公布日:2024.01.19
申请日:2023.10.24
分类号:C02F1/34(2023.01)I;C02F1/00(2023.01)I;C02F103/20(2006.01)N
摘要
本发明公开了一种用于畜禽养殖污水处理的组合式空化发生器,包括转子、定子、刀具和垫片。转子包括前盖板、后盖板和叶片,前盖板局部内表面具有第一环形凸起,第一环形凸起上沿其周向交替布置若干沟槽和盲孔;后盖板在与第一环形凸起相对的位置被切割,并在该位置连接定子,定子内表面具有和第一环形凸起相对的第二环形凸起;叶片位于环形凸起的下游;垫片位于转子后盖板与定子之间;刀具位于环形凸起的上游,固定在后盖板中心,工作时随转子一起转动。本发明可以有效避免畜禽养殖污水中的悬浮物造成的堵塞问题,并在多类型组合式空化的作用下有效降解污水中的有机物,能够促进畜禽养殖污水的无害化处理。
权利要求书
1.一种用于畜禽养殖污水处理的组合式空化发生器,其特征在于,包括转子(1)、定子(2)、刀具(3)和垫片(4),所述转子(1)包括前盖板(11)、后盖板(12)和叶片(13),所述前盖板(11)和所述后盖板(12)并列连接,所述后盖板(12)上设有环形通孔,所述定子(2)连接在所述环形通孔内,所述转子(1)上设有凸起组件,所述凸起组件包括设于所述前盖板(11)的内表面的第一环形凸起,和设于所述定子(2)的内表面的第二环形凸起,所述第一环形凸起和所述第二环形凸起相对设置,在所述第一环形凸起上且沿其周向交替设置若干第一沟槽(14)和若干第一盲孔(15),所述叶片(13)位于所述凸起组件的下游,所述刀具(3)位于所述凸起组件的上游,所述刀具(3)随转子(1)一起转动,所述垫片(4)位于所述后盖板(12)与所述定子(2)之间,用于调节所述第一环形凸起和所述第二环形凸起之间的间隙。
2.根据权利要求1所述的用于畜禽养殖污水处理的组合式空化发生器,其特征在于,所述凸起组件的中心线与所述转子(1)的旋转轴重合,且所述凸起组件的前缘表面和后缘表面均为圆柱面,所述凸起组件的内表面垂直于所述转子(1)的旋转轴。
3.根据权利要求1所述的用于畜禽养殖污水处理的组合式空化发生器,其特征在于,所述凸起组件位于δ=D1/Dout=0.45~0.85处,其中,D1为所述凸起组件的前缘表面的直径,单位为mm,Dout为所述转子(1)的外径,单位为mm;所述凸起组件沿径向的长度L=0.2~0.5(Dout-Din),其中,Din为所述转子(1)的进口直径,单位为mm。
4.根据权利要求1所述的用于畜禽养殖污水处理的组合式空化发生器,其特征在于,所述叶片(13)紧邻所述凸起组件起后缘,所述叶片(13)为弯曲型,所述叶片(13)的包角θ1=45~90°,所述叶片(13)的数目z1=5~7。
5.根据权利要求4所述的用于畜禽养殖污水处理的组合式空化发生器,其特征在于,所述第一沟槽(14)和所述第一盲孔(15)的中心线均垂直于所述凸起组件表面,所述第一沟槽(14)和所述第一盲孔(15)的数目均为n1=1~3z1,其中,z1为所述叶片(13)的数目。
6.根据权利要求1所述的用于畜禽养殖污水处理的组合式空化发生器,其特征在于,所述第一沟槽(14)贯通所述第一环形凸起,所述第一沟槽(14)的扩散角α=20°~60°,所述第一沟槽(14)的有效深度Hg=0.4b~0.6b,其中,b为所述转子(1)的出口宽度,单位为mm;所述第一盲孔(15)的扩散角为β=20°~60°,所述第一盲孔(15)的形状包括圆柱形、半球形、长方体形和圆锥形,所述第一盲孔(15)的特征宽度Db=0.5L~0.8L,单位为mm,所述第一盲孔(15)的特征深度Hb=0.5Db~1.5Db,单位为mm。
7.根据权利要求3所述的用于畜禽养殖污水处理的组合式空化发生器,其特征在于,所述定子(2)上设有第二沟槽(21)和第二盲孔(22),所述第二沟槽(21)、所述第二盲孔(22)与所述第一沟槽(11)、所述第一盲孔(12)的数目分别相等,形状分别相同,排布完全一致;所述定子(2)的外径D2≥1.1(D1+2L),单位为mm,所述定子(2)外缘通过螺钉固定连接在蜗壳内壁上,空化发生器工作时,所述定子(2)固定不动。
8.根据权利要求1所述的用于畜禽养殖污水处理的组合式空化发生器,其特征在于,所述垫片(4)分为两部分,一部分位于定子(2)的环形凸起前缘,另一部分位于定子(2)环形凸起后缘,两处垫片数量均为n2。
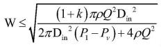
9.根据权利要求3所述的用于畜禽养殖污水处理的组合式空化发生器,其特征在于,所述转子(1)与所述定子(2)之间设置有间隙,间隙的宽度W通过所述垫片(4)进行调节,且满足表达式:
,式中,W为间隙的宽度,单位为mm,Q为流量,单位为m3/s,P1为空化发生器进口压力,单位为Pa,Pv为污水的饱和蒸汽压力,单位为Pa,ρ为污水密度,单位为kg/m3,k为损失系数,与空化器结构相关,取值范围为0.2~0.35。
