水产养殖尾水及农田退水等农业面源污染由于来源广泛且分散、成分复杂、排除途径多样等特点,是农村水环境治理的痛点。农田退水沟渠是重要的基础水利设施,是存在于广大农田与受纳水体间的过渡地带,不仅承担着汇水、排水的作用,还具备一定程度的湿地净化水质功能,逐渐成为研究农业面源污染防控技术的热点。
ALEXANDER等、PETERSON等提出小型河道是氮、磷污染物控制的重要场所。目前,在养殖尾水和农田退水净化方面,已有研究通过对排水沟渠进行改造,使其兼具排水和湿地净化作用。田昌等发现生态沟渠在小流域农田排水中对总氮(TN)的拦截率达47%以上,对总磷(TP)的拦截率达54%以上。秦沂樟等研究发现长江流域农田不同类型生态排水沟渠对TN、TP的平均去除率分别为47.72%~58.18%、53.53%~58.22%。刘兴国等等实验发现生态沟渠对养殖水体中TN、TP、COD的去除率分别达到18.35%、17.39%、18.18%。
从已有研究来看,农田退水沟主要单独用于养殖尾水或者农田退水水质净化,目前鲜有将养殖尾水与农田退水统筹考虑、系统设计的工程案例。而实际上,水稻生长的需肥旺期与养殖需换水周期存在一定关联,通过合理规划,一方面可以充分利用农田及其退水沟的净化功能,另一方面减少养分流失,充分利用养殖尾水中的N、P等营养物质。
基于此,本研究设计了一套水产养殖-农田退水农业面源污染联合净化工艺,充分利用研究地块现状设施及资源,设计了包括生态净化沟渠、农田净化系统、景观湿地林在内的3个主要模块,旨在净化水体的同时利用污水中的营养物质,使得地块在原有生产功能的基础上兼具水质净化及景观风貌等功能。本研究成果和工程案例可为农业面源污染的联合净化处理提供借鉴。
1、研究区域概况
如图1所示,本研究选定区域位于上海市崇明区,占地面积466666.7m2,其中水产养殖260000m2(水面面积占60%),农田面积约133333.3m2,林地面积约48000m2。水产养殖品种主要为草鱼,套养鲢鱼。每年11月至次年的3月上旬为忙季,随后开展轮流清塘,次年3月底前完成晒塘,4月鱼苗入塘,鱼塘水深保持在1.2~2.2m。围绕鱼塘分布6条排水沟,河长240~830m,河宽14~20m,现状河深约1.4m。

水稻种植一季,种植周期为5—11月,泡田最高水位约10cm(6—7月),其余时间种植绿肥。农田区域内有8条南北向排水沟,每条沟宽6~8m、深1.0~1.2m、长270~300m,总槽蓄容量约8640m3,护岸和河底面积约16000m2,水面积约为15200m2,占农田面积8.8%。农田设有2个泵站,灌溉与排水皆经过泵站进行。
研究区域属于现代化农业建设项目区,水产养殖承包单位于2014年完成上海市标准化养殖池塘改造并采用绿色生态的养殖方式;种植业方面按照高标准农田建设并实现绿色生态循环种植。区域内废水来源主要为农田退水(种植水稻时期的灌溉排水)和水产养殖尾水。
2、参数确定与工艺设计
2.1水量及清淤量确定
1)养殖尾水。
研究区域有鱼塘23座,每年4—11月排水量少,主要考虑进水。11月中旬至次年3月为忙季,卖完一座塘的鱼后放水开始清塘,清塘时期水位保持在70cm左右。因此,每年11月到次年3月,排水量较大。为确保尾水净化和修复效果,工艺设计须考虑极端状况,即水质不变的情况下水量最大。
在非集中排水期(每年4月至11月中旬),通常售完一塘鱼即清塘,则假定1个月清2塘,15d排1塘水。设计水深2.0m,清塘水位保留在0.7m,根据式(1)计算排水量。

