《生活垃圾填埋场污染控制标准》(GB16889—2008)实施以来,由于“生化+膜滤”组合工艺具有同步去除有机物与无机盐的优势,已被广泛应用于国内生活垃圾填埋场的垃圾渗滤液处理中。然而,膜工艺中废水回收率通常为60%~80%,会产生20%~40%的膜浓缩液。垃圾渗滤液浓缩液成分复杂,具有有机物含量高、可生化性差、盐度高并含有一定量重金属的特点,处理不当容易造成二次污染。目前,回灌是垃圾渗滤液膜浓缩液的主要处置方式,但回灌次数增加会导致前端膜系统通量降低、膜的使用寿命减少等问题,最终影响系统的整体运行效果。因此,回灌法并不能从根本上解决垃圾渗滤液膜浓缩液的问题,亟需更加安全有效的方法实现对这类废水的高效处理。
高级氧化技术通过产生强氧化性自由基,如羟基自由基(·OH),可有效分解难降解有机物,使其断链转化为小分子物质,最终矿化成CO2与H2O,已被广泛应用于各类实际废水处理中。芬顿技术作为一种简单、高效的高级氧化技术有望应用于垃圾渗滤液及其膜浓缩液的处理中,但因其药剂投加量大、产生污泥多的缺点而一直未在膜浓缩液处理领域被推广。紫外光芬顿(UVFenton)是一种高级氧化技术,相比于传统芬顿技术,紫外光能有效加速Fe(Ⅲ)与Fe(Ⅱ)的循环过程、提升·OH产生速率,在有效提高污染物去除效果的同时能降低亚铁试剂的用量,降低二次污染风险。徐?士采用UVFenton处理垃圾渗滤液膜浓缩液时,COD去除率为73.1%。随着紫外光源技术的发展,更高功率的低压紫外汞灯可以在有效提升COD去除率的同时降低药剂投加量,有望替代传统低功率低压紫外汞灯应用于水处理行业。张禾苏研究发现,在相同药剂投加量下,提升紫外光源功率对氯苯和环己酮的去除率有显著提升。但上述研究在提高紫外芬顿中紫外光源功率对处理浓缩液效果的影响并不充分,缺乏中试工艺条件的优化及污染物微观变化分析。
笔者以深圳某垃圾填埋场渗滤液膜浓缩液作为研究对象,通过正交试验优化高功率紫外光芬顿(HP-UVFenton)处理膜浓缩液的工艺条件,并利用三维荧光光谱(EEM)与轨道离子阱高分辨质谱(OrbitrapMS)分析HP-UVFenton与低功率紫外光芬顿(LP-UVFenton)对膜浓缩液中DOM去除转化的影响。在此基础上,提出高效处理垃圾渗滤液膜浓缩液的可行工艺。
1、材料与方法
1.1 试验水质
试验用水来自深圳某生活垃圾填埋场渗滤液生化处理出水纳滤膜浓缩液(简称膜浓缩液)。该膜浓缩液的水质参数如下:COD为2120mg/L,TOC为921mg/L,总氮为238mg/L,BOD5为0.06mg/L,pH为7.6。经过聚合氯化铝(PAC)与聚丙烯酰胺(PAM)混凝沉淀处理后,出水参数如下:COD为1980mg/L,TOC为882mg/L,总氮为221mg/L,BOD5为0.08mg/L。下述试验如未经特殊说明均为上述混凝沉淀出水。
1.2 UVFenton反应装置
UVFenton反应装置为自制半自动化中试设备,主要包括反应腔体、石英套管、紫外光源(低功率光源LP:30W低压紫外汞灯;高功率光源HP:300W低压紫外汞灯)、冷却腔体、紫外辐照检测器、蓄水箱等。紫外反应器的腔体容积为2.5L,石英管壁至反应腔内壁宽度为25mm,外置蓄水箱容积为75L,蓄水箱内置搅拌桨。试验装置如图1所示。

1.3 试验方法