10.根据权利要求3所述的用于畜禽养殖污水处理的组合式空化发生器,其特征在于,所述刀具(3)包括刀片(31),所述刀片(31)与所述第一环形凸起的内表面沿轴向的距离S=3~5W,单位为mm,所述刀片(31)的外径D3=0.75~0.9D1,单位为mm,所述刀片(31)为弯曲型,所述刀片(31)的包角θ2=45~90°,所述刀片(31)的数目z2=2~4。
发明内容
针对上述存在的缺陷,本发明提供了一种用于畜禽养殖污水处理的组合式空化发生器,其不仅可以有效减少堵塞,同时还能产生多类型组合式空化,促进有机物的有效降解,除此之外,该空化发生器还兼具水泵的功能,能够在输送污水的同时处理污水,促进了水力空化技术在畜禽污水处理领域的应用。
本发明是通过以下技术手段实现上述技术目的的。
一种用于畜禽养殖污水处理的组合式空化发生器,包括转子、定子、刀具和垫片,所述转子包括前盖板、后盖板和叶片,所述前盖板和所述后盖板并列连接,所述后盖板上设有环形通孔,所述定子连接在所述环形通孔内,所述转子上设有凸起组件,所述凸起组件包括设于所述前盖板的内表面的第一环形凸起,和设于所述定子的内表面的第二环形凸起,所述第一环形凸起和所述第二环形凸起相对设置,在所述第一环形凸起上且沿其周向交替设置若干第一沟槽和若干第一盲孔,所述叶片位于所述凸起组件的下游,所述刀具位于所述凸起组件的上游,所述刀具随转子一起转动,所述垫片位于所述后盖板与所述定之间,用于调节所述第一环形凸起和所述第二环形凸起之间的间隙。
进一步的,所述凸起组件的中心线与所述转子的旋转轴重合,且所述凸起组件的前缘表面和后缘表面均为圆柱面,所述凸起组件的内表面垂直于所述转子的旋转轴。
进一步的,所述凸起组件位于δ=D1/Dout=0.45~0.85处,其中,D1为所述凸起组件的前缘表面的直径,单位为mm,Dout为所述转子的外径,单位为mm;
所述凸起组件沿径向的长度L=0.2~0.5(Dout-Din),其中,Din为所述转子的进口直径,单位为mm。
进一步的,所述叶片紧邻所述凸起组件起后缘,所述叶片为弯曲型,所述叶片的包角θ1=45~90°,所述叶片的数目z1=5~7。
进一步的,所述第一沟槽和所述第一盲孔的中心线均垂直于所述凸起组件表面,所述第一沟槽和所述第一盲孔的数目均为n1=1~3z1,其中,z1为所述叶片的数目。
进一步的,所述第一沟槽贯通所述第一环形凸起,所述第一沟槽的扩散角α=20°~60°,所述第一沟槽的有效深度Hg=0.4b~0.6b,其中,b为所述转子的出口宽度,单位为mm;
所述第一盲孔的扩散角为β=20°~60°,所述第一盲孔的形状包括圆柱形、半球形、长方体形和圆锥形,所述第一盲孔的特征宽度Db=0.5L~0.8L,单位为mm,所述第一盲孔的特征深度Hb=0.5Db~1.5Db,单位为mm。
进一步的,所述定子上设有第二沟槽和第二盲孔,所述第二沟槽、所述第二盲孔与所述第一沟槽、所述第一盲孔的数目分别相等,形状分别相同,排布完全一致;
所述定子的外径D2≥1.1(D1+2L),单位为mm,所述定子外缘通过螺钉固定连接在蜗壳内壁,空化发生器工作时,所述定子固定不动。
进一步的,所述垫片分为两部分,一部分位于定子的环形凸起前缘,另一部分位于定子环形凸起后缘,两处垫片数量均为n2。
进一步的,所述转子与所述定子之间设置有间隙,间隙的宽度W通过所述垫片进行调节,且满足表达式:

式中,W为间隙的宽度,单位为mm,Q为流量,单位为m3/s,P1为空化发生器进口压力,单位为Pa,Pv为污水的饱和蒸汽压力,单位为Pa,ρ为污水密度,单位为kg/m3,k为损失系数,与空化器结构相关,取值范围为0.2~0.35。
进一步的,所述刀具包括刀片,所述刀片与所述第一环形凸起的内表面沿轴向的距离S=3~5W,单位为mm,所述刀片的外径D3=0.75~0.9D1,单位为mm,所述刀片为弯曲型,所述刀片的包角θ2=45~90°,所述刀片的数目z2=2~4。
借由以上的技术方案,本发明的有益效果如下:
1、本发明所述的用于畜禽养殖污水处理的组合式空化发生器,在空化发生前对污水中的悬浮物进行了切割粉碎,既能减少污水中悬浮物造成的堵塞,也能减小污水中有机物分子量,便于后续的空化降解;
2、本发明所述的用于畜禽养殖污水处理的组合式空化发生器,污水通过环形凸起之间的间隙时,在转子和定子的相互作用下可以产生多种类型空化,部分空泡在间隙附近溃灭,释放能量,大部分空泡在环形凸起下游集中溃灭,释放更多能量,污水每经过空化器一次被多次降解,提高了污水的处理效率;
3、本发明所述的用于畜禽养殖污水处理的组合式空化发生器,在空化产生区域的下游布置了叶片,能够使污水压力快速回升,一方面促进了空泡的高强度溃灭,另一方面也保证了污水能够被输送至远处,减少了其他动力设备的使用;
4、本发明所述的用于畜禽养殖污水处理的组合式空化发生器,充分考虑实际应用场景,不需要频繁调节转速和压力便能实现空化,此外可以通过调整垫片的数量控制间隙的宽度,从而改变空化强度,以满足不同浓度污水的处理需求,适应性强。
(发明人:王勇;李明;黄钰;胡宇;王哓林;陈杰;刘厚林)