式中:V1为非集中排水期养殖尾水水量,m3·d−1;S为鱼塘面积,m2;h为水位降低高度,m;T为排一塘水的天数,d。根据式(1)计算得到非集中排水期养殖尾水水量为774.3m3·d−1。
在集中排水期(11月中旬至次年3月),23个鱼塘保留3个不清塘,假定6d排完一塘水,120d排完20塘。根据式(2)计算水量。

式中:V2为集中排水期养殖尾水水量,mS总3·d−1;为鱼塘总面积,m2;h为水位降低高度,m;T为排水总天数,d。根据式(2)计算得到集中排水期养殖尾水水量为2254.1m3·d−1。
2)农田退水。
水稻种植周期为5—11月上旬,退水水质最差、水量最大的时期通常出现在7月,此时泡水水位(最高浸泡水位)高度约10cm,根据式(3)计算最大农田退水水量。

式中:V农为排水期水稻种植退水水量,mS农h农3·d−1;为水稻种植的总面积,m2;为水位降低高度,m;T为排水总天数,d。根据式(3)计算得到排水期水稻种植退水水量为1904.9m3·d−1。
经计算,集中排水期排水量为2254.1m3·d−1;非集中排水期,鱼塘排水量与农田退水量总计2679.2m3·d−1。考虑到极端天气、农业生产发展等因素,取安全系数1.2,则总设计水量取3215m3·d−1。
3)清淤量。
鱼塘通常3~5a清淤1次,每次清淤20cm。假定3a清1次淤泥,每年3个塘不清塘,根据式(4)计算年淤泥总量。

式中:M为年淤泥总量,m3·a−1;S为需要清淤的鱼塘总面积,m2;a为清淤厚度,m;n为时间,a。根据式(4)计算得到清淤量为9017m3·a−1。
2.2水质测定
样点水体pH采用便携式多参数水质仪(SX725型,上海)现场测定,化学需氧量(以COD计)采用快速消解分光光度法(DR3900,HACH,USA)测定,总氮(TN)采用碱性过硫酸钾消解紫外分光光度法(GB/T11894-1989)测定,总磷(TP)采用钼酸铵分光光度法(GB/T11893-1989)测定。
根据《场地环境监测技术导则》及《地表水和污水监测技术规范》要求,并结合示范区域河道实际情况,使用塑料采样器在采样点表层下0.5m处采集水样,采集3个重复样品,分别盛于1L聚乙烯瓶内。采样前,用采样水多次润洗采样器与采样瓶,记录标签。现场采集的所有样品经检查清点无误后,对每个样品做好标记,置于装有充足冰袋的保温箱中,直至到达实验室。
2.3水质目标
2019年12月,对研究区域内养殖尾水水质进行监测,监测点位分别为121°311′E,31°67′N和121°308′E,31°68′N。结果表明,2个检测点的养殖尾水pH为8.29和3.89;COD值为48.73mg·L−1和45.67mg·L−1;TN浓度为3.73mg·L−1和3.89mg·L−1;TP浓度为0.38mg·L−1和0.45mg·L−1。根据《淡水养殖废水排放标准》(SC/T9101-2007),养殖尾水主要表现为COD和TN超标。
根据设计内容,在水稻种植季节(5—11月),农田退水也将排入整个处理系统,因此,还需考虑农田退水中污染物的叠加效应。如表1所示,长三角地区农田退水中COD值较低,主要考虑施肥过程带来的N、P污染,尤其是TN。

在TN去除方面,农田生态沟渠中氮的去除率通常在20%~90%,其中植物吸收部分占4%~11%,而微生物作用占89%~96%。这可能是由于生态排水沟渠主要依靠硝化和反硝化作用进行,容易受到如植被种类、沟渠类型、环境因子、进水浓度等不同条件影响,导致TN削减效率变化范围很大。因此,在设计TN出水目标时不宜制定过高标准,但同时也要体现环境保护的目的。
N出水目标时不宜制定过高标准,但同时也要体现环境保护的目的。表2为现行的三类环境管理水质标准,为便于分析讨论,有机物污染物方面统一以COD表示。其中《淡水养殖废水排放标准》(SC/T9101-2007)中指标为CODMn,执行一级标准时,要求CODMn≤15mg·L−1。根据测定经验,同一种水测得的COD值大约为CODMn的2~3倍,结合《地表水环境质量标准》(GB3838-2002)V类水管理标准,表中《淡水养殖废水排放标准》(SC/T9101-2007)中指标COD上限设置为40mg·L−1。

