我国是水产养殖业大国,养殖水回用与尾水排放已成为行业重点关注的环保问题。臭氧氧化法可有效灭活影响养殖的病原微生物,同时可降低水中固体悬浮物含量并氧化降解部分有机物,是实际生产中应用效果良好的处理方法。然而在处理过程中,臭氧的使用量难以精准调控,过量投加会导致水中臭氧残留,对水生生物产生毒性,影响牙鲆鱼等养殖动物生长,因此有必要对处理后养殖水中残留的臭氧进行处理。
水中残留臭氧可通过催化法分解,目前与臭氧相关的催化剂研究主要集中在催化臭氧降解水中污染物方面,而直接催化分解臭氧的研究则相对较少,仅有α-FeOOH及二氧化铈等简单金属氧化物作为催化剂。近年来,金属氧化物催化剂表面结构缺陷作为催化活性点位的研究逐渐兴起,研究热点包括氧空位和晶体边缘缺陷等。其中氧空位因具有催化活性高、构建方法多、方便调控等特点,在臭氧催化材料设计过程中被广泛提及,但未见将其应用于水中臭氧分解的相关报道,因此探究以氧空位为主要活性点位的金属氧化物在臭氧分解中的催化活性作用具有重要意义。
笔者以α-MnO2为参照,通过硫酸蚀刻法制备了富含氧空位的α-MnO(2α-MnO2-OV),并用于臭氧分解,其表现出了高催化臭氧分解活性和稳定性,同时通过相关表征方法探讨了氧空位在臭氧分解中的作用。此外,还对影响臭氧分解的条件因素(温度、pH、催化剂投量、臭氧浓度、阴离子)进行了系统考察,旨在为臭氧氧化后水中残留臭氧分解问题提供解决方案。
1、材料与方法
1.1 实验试剂
实验试剂包括靛蓝、氢氧化钠、盐酸、高氯酸、30%过氧化氢、硝酸锰、硫酸等。
1.2 催化剂的制备
α-MnO2的制备方法:将50mL含有0.6mol/LNaOH和2mol/LH2O2的溶液与50mL含有0.3mol/LMn(NO3)2的溶液迅速混合,于室温下搅拌25min后得到黑棕色悬浮液,陈化1h。将滤后沉淀水洗后分散于2mol/LNaOH溶液中,再转移至水热反应釜中,于150℃条件下密闭水热16h。将水热处理后的悬浮液进行过滤、水洗、干燥。将干燥后的黑色固体分散于0.1mol/LHCl溶液中,于室温下处理3d。将处理后的悬浮液过滤、水洗、干燥,即可得到α-MnO2。
α-MnO2-OV的制备方法:将α-MnO2粉末加入到H2SO4中,其中H2SO4与α-MnO2的物质的量之比为14.4,在马福炉中以2℃/min的速率加热至110℃焙烧2h。将所得黑色固体用蒸馏水洗涤后放入60℃烘箱中干燥,制得α-MnO2-OV。
1.3 催化剂的表征
利用X射线衍射仪(XRD)分析催化剂的物相结构;利用扫描电子显微镜(SEM)观察催化剂的形貌结构;利用X射线光电子能谱仪(XPS)分析元素价态;利用傅里叶变换红外光谱仪(FTIR)分析催化剂表面官能团;利用电子顺磁共振(EPR)测定催化剂含有的氧空位。
1.4 实验方法
将高纯氧气通入臭氧发生器后产生臭氧,再将臭氧气体通入低温超纯水中制得高浓度臭氧溶液,并置于臭氧储存容器中。容器中含有1.5L去离子水,由恒温槽将容器温度保持在277K。
采用静态实验方法测定臭氧分解效能。实验在150mL锥形瓶中进行,将一定量的去离子水和催化剂依次加入锥形瓶中,通过添加高氯酸或氢氧化钠来调整溶液pH,从臭氧储存容器中取出一定体积的臭氧水加入锥形瓶中,混合均匀后启动实验。在设定的采样时间点采集水样,并立即用0.22μm聚四氟乙烯过滤器进行过滤。滤液与靛蓝溶液混合后加至石英玻璃比色皿内,在610nm处用紫外分光光度计测定吸光度,并计算相应的臭氧浓度。锥形瓶中的催化剂在反应后通过抽滤收集,用去离子水洗涤3次后用于稳定性测试。
2、结果与讨论
2.1 催化剂的物化性质
2.1.1 表面形貌
通过SEM对α-MnO2和α-MnO2-OV催化材料的形貌特征进行表征,发现α-MnO2和α-MnO2-OV均为堆叠的纳米棒结构,经过硫酸处理的α-MnO2-OV相较于α-MnO2显示出更宽的直径,且纳米棒表面变得粗糙,这表明α-MnO2-OV催化剂表面有望暴露更多的催化活性点位。
2.1.2 晶体结构
图1为α-MnO2和α-MnO2-OV的XRD图谱。可知,样品在2θ分别为12.6°、17.8°、25.22°、28.7°、37.5°、41.88°、49.8°、55.96°、60.1°、65.1°、69.12°处存在衍射峰,分别与α-MnO(2JCPDS44-0141)中的(110)、(200)、(220)、(310)、(211)、(301)、(411)、(600)、(521)、(002)、(541)晶面一一对应,且谱图中无杂峰存在,表明α-MnO2制备成功。经过硫酸蚀刻后,α-MnO2-OV催化材料(211)晶面的特征衍射峰向较低角度偏移,推测该晶格结构的变化是由氧空位的存在所导致。

