公布日:2024.01.09
申请日:2023.08.22
分类号:C02F9/00(2023.01)I;C07C29/151(2006.01)I;C07C29/80(2006.01)I;C07C31/04(2006.01)I;C02F3/30(2023.01)N;C02F1/00(2023.01)N;C02F1/04(2023.01)N;
C02F101/30(2006.01)N
摘要
本发明公开了一种利用高浓度有机污水制备甲醇的方法,第一步:植物素补碳除臭,S1、将植物素按一定比例稀释后,通过喷雾器或雾化器将其喷洒到有机污水表面;S2、将经过植物素处理后的有机污水送入厌氧反应器,利用厌氧微生物将有机污水中的有机物转化为甲酸、乙酸等挥发性脂肪酸,并同时产生氢气和二氧化碳;S3、将厌氧反应器出水送入好氧反应器,利用好氧微生物将挥发性脂肪酸进一步降解为无机盐,并同时消耗氢气和二氧化碳。本发明利用高浓度有机污水中难以处理的有机物和碳水化合物,结合植物素补碳除臭工艺,通过六级微生物深度处理后转化为甲醇半成品,再通过蒸馏工艺进一步蒸馏为成品甲醇。
权利要求书
1.一种利用高浓度有机污水制备甲醇的方法,其特征在于,包括以下步骤:第一步:植物素补碳除臭,S1、将植物素按一定比例稀释后,通过喷雾器或雾化器将其喷洒到有机污水表面;S2、将经过植物素处理后的有机污水送入厌氧反应器,利用厌氧微生物将有机污水中的有机物转化为甲酸、乙酸等挥发性脂肪酸,并同时产生氢气和二氧化碳;S3、将厌氧反应器出水送入好氧反应器,利用好氧微生物将挥发性脂肪酸进一步降解为无机盐,并同时消耗氢气和二氧化碳;S4、将好氧反应器出水经过沉淀、过滤后处理工艺;第二步:六级微生物深度处理,通过不同类型的微生物进行厌氧和好氧的生物反应,将有机污水中的有机物转化为甲酸、乙酸等挥发性脂肪酸,再经过费托合成法制备成甲醇半成品;第三步:蒸馏工艺,利用蒸馏塔将甲醇半成品中的水分和杂质分离出来,得到纯度较高的甲醇。
2.根据权利要求1所述的一种利用高浓度有机污水制备甲醇的方法,其特征在于,植物素与有机污水中的异味分子吸附、溶解,其反应时间为8-15小时。
3.根据权利要求1所述的一种利用高浓度有机污水制备甲醇的方法,其特征在于,植物素采用木醋液、植物油、植物精油其中任意一种或两种组合。
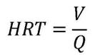
4.根据权利要求1所述的一种利用高浓度有机污水制备甲醇的方法,其特征在于,有机污水在厌氧反应器内部的时间通过以下公式计算:
式中:HRT为水力停留时间,单位为小时或天;V为反应器容积,单位为立方米;Q为进水流量,单位为立方米/小时或立方米/天。
5.根据权利要求1所述的一种利用高浓度有机污水制备甲醇的方法,其特征在于,六级微生物分别是:第一级:厌氧产氢菌,将有机污水中的多糖、蛋白质、脂肪等大分子有机物水解为单糖、氨基酸、脂肪酸等小分子有机物,并同时产生氢气;第二级:厌氧产乙酸菌,将小分子有机物进一步转化为乙酸、二氧化碳和更多的氢气;第三级:厌氧产甲酸菌,将乙酸和二氧化碳还原为甲酸和水,并消耗部分氢气;第四级:厌氧产甲烷菌,将甲酸和更多的二氧化碳还原为甲烷和水,并消耗更多的氢气;第五级:好氧产合成气菌,将甲烷和空气中的氧进行部分氧化反应,生成合成气;第六级:好氧产甲醇菌,利用特殊的催化剂,将合成气中的一氧化碳和氢进行费托合成反应,生成甲醇半成品。
6.根据权利要求1所述的一种利用高浓度有机污水制备甲醇的方法,其特征在于,甲醇半成品在蒸馏塔中经过加热、汽化、冷凝、回流过程,根据不同物质的沸点和相对挥发性,实现分级分离。
7.根据权利要求6所述的一种利用高浓度有机污水制备甲醇的方法,其特征在于,甲醇半成品在蒸馏塔的加热温度以及冷凝温度通过以下公式计算:
TH=TB+ΔTH
TC=TD-ΔTC