试验开始前,打开紫外光源(LP灯管、HP灯管)预热15min,通过控制紫外光源工作时长调控系统紫外输入能量。膜浓缩液进入UVFenton反应装置前,对其进行混凝沉淀处理,取25L上清液置于蓄水箱中,用硫酸调节pH至试验条件,并依次加入一定量FeCl2和双氧水,打开循环水泵开始试验。运行4h后,取样调节pH至8并添加PAM,静置1h后取上清液,测定COD、TOC、TN、BOD5等指标。混凝沉淀所用混凝剂为10%聚合氯化铝(PAC),所用絮凝剂为0.1%的聚丙烯酰胺(PAM),试验中所用双氧水(27.5%)、FeCl2·4H2O、NaOH、H2SO4、PAC、PAM等均为市售分析纯级。
采用正交试验的方法,以COD去除率为试验指标,获取HP-UVFenton最优的工艺参数。针对UVFenton体系中pH、H2O2投加量、Fe(Ⅱ)投加量、紫外灯能耗4个因素,设置三水平正交试验,其中,pH设为2、3、4,H2O2投加量设为0.08、0.16、0.32mol/L,Fe(Ⅱ)投加量设为0.01、0.03、0.09mol/L,紫外灯能耗设为0.75、1.4、2.8kW·h/m³。
1.4 检测项目及方法
COD采用《水质化学需氧量的测定快速消解分光光度法》(HJ/T399—2007)测定;溶解性总有机碳(TOC)、TN采用有机碳测试仪测定;BOD5采用《水质五日化学需氧量(BOD5)的测定稀释与接种法》(HJ505—2009)测定。BOD5/COD(B/C)代表水样的可生化性,B/C值越高,水样可生化性越好。进行三维荧光光谱(EEM)分析时,将待测水样稀释至TOC为10mg/L,在激发波长(λEx)为200~500nm与发射波长(λEm)为250~550nm范围内测试荧光响应,其中扫描间隔为5nm,扫速为6000nm/min。
溶解性有机物(DOM)的提取:分别取一定量膜浓缩液、HP-UVFenton出水、LP-UVFenton出水,按照文献的方法提取DOM。
OrbitrapMS测定:提取的DOM样品按照文献中的方法进行轨道离子阱高分辨质谱分析。对于质谱测试结果,使用MATLAB算法匹配分子式,并将匹配范围限制在C1~50H1~120O1~50N0~5S0~3P0~2Cl0~3的组合内。
2、结果与讨论
2.1 HP-UVFenton工艺条件优化
HP-UVFenton处理垃圾渗滤液膜浓缩液正交试验结果见表1。Fe(Ⅱ)与H2O2反应可产生·OH,故Fe(Ⅱ)与H2O2的投加量直接影响·OH产量。紫外光的存在能促进UVFenton反应过程中Fe(Ⅲ)与Fe(Ⅱ)的循环,并促进H2O2产生·OH。pH会影响芬顿反应速率,所以UVFenton反应过程中上述4个因素均可影响反应效率。由表1可知,极差分析中4个因素的极差排序为Fe(Ⅱ)投加量>H2O2投加量>灯能耗>pH。所以在HP-UVFenton过程中,对COD去除率影响的主次顺序为Fe(Ⅱ)投加量、H2O2投加量、灯能耗、pH。比较同一因素下Ki发现,HP-UVFenton取得COD去除率最高的试验条件如下:pH为3、H2O2投加量为0.32mol/L、Fe(Ⅱ)投加量为0.03mol/L、灯能耗为2.8kW·h/m³。对正交分析中得到的最佳条件进行验证,得出在该条件下COD去除率为85%,略优于试验组中第9组的最佳去除率83%。由于在第9组试验条件下COD去除率已经达到较高水平,水体中大部分有机物被有效去除,继续增加H2O2投加量对污染物去除效果的提升有限,所以在正交试验最佳条件下污染物的去除效果没有明显提升。