2.1.3 表面元素组成
α-MnO2和α-MnO2-OV的XPS光谱如图2所示。由图2(a)可知,两种催化剂主要是由Mn和O两种元素组成,且在84、529和642eV处表现出明显的特征峰,分别对应于Mn3s、O1s和Mn2p的结合能。

由图2(b)可知,不对称的Mn2p3/2峰在641.5和642.7eV处可以解卷积成两个峰,分别归属于表面的Mn3+和Mn4+。α-MnO2-OV的Mn3+/Mn4(+物质的量之比,1.98)大于α-MnO2的(1.28)。当Mn3+含量增加时,由电中和原理可知,为了保持电荷平衡,MnO2失去了部分氧,氧原子受热从锰氧化物的结构中脱离出来,导致催化剂的结构产生了更多的氧空位,而这些氧空位有利于臭氧与催化剂的结合并发生反应。
Mn的氧化态与催化剂中的氧空位含量密切相关,在MnO2中,氧化态的降低可能会导致氧空位的增多。结合图2(c)和文献计算可知,α-MnO2-OV中Mn的平均氧化态(AOS)为3.19,小于α-MnO2的AOS(3.36),表明α-MnO2-OV催化剂表面的氧空位含量高于α-MnO2,这与Mn3+/Mn4+的结果相一致。
通过图2(d)可以区分两种表面氧,529.1eV的峰值可归因于晶格氧(OⅠ),而较高的结合能530.5~530.7eV可归因于氧空位(OⅡ)。α-MnO2的OⅡ含量为51.2%,α-MnO2-OV的OⅡ含量为56.8%,进一步证明硫酸蚀刻后α-MnO2表面含有更丰富的氧空位。有研究表明,氧空位数量的增多有利于提高催化剂的臭氧分解活性。
2.1.4 表面官能团与氧空位
α-MnO2和α-MnO2-OV的FTIR光谱如图3所示。可知,α-MnO2和α-MnO2-OV在3424cm−1处有一个宽而强的吸收峰,这是由于—OH的伸缩振动。1626和1085cm−1处为Mn—OH的弯曲振动,表明α-MnO2和α-MnO2-OV是表面含有大量羟基的锰氧化物。590cm−1为Mn—O的弯曲振动,表明存在MnO2分子晶胞。经过硫酸蚀刻后,α-MnO2-OV在1085和590cm−1处的峰强度明显变小,3424cm−1处的峰变得平滑,表明—OH、Mn—OH、Mn—O可能参与了硫酸蚀刻过程中氧空位的构造。

EPR光谱分析表明,两种催化剂材料在磁场强度为2.003×10-4T处都检测出了EPR信号,这是由氧空位捕获的未配位电子引起的。催化材料氧空位含量与该处EPR信号峰的强度密切相关,因此相较于α-MnO2,α-MnO2-OV具有更高含量的氧空位,这一结果可与XPS分析结果相互论证。
2.2 催化剂活性评价
2.2.1 不同催化剂分解臭氧的效能
在pH为7、温度为4℃、催化剂投量为0.05g/L、臭氧浓度为3mg/L的条件下,不同催化剂对臭氧的分解效果如图4所示。