式中:TH为加热温度,单位为摄氏度;TC为冷凝温度,单位为摄氏度;TB为甲醇半成品的沸点,单位为摄氏度;TD为甲醇半成品的露点,单位为摄氏度;ΔTH为加热侧传热温差,单位为摄氏度;ΔTC为冷凝侧传热温差,单位为摄氏度。
发明内容
本发明的目的之一在于提供一种利用高浓度有机污水制备甲醇的方法,通过对有机污水的处理,能够获得纯度较高的甲醇,对有机污水加以利用,使其能够具有更好的处理方法。
为实现以上目的,本发明通过以下技术方案予以实现:一种利用高浓度有机污水制备甲醇的方法,包括以下步骤:
第一步:植物素补碳除臭,
S1、将植物素按一定比例稀释后,通过喷雾器或雾化器将其喷洒到有机污水表面;
S2、将经过植物素处理后的有机污水送入厌氧反应器,利用厌氧微生物将有机污水中的有机物转化为甲酸、乙酸等挥发性脂肪酸,并同时产生氢气和二氧化碳;
S3、将厌氧反应器出水送入好氧反应器,利用好氧微生物将挥发性脂肪酸进一步降解为无机盐,并同时消耗氢气和二氧化碳;
S4、将好氧反应器出水经过沉淀、过滤后处理工艺;
第二步:六级微生物深度处理,通过不同类型的微生物进行厌氧和好氧的生物反应,将有机污水中的有机物转化为甲酸、乙酸等挥发性脂肪酸,再经过费托合成法制备成甲醇半成品。
第三步:蒸馏工艺,利用蒸馏塔将甲醇半成品中的水分和杂质分离出来,得到纯度较高的甲醇。
在本发明一或多个实施方式中,上述的植物素与有机污水中的异味分子吸附、溶解,其反应时间为8-15小时。
在本发明一或多个实施方式中,上述的植物素采用木醋液、植物油、植物精油其中任意一种或两种组合。
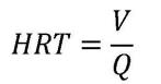
在本发明一或多个实施方式中,上述的有机污水在厌氧反应器内部的时间通过以下公式计算:![]()
式中:
HRT为水力停留时间,单位为小时或天;V为反应器容积,单位为立方米;Q为进水流量,单位为立方米/小时或立方米/天。
在本发明一或多个实施方式中,上述的六级微生物分别是:
第一级:厌氧产氢菌,这些菌可以将有机污水中的多糖、蛋白质、脂肪等大分子有机物水解为单糖、氨基酸、脂肪酸等小分子有机物,并同时产生氢气;
第二级:厌氧产乙酸菌,这些菌可以将小分子有机物进一步转化为乙酸、二氧化碳和更多的氢气;
第三级:厌氧产甲酸菌,这些菌可以将乙酸和二氧化碳还原为甲酸和水,并消耗部分氢气;
第四级:厌氧产甲烷菌,这些菌可以将甲酸和更多的二氧化碳还原为甲烷和水,并消耗更多的氢气;
第五级:好氧产合成气菌,这些菌可以将甲烷和空气中的氧进行部分氧化反应,生成合成气;
第六级:好氧产甲醇菌,这些菌可以利用特殊的催化剂,将合成气中的一氧化碳和氢进行费托合成反应,生成甲醇半成品。
在本发明一或多个实施方式中,上述的甲醇半成品在蒸馏塔中经过加热、汽化、冷凝、回流过程,根据不同物质的沸点和相对挥发性,实现分级分离。
在本发明一或多个实施方式中,上述的甲醇半成品在蒸馏塔的加热温度以及冷凝温度通过以下公式计算:
TH=TB+ΔTH
TC=TD-ΔTC
式中:
c为加热温度,单位为摄氏度;TC为冷凝温度,单位为摄氏度;TB为甲醇半成品的沸点,单位为摄氏度;TD为甲醇半成品的露点,单位为摄氏度;ΔTH为加热侧传热温差,单位为摄氏度;ΔTC为冷凝侧传热温差,单位为摄氏度。
有益效果
本发明提供了一种利用高浓度有机污水制备甲醇的方法。与现有技术相比具备以下有益效果:
1、本发明利用高浓度有机污水中难以处理的有机物和碳水化合物,结合植物素补碳除臭工艺,通过六级微生物深度处理后转化为甲醇半成品,再通过蒸馏工艺进一步蒸馏为成品甲醇;而植物素补碳除臭增加有机污水中的可生化性和微生物活性,同时,有效地去除有机污水中的硫化氢、氨氮等臭气成分,提高有机污水的处理效率和质量,减少后续反应的能耗和污染。
(发明人:姚春德;刘生全;余强;游易霖;姚安仁)






