在气田开采过程中会伴生地层产出水,称为气田水,特别在天然气开发的中后期,需进行排水(气田水)以维持天然气的生产。气田水水质较为复杂,污染物种类多、含盐量高、可生化性差,传统的生物法很难对其进行有效降解。高级氧化技术是去除废水中难降解有机物的有效手段,被广泛用于工业废水的预处理或深度处理。O3是高级氧化技术中常用的氧化剂,可有效氧化具有富电子基团的污染物,但由于O3氧化的选择性,难以降解缺乏富电子基团的化合物。因此,常规臭氧氧化技术的矿化率不高。使用活性炭、金属氧化物等催化剂可提高O3转化为羟基自由基(·OH)的效率,从而提高污染物的矿化率,但在实际应用中存在催化剂失活、寿命短等问题。
为解决以上问题,本研究通过耦合催化臭氧和三维电极技术,使用活性炭作为粒子电极,构建了三维电极催化臭氧反应体系(3D/O3),用于气田水的处理,系统考察了3D/O3技术主要运行参数对废水处理效果的影响,并与常规O3氧化、活性炭催化臭氧氧化(GAC/O3)相关技术进行了比较分析,研究成果有望为气田水深度处理提供一种可行的技术。
1、实验方法
1.1 试剂与仪器
本研究使用的废水为某气田低温蒸馏站蒸馏冷凝水(以下简称冷凝水)。气田水在该站经澄清、过滤、脱氨等前处理后,以蒸馏方式浓缩,母液回注处置,但产生的蒸馏冷凝液中仍含有一定的有机污染物(水质参数见表1),并有刺鼻性臭味,不能满足排放标准。目前使用Fenton高级氧化、微滤和反渗透等工艺处理后外排。本研究拟开发三维电极催化臭氧技术作为蒸馏冷凝液的深度处理技术,解决Fen⁃ton和反渗透工艺产生的含铁污泥和膜浓缩液等问题。圆柱形活性炭(直径为1mm,长度为5~7mm),用超纯水清洗至洗液澄清后在80℃烘箱中干燥24h,然后保存在干燥器中备用。其他试剂均为分析纯,购于Sigma-Aldrich。

1.2 实验方法
使用圆柱形反应器(直径为5cm,高度为54cm,V=1.2L)进行废水处理实验,反应装置如图1所示。

3D/O3实验中,使用蠕动泵将缓冲罐中的废水从反应器底部进水,并进行循环(流速为0.2L/min),O2经臭氧发生器(3S-T5型,同林)转化为O3后,由反应器底部的微孔曝气头通入水中,流量为0.3L/min,O3浓度通过调节臭氧发生器的功率控制在30~90mg/L。反应器上部水平安装了一块钛镀钌铱网状阳极(直径为5cm,5mm×10mm菱形孔)和一块镍网阴极(直径为5cm,孔径为1mm),电极间距为2cm,其中填充了24g活性炭作为粒子电极,并用PTFE膜将活性炭与阳极隔开以防止电流短路,使用直流电源(NPS-1601,格辉)为电极供电,以恒电流阴极单极极化方式运行。
常规O3氧化、活性炭吸附、GAC/O3和3D等实验在相同反应器中进行。O3氧化实验中,反应器中未安装电极,仅进行O3曝气;GAC/O3实验中,反应器未通电,仅进行O3曝气;活性炭吸附和3D电化学氧化作为对照组引入,其中活性炭吸附实验中,反应器未通电和曝气。3D实验中,反应器仅通电,但未进行曝气。O3传质量(即曝气过程中溶解到溶液中的臭氧质量)根据反应器气体进出口的O3浓度差计算[式(1)]。

式中:Qg——气体流量,L/min;[O3]inlet、[O3]outlet——反应器进、出口气相O3质量浓度,mg/L;t——反应时间,min。
1.3 分析方法
使用臭氧浓度检测仪(UVOZ-1200,同林)在线监测进出气口的气相O3浓度。液相O3浓度采用靛蓝分光光度法测定。由于3D/O3过程中产生的H2O2会干扰COD的检测,实验中主要以TOC作为评价有机污染物去除效率的指标,TOC采用日本岛津TOC-Vcph分析仪测定。部分样品检测了COD,检测前向水样中加入过量MnO2分解H2O2,排除其干扰。pH计采用(HachSension1,Hach)测量。XPS采用Escalab250Xi仪器,AlKα辐射源(hν=1487eV)(ThermoFisher)分析。
基于检测的臭氧传质量,常规O3氧化和GAC/O3技术去除TOC的能耗使用式(2)计算,3D/O3的能耗使用式(3)计算。

式中:SEC——去除单位质量TOC所需能耗,kW·h/g;r——产生单位质量O3所需的能耗,15kW·h/kg;TOC0和TOCt——初始和t时刻的TOC,mg/L;V——溶液体积,L;U——槽电压,V;I——电流,A;t——处理时间,h。
2、结果与讨论
2.1 不同臭氧催化氧化技术处理效率比较
在O3为60mg/L,电极间距为2cm,电流为200mA的条件下,比较了O3氧化、GAC/O3、和3D/O3对冷凝水中TOC的去除情况,结果如图2所示。