考虑实际经济成本,以第9组试验条件作为HP-UVFenton处理膜浓缩液的最优反应条件,即pH为4、H2O2投加量为0.08mol/L、Fe(Ⅱ)投加量为0.03mol/L、灯能耗为2.8kW·h/m³,在此条件下出水COD为336mg/L、TOC为326mg/L、总氮为134.81mg/L、BOD5提升至84mg/L,即COD去除率为83%、TOC去除率为63%、总氮去除率为39%、B/C提升至0.25。
2.2 HP-UVFenton与LP-UVFenton效能分析
2.2.1 处理效果分析
在pH为4、H2O2投加量为0.08mol/L、Fe(Ⅱ)投加量为0.03mol/L、灯能耗为2.8kW·h/m³条件下,对比HP-UVFenton和LP-UVFenton处理垃圾渗滤液膜浓缩液的性能,结果如图2所示。可以看出,同等条件下HP-UVFenton体系中COD去除率达到83%,比LP-UVFenton高13%;TOC去除率为63%,比LP-UVFenton体系高12%;在TN去除率方面,两者无明显差异;对于可生化性而言,HP-UVFenton出水B/C值为0.25,而LP-UVFenton为0.15。UVFenton反应过程中对污染物的去除主要依靠式(1)中产生的·OH。在相同的药剂投加量下,LP-UVFenton和HP-UVFenton对污染物的去除效果存在差异性的主要原因可能是,两个体系中紫外光对铁循环的促进效果不同,导致了体系中·OH的稳态浓度存在差异。


在LP-UVFenton体系中,低压紫外光源只能产生波长为254nm的紫外线,此波段紫外线能够促进Fe(Ⅲ)向Fe(Ⅱ)还原,提高了体系中Fe(Ⅱ)的稳态浓度并可有效提高·OH的产率。而在HP-UVFenton体系中,高功率的紫外光源可以发射出200~400nm的宽波段紫外光,其中UVB段(280~320nm)的紫外光能够更快速地将Fe(Ⅲ)还原为Fe(Ⅱ),获得比LP-UV条件下更高的Fe(Ⅱ)和·OH稳态浓度。因此,在相同的试验条件下,HP-UVFenton对COD和TOC的去除率以及生化性的提升效果均要优于LP-UVFenton。‘2.2.2三维荧光光谱分析
为了评估HP-UVFenton和LP-UVFenton体系膜浓缩液中DOM的变化,分别对膜浓缩液、HP-UVFenton出水、LP-UVFenton出水进行EEM检测,结果如图3所示。将EEM谱图划分为5个区域,其中Ⅰ区为第1类芳香族蛋白类物质,Ⅱ区为第2类芳香族蛋白类物质,Ⅲ区为类腐殖酸,Ⅳ区为微生物代谢产物,Ⅴ区为类富里酸。浓缩液样品的荧光吸收峰主要分布在Ⅲ区和Ⅴ区,说明该膜浓缩液中以类富里酸和类腐殖酸等大分子物质居多,还有少量分布在Ⅳ区和Ⅱ区的溶解性微生物代谢产物和类色氨酸。经过UVFenton处理后,膜浓缩液中类富里酸、类腐殖酸、微生物代谢产物等大分子有机物被大量去除,而类色氨酸等小分子物质的峰强度并无明显变化,可能是因为·OH与大分子有机物反应将其分解为小分子物质,但无法完全将小分子物质矿化,导致了小分子物质的累积。相比于LP-UVFenton,HP-UVFenton处理膜浓缩液后DOM的变化趋势存在一定差异。图3(b)中Ⅲ区(类腐殖酸)与Ⅴ区(类富里酸)的荧光峰响应值明显低于图3(c),说明HP-UVFenton对水中腐殖酸与富里酸的去除效果优于LP-UVFenton,这很可能是由于HP-UVFenton体系中Fe(Ⅱ)的稳态浓度更高,可以产生更多的·OH。