结合养殖尾水现状及长三角地区农田退水水质梳理,设计最终出水水质目标执行《淡水养殖废水排放标准》(SC/T9101-2007)一级标准,即COD≤40mg·L−1(根据CODMn换算)、TN≤3mg·L−1、TP≤0.5mg·L−1。
2.4工艺流程
1)工艺运行内容。
根据水稻种植及水产养殖排水与需水周期特点,设计两种运行模式。其中,每年11月至次年3月为水产养殖忙季,且农田中无作物生产,此时养殖尾水由新设管道进行收集,通过原稻田配水系统分配进入农田,由农田氧化塘系统进行净化。含有N、P等营养物质的养殖尾水进入农田后通过农田生态退水沟排入生态集水预处理沟;在水稻种植季节,农田退水也将一并进入生态集水预处理沟。4—10月为水产养殖淡季,此时养殖尾水排放较少,设计尾水不经过农田氧化塘,直接排入生态集水预处理沟。5月种植水稻,有3~4次干湿交替,此时浸泡水稻时由闸门控制引入生态集水预处理沟中水量,退水再一并进入处理系统净化。
经收集后的尾水(尾水+退水)将依次经过生态集水预处理沟、悬浮生态床沟、生态输水廊道、调节稳定生态沟,随后经水泵提升至景观湿地林,此时出水可直接排放,也可根据实际需求回补至生态集水预处理沟。本工艺流程及工艺各模块水流走向示意如图2和图3所示。


2)工艺设计特点。
对农田和鱼塘周边的排水沟道进行不同程度的改造,主要为清淤和边坡加固;在河底及护岸铺设生态透水砖;种植黄菖蒲、旱伞草、黄花鸢尾等挺水植物;种植金鱼藻、苦草等沉水植物,设计沉水植物覆盖率为河底面积20%~30%;投加河蚌、田螺等底栖生物。每条生态沟渠河面设置不同数量的生态浮床,通过植物和填料的共同作用去除污染物。同时生态浮床还能够有效地减缓风浪的冲击、减少水流短路,保障水体的净化和生态恢复效果。悬浮生态床生态沟是整个系统去除污染物的关键工艺单元。鱼塘定期清淤的污泥、调节稳定生态沟中沉降的淤泥可用于还林或还田。景观湿地林中落叶、生态浮床上定期收割的植物经过收集后,用于堆肥处置后还田。
2.5农田净化模块
农田净化模块由现状农田及农业退水沟渠组成,对农田中的8条退水沟进行改造,清淤后总槽蓄容量8640m3。养殖尾水中含有丰富的有机质与N、P等营养元素,这为将农田地块改造为农田氧化塘提供了良好的建设条件。加深周围田埂至15~25cm,水位设计维持在10cm左右,最短停留时间设计为2.5d,表面负荷为0.042m3·(m2·d)−1。
将鱼塘排放的养殖尾水通过农田的提升泵站与配水渠引入农田,利用水稻根、茎、叶等吸收、吸附以及拦截等功能,对养殖尾水中N、P等营养盐和颗粒物进行沉降以及吸收转化或利用。当农田处于排水期或无法接收尾水时,将养殖尾水直接排入生态集水预处理沟。
2.6净化沟渠模块
净化沟渠模块主要由4个部分组成,各模块设计参数如表3所示。1)生态集水预处理沟主要用于承接经过农田及农田退水沟渠的养殖尾水或水稻种植期的混合尾水,尾水在预处理沟阶段进行充分混合,并进行初步的净化。2)悬浮生态床退水沟是净化尾水的主要板块,经改造后其拥有最大的槽蓄容量,且设置了生态浮床、微孔曝气等装置,能快速、有效净化尾水。3)生态输水廊道用于连接悬浮生态床和调节稳定沟,主要解决混合尾水由于曝气带来的底泥悬浮及生物膜脱落而导致水体浊度升高的问题。4)调节稳定沟坡度设计为1%,用于进一步提高水体透明度。此处设置2个泥斗,设计每半年清理1次沉降淤泥,实际清理频次根据淤泥产生情况作相应调整。经过调节稳定沟的水体如果达标,可直接排放,如果不达标则通过泵提升,进入景观湿地林进一步净化。