由图2可知,以活性炭吸附和3D电化学氧化作为对照组,发现对冷凝水中的有机污染物几乎没有去除作用。这可能是因为冷凝水中的有机污染物主要是亲水性物质,难以被吸附到活性炭表面。同时,由于3D电化学氧化技术使用的是氧化能力较弱的钛镀钌铱阳极,因此难以有效矿化去除TOC。与之相比,O3氧化技术可以较快地去除冷凝水中的有机污染物,经2h处理,TOC去除率达到了80%左右。通过加入活性炭作为催化剂或粒子电极,GAC/O3和3D/O3进一步加速了污染物的去除,1h时的TOC去除率分别达到了85%和90%。值得注意的是,3D/O3过程中TOC的去除率远高于3D和O3过程中TOC去除率的线性加和,表明3D和O3间存在显著的协同效应,强化了污染物的矿化去除。
在O3为60mg/L,电极间距为2cm,电流为200mA的条件下,考察了O3氧化、GAC/O3和3D/O3过程中反应器气体进出口气相、液相的O3浓度,结果如图3所示。

由图3(a)可知,在相同的曝气条件下,GAC/O3和3D/O3过程中的出口气相O3浓度明显低于O3氧化过程中的O3浓度,说明活性炭作为催化剂和粒子电极显著强化了O3向水中的溶解,提高了气液传质效率。
由图3(b)可知,3种技术处理的前30min内,反应器内的液相O3浓度都非常低。这说明冷凝水中含有大量的O3活性物质,可以与溶解的O3快速反应,使之消耗。30min后,O3氧化过程中的液相O3浓度显著上升,说明水中的O3活性物质已经被转化为O3难氧化物质(如小分子羧酸和醛类),导致液相O3的消耗速率下降,开始在水中积累。与O3氧化不同,GAC/O3和3D/O3过程中的液相O3浓度在反应1h才开始逐渐上升,并且在活性炭床层上方的液相O3图23D/O3与其他技术处理气田冷凝水过程中的TOC去除率Fig.2TOCremovalefficiencyduringgasfieldcondensatetreatmentby3D/O3andothertechnologies试验研究工业水处理2025-08,45(8)124浓度明显低于下方的浓度。这些现象说明,冷凝水在流经活性炭床层的过程中,其中溶解的O3会发生明显的分解,从而使液相O3浓度在较长时间内保持在较低的水平,直至冷凝水中的污染物被充分矿化(1h时TOC去除率约为90%)后,才逐渐升高。
在O3为60mg/L,电极间距为2cm,电流为200mA的条件下,比较了O3氧化、GAC/O3和3D/O3过程中去除TOC的能耗,结果如图4所示。

在反应的前15min,由于GAC/O3和3D/O3显著强化了臭氧传质量,但TOC去除率与O3氧化相差不大(图2~图3),因此SEC明显高于O3氧化(图4)。但随着反应的进行,GAC/O3和3D/O3技术与O3氧化相比显著提高了TOC的去除率,因此去除单位质量TOC的能耗逐渐与O3氧化接近。在3种技术达到相似TOC去除率(约80%)时,3种技术去除单位质量TOC的能耗相差不大,大约为0.30~0.35kW·h/g,按工业用电0.5元(/kW·h)计算,折合0.15~0.175元/g。以上结果说明,与常规O3氧化和GAC/O3技术相比,3D/O3技术不会显著增加废水处理过程的能耗和运行成本。
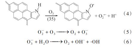
综上可知,活性炭可以显著强化GAC/O3和3D/O3过程中气相O3向水中的溶解和液相O3的分解,产生更多的·OH等活性氧物种,从而加速了污染物的矿化速率。但是,两种技术中活性炭活化O3生成的机理不尽相同。GAC/O3过程中O3分解产生·OH的机理主要是活性炭中的供电子基团(如吡咯氮)会与O3反应生成O2·[−式(4)],O2·−再与O3反应生成·OH[式(5)、式(6)]。但是,在这个过程中,活性炭的供电子基团会被逐渐消耗,如吡咯氮会转化为氮氧化物而失去活性。因此,在GAC/O3过程中,活性炭并不是真正意义上的催化剂,会逐渐失效,这也是GAC/O3技术在实际应用中性能逐渐下降的重要原因。

3D/O3技术通过阴极极化使活性炭带负电,可以以多种途径活化O3生成·OH。除与GAC/O3中相同的机理外,O3可以通过电化学还原的方式从活性炭上获得电子转化为O3•−,再生成·OH[式(6)、式(7)]。同时,曝气中的O2可以在活性炭上通过二电子还原反应生成H2O2[式(8)],并进而与O3通过Peroxone反应生成·OH[式(9)]。