2.2.3 OrbitrapMS分析
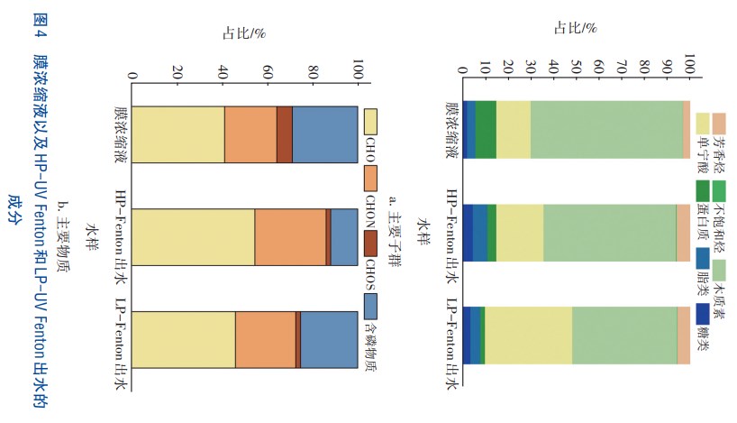
考虑到EEM只能识别具有荧光特性的DOM,而膜浓缩液中可能还存在大量无荧光特性的DOM,所以利用高分辨质谱OrbitrapMS进一步对DOM进行表征。通过对OrbitrapMS数据进行分子式识别,从分子水平分析了膜浓缩液中DOM的组分特征,对比了HP-UVFenton与LP-UVFenton处理膜浓缩液过程中DOM的变化规律。对污水中的化合物根据元素组成(C、H、O、N、S、P等)进行分类,包括含有CHO、CHON、CHOS和磷的化合物,其中CHO和CHON化合物是3种水样中的主要物质,如图4所示。CHO和CHON化合物在膜浓缩液、HP-UVFenton出水以及LP-UVFenton出水中的占比分别为64.3%、86%、72.7%。进一步分析图4还可以发现,HP-UVFenton体系对CHON与含磷化合物的去除率相比LP-UVFenton要高。结合上述HP-UVFenton过程中·OH浓度高于LP-UVFenton的推测,在紫外光芬顿法处理膜浓缩液过程中,·OH更容易攻击含S、P类化合物。

为了更清楚地了解UVFenton过程中膜浓缩液中DOM的变化趋势,以O/C(各分子式中O和C的原子数量比)为横坐标、H/C为纵坐标绘制DOM成分的V-K(VanKrevelen)图,并根据O/C和H/C的范围将V-K图划分为7个区域,各区域代表不同的DOM组分(糖类、蛋白质、脂类、单宁酸、木质素、不饱和烃、芳香烃),结果如图5所示。其中,O/C越大或者H/C越小代表物质具有更高的氧化程度或更低的键饱和度,在以·OH为主要氧化剂的体系中,氧化程度高的物质更难被去除。

从图5可以看出,HP-UVFenton出水中O/C>0.6的单宁酸区域中物质数量为857个,少于LPUVFenton出水的1152个,表明HP-UVFenton体系对膜浓缩液中高氧化度的物质有更好的去除效果。虽然·OH对高氧化度物质的氧化能力有限,但HPUVFenton体系中·OH的浓度高于LP-UVFenton体系,所以HP-UVFenton体系中这种更高的去除效果应该归因于高浓度的·OH。
对比HP-UVFenton和LP-UVFenton出水以及膜浓缩液的DOM,筛选出了两个UVFenton过程中保留、去除和生成的分子式并绘制V-K图,见图6。

LP-UVFenton体系中去除的物质(红点)有91%集中在低氧化度区域(O/C0.6)占比为47%,这与图4(a)中观察到的单宁酸在HP-UVFenton体系中含量要远低于LP-UVFenton体系一致。以上结果说明,·OH在浓度低时会优先与低氧化度的物质发生反应并生成高氧化度物质,由于LP-UVFenton体系中·OH含量有限,大部分与低氧化度的物质反应,而不能与高氧化度的物质反应,但在HP-UVFenton体系中,高浓度·OH保证了低氧化度和高氧化度的物质均被反应去除。