2.7景观湿地林
景观湿地林由两块面积相当的林地组成,总面积约为48000m2,设计为交替运行,采用潜流湿地与表流湿地相结合的方式构建湿地林。将现有林地建设为潜流湿地林,在林地中设置表流湿地。在林地周围设置围隔,高度设置30cm。现有林地内种植大量的水杉,因此湿地木本植物以水杉为主,林带面积共6750m2。
在林地进水端设置生态配水渠,在湿地林中,每隔30m灵活设置导流系统防止短流;在出水端设置生态沟,经过多级跌水进入生态清水廊道。设计水力停留时间2d,改造后表流湿地水位保持在20cm,种植挺水植物2000m2,敷设砾石、鹅卵石、煤渣和沸石等混合填料50m3。再根据景观学需求和林木品种分布,设置观光生态栈道350m2,铺设透水砖750m2。在水杉落叶期,每月安排管护人员2次打捞水杉叶,在林地设计指定区域翻耕、堆肥、还田。
2.8清水生态廊道及其他配套组件
在2块交替运行的湿地林出水沟及进水套闸所在沟段至北边湿地林跌水沟段,设计为清水生态廊道,调蓄容量约为5500m3,种植挺水植物100m2,沉水植物200m2,设计水力停留时间1d。主要用以收集、储存达到处理目标的尾水,作为系统的内循环用水,用以提高系统的处理能力并抵抗冲击负荷,主要用于农田退水集中排放期的进水调节。在水质稳定期,则达标排放。
水产养殖区域设置竖井式泵站3座,设计流量为270m3·h−1,提升生态集水预处理沟内水体,以穿越主干渠进入养殖尾水收集管道。景观湿地林区域设置竖井泵站1座,设计流量为450m3·h−1,用以提水至景观湿地林。在农田净化单元出水口、生态集水预处理沟与悬浮生态床沟交接处和调节稳定生态沟处分别设置3座小型手动水闸,用以控制水体流动方向并调节运行水位。
2.9 采样点设置
根据混合尾水排放特点及处理流程设计,设置采样点如图4所示。采集鱼塘(进水)、生态集水预处理沟、农田氧化塘、悬浮生态床沟、生态输水廊道、稳定调结构、出水7个节点的水质指标进行监测,探究混合尾水在整个工艺系统中的净化情况。需要指出的是:进水采样点随着鱼塘排水位置的不同进行调整;景观湿地林采样点A、B根据湿地林运行情况交替采样。

3、工艺运行效果
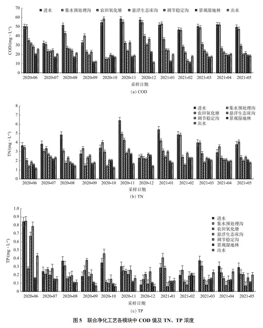
对本项目出水进行了为期1a的跟踪监测,对照设计的出水水质目标,出水COD值及TN、TP浓度均能达到设计目标。此外,依据《上海市水环境功能区划》,崇明区被划分为Ⅲ类水质控制区,将水质与《地表水环境质量标准》(GB3838-2002)的Ⅲ类水(COD≤20mg·L−1,TN≤1.0mg·L−1,TP≤0.2mg·L−1)标准进行比较,COD和TP的指标均有8个月能够满足III类水质要求,但TN仍有一定的差距。尾水(尾水+退水)COD值及TN、TP浓度在本项目各工艺模块中变化情况如图5(a)~(c)所示。