由图4可以看出,反应30min以后α-MnO2和α-MnO2-OV对臭氧的分解率分别为71.9%和98.0%,而单一臭氧体系的臭氧分解率仅为15.1%。通过拟一级动力学方程拟合臭氧分解曲线发现,臭氧的分解在有无催化剂的情况下都较好地遵循一级动力学,其中α-MnO2-OV的拟一级动力学结果表现为两段式,将催化剂种类按拟一级动力学反应速率常数进行排序:α-MnO2-OV(1.6323min−1)>α-MnO(20.0391min−1)>无催化剂(0.0047min−1),即α-MnO2-OV体系的臭氧分解速率分别比α-MnO2体系和直接臭氧体系提高了42和347倍。由此可知,α-MnO2-OV分解臭氧的速率远高于α-MnO2催化臭氧体系和单一臭氧体系,说明α-MnO2-OV具备高效催化臭氧分解的能力。
2.2.2 催化剂投量对臭氧分解的影响
为考察催化剂投量对臭氧分解的影响,在温度为4℃、pH为7、臭氧浓度为3mg/L的条件下,考察催化剂投量对臭氧分解的影响,结果如图5所示。可知,反应30min后,未投入催化剂组的臭氧分解率为15.1%,而加入0.01g/L的α-MnO2或α-MnO2-OV催化剂后,臭氧分解率即可提高至59.1%和90.0%。进一步增加催化剂投量,臭氧分解率逐渐升高,但效果有限。另外,值得注意的是,α-MnO2-OV在0.05g/L投量下的臭氧分解率已达98.0%,继续增加催化剂投量对臭氧分解率没有显著提高效果。综合考虑催化效果和经济成本,确定催化剂的最佳投量为0.05g/L。

2.2.3 温度对催化剂分解臭氧的影响
一般而言,温度的升高有利于催化反应的进行。在pH为7、臭氧浓度为3mg/L、催化剂投量为0.05g/L的条件下,考察温度对催化剂分解臭氧的影响,结果如图6所示。

由图6可以看出,在反应30min内,α-MnO2和α-MnO2-OV对臭氧的分解率随着温度的升高而增大。但是,温度对催化剂α-MnO2-OV分解臭氧的影响并不显著,在5、15、25℃下对臭氧的分解率分别为92.1%、100%和100%,且不同温度下臭氧的分解都较为迅速,这说明α-MnO2-OV催化臭氧分解受温度的影响较小。
2.2.4 pH对催化剂分解臭氧的影响
在温度为4℃、催化剂投量为0.05g/L、臭氧浓度为3mg/L的条件下,考察pH对催化剂分解臭氧的影响,结果如图7所示。

从图7可以看出,反应30min以后,与中性环境相比,酸性条件下对臭氧的分解起到抑制作用,碱性环境则可以促进臭氧的分解。在pH为3的条件下,α-MnO2、α-MnO2-OV、单一臭氧体系对臭氧的分解率分别为55.0%、69.0%和17.1%。此时催化剂并没有表现出较强的催化活性,这可能是由于α-MnO2和α-MnO2-OV在酸性条件下表面被质子化程度较强,臭氧分子亲电特性使其不容易被吸附到催化剂的表面,因而抑制α-MnO2、α-MnO2-OV参与催化反应。然而,实验过程中,在pH为9的条件下,α-MnO2、α-MnO2-OV、单一臭氧体系对臭氧的分解率分别为81.2%、100%和39.0%。这是因为溶液呈碱性时,OH-会与臭氧结合并促使其分解,因而碱性条件下的臭氧分解速度相对于中性和酸性条件更快。
2.2.5臭氧浓度对催化剂分解臭氧的影响
在催化剂投量为0.05g/L、温度为4℃、pH为7的条件下,考察臭氧浓度对催化剂分解臭氧的影响,结果如图8所示。可以看出,在5mg/L的臭氧浓度下,投入α-MnO2-OV的体系反应30min后对臭氧的分解量高达4.75mg/L。可见,即便在高浓度臭氧条件下,α-MnO2-OV依然表现出了优异的催化性能,说明α-MnO2-OV可以用于分解水中高浓度的臭氧。