因此,与GAC/O3技术相比,3D/O3技术可以通过更多机理活化O3生成·OH。更重要的是,在后两种机理中,活性炭主要是作为粒子电极传递电子,自身并不发生反应,能较好地保持活性。因此,预期3D/O3技术可以在长期运行过程中更稳定地维持水处理效果。
在O3为60mg/L,电极间距为2cm,电流为200mA的条件下,比较了多周期实验过程中,3D/O3和GAC/O3技术处理冷凝水后的TOC去除情况和终点COD,结果如图5所示。XPS分析结果如图6所示。


由图5可知,两种技术在第一个周期中的去除率大致相当(约92%)。但在随后的周期中,GAC/O3的TOC去除率逐渐下降,在第8个周期结束时TOC去除率下降至87%,出水COD由第1个周期的12mg/L上升至18mg/L。与之相比,3D/O3技术的TOC去除率稳定维持在92%左右,出水COD维持在12mg/L以下。
由图6可知,经过8个周期运行后,GAC/O3使用的活性炭的吡咯含量明显低于3D/O3使用的活性炭,而氮氧化物含量则显著高于后者。这些结果证明,GAC/O3过程中,活性炭中的富电子基团会被逐渐氧化失去活化能力,从而导致TOC去除率下降。而由于阴极保护等原因,3D/O3中的活性炭氧化程度较低。同时,由于3D/O3中电化学活化O3生成·OH的机理不受活性炭氧化影响,从而维持了稳定的TOC去除效率。因此,与GAC/O3相比,3D/O3可以提供一种更为可靠的处理技术,保障污水处理的长期稳定运行。
2.2 O3浓度对3D/O3效果影响
在电极间距为2cm,电流为200mA的条件下,考察3D/O3过程中O3浓度对TOC去除的影响和O3传质量,结果如图7所示。

由图7可知,随着曝气中O3浓度的提高,3D/O3技术可以更快地去除冷凝水中的TOC。当进口O3质量浓度从30mg/L提高到90mg/L时,溶解传质到水中的O3质量从0.805g升高到了1.822g。这说明提高曝气的O3浓度可以增大传质的驱动力,使更多的O3溶解到水中,从而强化·OH的生成和污染物的氧化降解。但是,当曝气O3质量浓度分别为60mg/L和90mg/L时,1h后的TOC去除速率明显变慢,表明水中残留的有机物主要是难氧化的物质。同时,由于O3浓度过高时会和·OH反应转化为氧化性较弱的HO2·[式(10)],90mg/LO3曝气条件下2h时的TOC去除率反而比60mg/L时略低。因此,3D/O3技术中的O3浓度并非越高越好,需要进行优化以保证污染物的高效低耗去除。

2.3 电流对3D/O3效果影响
在O3质量浓度为60mg/L,电极间距为2cm的条件下,考察3D/O3过程电流强度对TOC去除效果的影响,结果如图8所示。

由图8可知,当电流在50~200mA(电流密度为2.5~10mA/cm2)的范围内变化时,3D/O3技术去除TOC的效率相差不大。这说明只需要较小的电流就可以充分活化O3产生·OH,当电流过大时将会导致析氢等副反应的发生,从而引起电流效率的下降。电流为200mA时TOC的最终去除率略高于电流为50~100mA的TOC去除率,这可能主要是由于阳极氧化的作用引起的,但也会导致较高的槽电压和能耗,因此3D/O3中的电流需要进行系统的优化以平衡污染物去除效率和能耗之间的关系。
2.4 气泡粒径对3D/O3效果影响
在O3为60mg/L,电极间距为2cm,电流强度为200mA的条件下,比较了3D/O3过程中使用不同孔径曝气头(1μm~1mm)时的TOC去除和O3传质情况,结果如图9所示。

由图9可知,随着曝气头孔径的减小,曝入水中的气泡粒径减小、表面积增加,更加有利于O3从气相溶解到水中。因此,O3传质量随曝气头孔径的减小而逐步上升。同时,气泡粒径的减小也有利于活性炭粒子电极对O3的吸附和转化,从而产生更多的·OH以强化污染物的氧化。因此,使用孔径较小的曝气头或其他方式提高O3的相间传质速率,可以显著强化3D/O3过程中的污染物降解。
3、结论
本研究开发了一种阴极单极极化的3D/O3技术,以活性炭作为粒子电极,通过电化学还原等方式促进O3转化为·OH,可大幅提高O3的传质和利用效率。与常规O3氧化、GAC/O3、3D等技术相比,3D/O3可显著强化有机污染物的矿化去除,并有效防止活性炭在废水处理过程中氧化失效,延长活性炭的使用寿命和维持系统长期稳定运行。低温蒸馏站蒸馏冷凝水经3D/O3处理后,有机污染物矿化率可稳定维持在90%以上,COD低于12mg/L,满足废水回用要求,具有较好的应用前景。(来源:中国石油化工股份有限公司石油勘探开发研究院,中国矿业大学(北京),清华大学环境学院)