监测期间进水水质波动较大,COD值在32.1~58.4mg·L−1,进水TN浓度在2.28~6.41mg·L−1,进水TP浓度在0.08~0.84mg·L−1。TN浓度最大值出现在2023年11月,该月份COD值也出现最大值,为58.4mg·L−1。跟踪调查发现,主要是采样期间鱼塘清塘排水导致污染进水浓度值升高。TP最大值出现在2023年6月,这与农田水稻种植有关,5月水稻插秧后,有3~4次集中施肥过程和干湿交替过程,也是农田退水排放的高峰期,若与鱼塘尾水排放形成叠加效应,将超过生态方法的负荷上限,导致处理效果下降。因此,本工艺设计了调节稳定沟和景观湿地林,能够起到水质缓冲和稀释的作用。
从进、出水中污染物的去除率来看,本工程对COD的去除率为37.38%~80.28%,平均去除率61.68%;对TN的去除率为32.53%~74.57%,平均去除率54.07%;对TP的去除率为3.55%~82.66%,平均去除率43.59%。总体来看,整个联合净化工艺对污染物有较好的去除效果,并且系统能保持相对稳定运行。
从整个工艺流程来看,各污染物在不同净化模块中呈现波动变化。当混合尾水经由集水预处理沟到农田氧化塘时,COD值和TN浓度均出现不同程度下降。高阳等研究发现,农沟对氮、磷的去除效果显著高于毛沟、斗沟、支沟和干沟等排水沟道,可能是由于农沟有适宜的水深和较高的营养盐水平。但在本研究中,尾水经过农田氧化塘时在出现TP浓度升高的情况,主要出现在2020年7、9和12月,可能与水稻种植施肥后干湿交替排水有关。此外,微生物对营养物质的分解和转化是去除农田退水中氮、磷的主要途径,而12月进水TP浓度最低(0.081mg·L−1),可能影响微生物对TP的去除效率。
悬浮生态床沟结合了生物膜与生态浮岛技术,是本工程去除污染物的核心工艺。此外,悬浮生态床沟位于鱼塘侧面,经改造后有整个净化系统中最大的槽蓄容量(26884m3),尾水进入该模块后各污染物浓度迅速降低,末端出水COD、TN、TP浓度分别为15.4~31.7、1.38~2.81、0.061~0.667mg·L−1。
混合尾水由悬浮生态床沟进入生态输水廊道和稳定调节沟后各污染物出现波动,COD值在7月、9~12月出现上升,TN浓度除了7~8月均呈上升趋势,而TP浓度则在每个月均出现上升,这可能是因为TN和TP主要由生物过程去除,受环境影响较大。此外,悬浮生态床沟中设有曝气及生态浮床,该条件下聚磷菌会超量吸收磷,进入生态输水廊道和调节稳定沟后,只依靠植物的供氧,底泥可能出现缺氧状态,导致聚磷菌释磷,造成TP浓度升高。进入景观湿地林后,混合尾水各污染物浓度再次下降,随后根据工艺设计出水直接排放或继续进入循环系统。
4、结论
本研究基于466666.7m2现代农业地块,设计了一套水产养殖尾水和农田退水联合净化工艺,结合水产养殖和农田种植季节特征以及退水特点,系统考虑现有各类型地块、沟渠等分布特点,充分利用小型河道、农田排水系统、林地控制N、P等污染物浓度。
1)经过1a的跟踪检测,联合净化工艺在进水COD值32.1~58.4mg·L−1,进水TN浓度2.28~6.41mg·L−1,进水TP浓度0.08~0.84mg·L−1时,出水COD为11.3~25.4mg·L−1,TN为1.13~2.32mg·L−1,TP为0.06~0.43mg·L−1,稳定达到设计目标(COD≤40mg·L−1,TN≤3mg·L−1,TP≤0.5mg·L−1)。此外,COD和TP出水分别有8个月可达到《地表水环境质量标准》(GB3838-2002)III类水质要求。
2)养殖尾水及农田退水等面源污染的治理是一个综合性工程,经过改造设计,本工艺农业地块在保留原有生产功能的基础上,还实现了水产养殖尾水和农田退水的水质净化、水生态修复及景观再造等多项功能。工艺设计理念和工程实践可为养殖尾水及农田退水等污染控制与综合治理、生态修复提供借鉴。(来源:华东师范大学生态与环境科学学院,上海市城市化生态过程与生态恢复重点实验室,上海寻合环境科技有限公司,崇明生态研究院,上海有机固废生物转化工程技术研究中心)