2.2.6 水中常见阴离子对催化剂分解臭氧的影响
养殖废水中通常含有硝酸盐、碳酸氢盐、氯盐等无机阴离子,可能会对臭氧的分解产生影响。为此,进一步考察了Cl−、NO3−、HCO3−三种水中常见无机阴离子对臭氧分解率的影响。当pH为7、温度为4℃、臭氧浓度为3mg/L、催化剂投量为0.05g/L、阴离子浓度为10μmol/L时,3种无机阴离子的引入均对α-MnO2、α-MnO2-OV催化臭氧分解产生了促进作用,其促进效果的排序为:HCO3−>NO3−>Cl−。当阴离子浓度进一步提高至50μmol/L时,影响效果和趋势总体保持不变,说明催化剂催化臭氧分解的效果随阴离子浓度变化的程度并不显著,这意味着在实际水体中α-MnO2、α-MnO2-OV催化剂具有较为稳定的催化分解臭氧效能。
2.3 臭氧分解机理
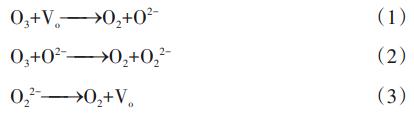
已有大量研究表明,氧空位是臭氧分解的反应点位,从图2(d)可知,α-MnO2催化剂反应前后的OⅡ占比分别为51.2%和46.2%,α-MnO2-OV催化剂反应前后的OⅡ占比分别为56.8%和51.5%。且α-MnO2和α-MnO2-OV的臭氧分解速率常数与OⅡ含量(氧空位)之间呈正相关,即氧空位的增多会导致其催化活性升高。结合XPS和EPR的结果发现,臭氧的分解机制遵循催化剂上氧空位的参与和再循环。当一个O3分子被吸附在氧空位(Vo)上时,一个O2分子将被释放出来,因此在氧空位上留下一个活性氧原子,见式(1)。随后,另一个O3分子会与活性氧原子发生反应,释放出另一个O2分子,从而形成过氧化物(O22−),见式(2)。过氧化物进一步分解为O2,从而恢复了氧空位,见式(3),这些氧空位又可以参与下一个循环分解臭氧。

2.4 催化剂的稳定性和可重复使用性
在相同的条件下进行4次循环回收实验,以分析α-MnO2和α-MnO2-OV的可重复使用性。首次实验时先向反应体系中投加0.05g新鲜催化剂,反应结束后进行抽滤收集剩余催化剂,用去离子水多次洗涤后,置于60℃烘箱中烘干称质量,不足0.05g的质量由新鲜催化剂补齐后再开展下一次循环实验。经过4次循环后,α-MnO2对臭氧的分解率由71.9%降至63.0%,α-MnO2-OV则保持在95.1%~98.0%之间。α-MnO2表现出轻微失活,这是由活性中心和含有机物表面的不可逆变化所致。对比来看,α-MnO2-OV体系的臭氧分解率在循环前后基本保持不变,表明α-MnO2-OV催化剂具有良好的可重复使用性。
对重复使用4次后的α-MnO2和α-MnO2-OV进行XRD和XPS表征,以探究催化剂表面结构的稳定性。结果表明,反应前后α-MnO2和α-MnO2-OV的XRD谱图中呈现的峰位置和峰型均未发生明显变化,也未生成新的晶面,这证明在催化臭氧分解的过程中,两种催化剂的结构均具有优异的稳定性。反应前后α-MnO2和α-MnO2-OV的XPS图谱表明,反应后α-MnO2和α-MnO2-OV的峰位置和峰值均与反应前基本相同,元素组成和价态基本不变。综上所述,α-MnO2和α-MnO2-OV在催化臭氧分解体系中具有表面结构和晶体结构的双重稳定性。
3、结论
①通过浓硫酸蚀刻法制备了富含氧空位的α-MnO2纳米材料(α-MnO2-OV),将α-MnO2和α-MnO2-OV用于催化臭氧分解,结果表明α-MnO2和α-MnO2-OV均具有优异的催化臭氧分解效果,其中α-MnO2-OV比α-MnO2具有更好的催化性能,这是因为α-MnO2-OV的结构中产生了更多的氧空位,可提供更多反应点位。两种催化剂的催化性能均随催化剂投量、pH、反应温度的升高而上升。水中无机阴离子对臭氧分解起促进作用,促进效果排序为:HCO3−>NO3−>Cl−。
②α-MnO2-OV表现出良好的持久催化活性,进行4次重复性实验后,其对臭氧的分解率基本保持不变,且催化剂表面结构和晶体结构在反应过程中均保持稳定。(来源:浙江工业大学环境学院浙江省工业污染微生物控制技术重点实验室,哈尔滨工业大学环境学院城市水资源与水环境国家重点实验室)