通过计算HP-UVFenton和LP-UVFenton的出水样品中O/C、H/C、双键当量的加权平均数(O/Cwa、H/Cwa、BDEwa),进一步证实HP-UVFenton对浓缩液中DOM的去除效果。O/Cwa、H/Cwa分别表示样品DOM氧化程度与H键的饱和程度,BDEwa表示样品DOM中双键当量。O/C值越大表示水样中DOM氧化程度越高,O/H值越大则表示DOM氢键饱和程度越高,BDE值越大代表样品中DOM双键当量越高。计算方法参照文献。经计算,膜浓缩液的O/Cwa值为0.549,H/Cwa值为1.231,BDEwa值为6.378;HP-UVFenton出水的O/Cwa值为0.619,H/Cwa值为1.204,BDEwa值为5.730;LP-UVFenton出水的O/Cwa值为0.658,H/Cwa值为1.189,BDEwa值为5.869。HP-UVFenton与LP-UVFenton的差别表明,HPUVFenton出水中DOM整体的氧化程度低于LPUVFenton的。HP-UVFenton的BDEwa值低于LP-UVFenton,说明HP-UVFenton出水中DOM物质的不饱和度低于LP-UVFenton,HP-UVFenton体系去除的物质中高氧化度物质(O/C>0.6)占比为47%,由于稳态浓度较高的·OH对于DOM中高氧化度的物质有去除效果,使HP-UVFenton中部分高氧化度的物质被彻底矿化,导致HP-UVFenton出水中DOM的氧化程度低于LP-UVFenton。
2.3 成本分析
HP-UVFenton与LP-UVFenton在pH为4、H2O2投加量为0.08mol/L、Fe(Ⅱ)投加量为0.03mol/L、灯能耗为2.8kW·h/m³的条件下,处理成本均为58.01元/m3,双氧水为主要成本支出,占总成本的70.7%,在相同处理成本下HP-UVFenton对污染物的去除效果优于LP-UVFenton。
3、结论
①采用HP-UVFenton工艺处理膜浓缩液时,通过正交试验确定优化条件如下:pH为4、H2O2投加量为0.08mol/L、Fe(Ⅱ)投加量为0.03mol/L、灯能耗为2.8kW·h/m³、处理时间为4h,在此条件下对COD、TOC、总氮的去除率分别为83%、63%、39%,BOD5提升至84mg/L。
②在同等加药量与能耗情况下,与LP-UVFenton相比,HP-UVFenton对膜浓缩液中COD的去除率高13%,对TOC的去除率高12%,对TN的去除率无明显区别。在可生化性方面,HP-UVFenton出水的B/C达0.25,而LP-UVFenton仅为0.15。
③HP-UVFenton对膜浓缩液中腐殖酸、富里酸等大分子有机物的去除效果更好。虽然·OH对高氧化度物质的去除率低,但相比LP-UVFenton,由于HP-UVFenton产生的·OH浓度较高,对高氧化度物质与含S、P化合物的去除效果远优于LP-UVFenton,因此HP-UVFenton更适用于物质成分复杂的垃圾渗滤液膜浓缩液的处理。
④在相同运行成本下,使用HP-UVFenton处理膜浓缩液时,对浓缩液中污染物的去除和生化性提升效果优于LP-UVFenton,出水水质可满足生化系统纳入要求,浓缩液处理成本为58.01元/m3,双氧水成本较高,占整个运行成本的70.7%。(来源:广东工业大学生态环境与资源学院大湾区城市环境安全与绿色发展教育部重点实验室,深圳市盘古环保科技有限公司)



