与大量有机聚合物的共同存在,这种特定成分的DMC催化剂污泥环境对钴的回收带来极大的困难,更困难的是,DMC催化剂污泥中的多金属大多数为锌和钴共存,锌和钴二者属于同一周期,化学性质相近,且本发明所述DMC催化剂污泥锌含量高于钴,锌钴二者质量浓度比范围是1.66-2.77∶1,宏观上吸附剂极易优先吸附含量高的金属离子,极难通过树脂吸附法分离钴。因此,本发明所述的方法,通过精确控制燃烧和消解步骤参数、控制吸附剂加入量与吸附条件参数、解吸步骤等参数,使各步骤之间紧密衔接、吸附剂与方法参数之间相互配合,通过上述多个特征的整体协同作用才能实现本发明的效果。具体的,本发明的方法选择浓硝酸作消解酸液,而不是其他类型的酸,其目的是为了保证形成的+3价钴离子,且消解过程危险系数低。+3价钴离子缺电子性强,在众多+2价金属离子中首先被电子吸引,本发明特定的吸附剂具有三叶草型结构,其三条长链链段上有相近数目的萘环与硫脲基团,末端均由氰基封端,三条长链连接处为特定结构的三胺聚醚胺化合物,同时精确控制吸附剂加入量、加热温度、搅拌时间等吸附条件,通过上述多特征的协同作用下钴(Ⅲ)离子形成配位金属,键合能强,就表现出钴(Ⅲ)离子牢牢“束缚”在吸附剂上。钴(Ⅲ)离子优先被选择后,整体电荷数提高,钴(Ⅲ)离子孔道被占据就表现出排斥效应,就不容易再吸附其他类金属离子,当钴(Ⅲ)离子电荷数中和、孔道被占满就表现出不再吸附,即达到吸附剂的最大吸附容量。当钴离子被固定在吸附剂上,由于本发明所述吸附剂的三叶草型结构的配位包覆作用,使钴离子不易自行解吸,从而就与其他游离态的金属离子分别开来,经过过滤可以分离。而解吸时,由于钴离子与吸附剂形成的配位键键能一般较低,通过改变配位化合物所处溶液环境就可以破坏其结构,因此加入氢氧根,形成碱性环境,钴离子成为更稳定的沉淀,并无有毒性气体释放情况下将钴完成从+3价向+2价的转变。当吸附剂与氢氧化钴同为沉淀无法进行简单分离,因此本发明选择氢氧化钴沉淀消失再生成的工艺路线分离吸附剂与钴,加入稀硝酸后,氢氧化钴沉淀消失,只剩下吸附剂沉淀,可进行过滤分离。分离后滤液中有硝酸根、钠离子、钴(Ⅱ)离子,溶解性都极高,用氢氧化钠调节滤液pH值,滤液中再次生成氢氧化钴沉淀。相比于将滤液浓缩结晶方式固定钴,本发明的再次沉淀获得的钴产物纯净度高。
本发明的技术方案具有如下有益效果∶
(1)本发明提供了一种从DMC催化剂污泥中高选择性吸附回收钴的方法,通过全新的特定结构的“三叶草”型高分子树脂吸附剂和特定的工艺方法的整体协同作用,从特定成分的DMC催化剂污泥环境中高选择性吸附回收钴,本发明所述的方法可以将DMC催化剂污泥中的钴(Ⅲ)离子充分释放,具体的,通过本发明严格控制燃烧、消解等离子化过程参数,形成了含有+3价钴离子的酸性溶液,然后利用特定结构的“三叶草”型高分子树脂吸附剂和控制吸附条件进行吸附,将+3价钴离子可以从含锌、钴、镁、铁、钙等多种金属离子存在的溶液中高选择性高稳定性的“束缚”在吸附剂中,最后通过调节pH值达到解吸和固定钴的目的,使得钴回收量大,钴回收率≥90%,且氢氧化钴的纯度≥99.0%,对于钴浓度高达17g/L时,钴回收率仍高达90%。
(2)本发明混合金属溶液中还含有大量的锌离子,在回收钴的同时通过控制pH值也可以将锌离子沉淀为氢氧化锌,其纯度达到90%以上。
(3)本发明方法中所述的吸附剂最大吸附量高达6.0g/g(吸附剂),在完成钴的吸附后能够解吸再生,再生后其吸附量仍高达5.0g/g(吸附剂),能够实现多次重复利用。
(发明人:李俊巧;毛红兵;宋一彤;陈圣岳)






