自然环境中氨氮最初主要由雷电产生的硝酸盐和动植物分解产生,而磷酸盐来自雨水对矿物的溶解和动物的粪便。但随着经济社会发展,人类活动对生态环境的影响逐步加大,水环境不断恶化。农业生产中使用的大量化肥、城市生活中洗涤剂、水产养殖业排放的废水中通常都含有大量氮磷。过量的氮磷进入水体后,极易造成水体富营养化,藻类大量繁殖,对水体表面形成覆盖,大大降低水体含氧量和透光率,造成水质污染。我国主要河流湖泊水体富营养化问题日益严峻。水体中氮磷的去除一直是解决水体富营养化问题的关键。
生物炭是由有机原料在一定的有限氧气热燃烧下产生的富碳材料。因其具备较高的阳离子交换能力、比表面积大和结构稳定等优点,可利用吸附作用去除重金属和有机污染物,在水处理和土壤防治领域具有很好的应用前景。生物炭吸附能力与本身的理化性质相关,而理化性质随制备条件的不同而不同。由高温直接裂解的生物炭存在着吸附量较低的缺点,因此需要添加改性剂进行改性提高其吸附量。常用的改性方法包括使用酸、碱、氧化剂和金属离子等,均可增强生物炭对各类污染物的吸附效果。
玉米芯是一种年产量很大的农业副产物,在我国其年产量约为4000×104t,每年都有大量玉米芯被丢弃,或在田间被焚烧,既浪费了资源又污染了环境。玉米芯具有碳含量高、天然纤维结构、产量大等特点,合理利用将会是良好的绿色环保资源。
本实验对玉米芯材料进行高温煅烧处理得到生物炭,通过使用CaCl2溶液作为改性剂对玉米芯生物炭进行改性,分析其形态和结构变化,并进一步研究改性玉米芯生物炭对于模拟水体中氨氮和磷酸盐的吸附性能及其吸附机理,为生物炭处理水环境中氮磷污染物的研究提供相关实验依据。
1、材料与方法
1.1 实验材料
玉米芯(来源于天津市河北区)作为烧制生物炭的原材料。磷酸二氢钾(KH2PO4)、氯化铵(NH4Cl)均为优级纯,无水氯化钙(CaCl2)为分析纯,分别购于天津市光复精细化工研究所,天津市大茂化学试剂厂,天津市风船化学试剂科技有限公司。实验用水均为去离子水。
1.2 生物炭制备和改性
1)生物炭制备。
玉米芯原材料用清水洗干净,干燥后磨碎,记录热解前材料质量,随后放入坩埚中并封盖,然后置于SX-12-10箱式电阻炉(北京中山伟业仪器有限公司)内,500℃条件下裂解1.5h,裂解结束后,待温度降至室温,取出坩埚并除去表面灰分后将生物炭研磨过筛,取60~100目生物炭于密封袋内,置于干燥器中保存。
2)生物炭清洗。
未经处理的生物炭在纯水溶液中可释放少量氮磷,且在氮磷溶液中吸附效果较差,因此,对生物炭进行清洗处理。将烧制后的生物炭(BC0)放入足量去离子水中(2g炭用250mL水),在室温条件下用去离子水搅拌清洗多次至清洗液透明无色,使用0.45um滤膜过滤,得到清洗后的生物炭,置于120℃烘箱中干燥2h后,放置于干燥器中保存待用,清洗后生物炭记为BC。
3)生物炭改性。
采用常温处理法对热解制备的玉米芯生物炭进行改性。配制2mg·L−1的CaCl2改性剂溶液,取0.3gBC0放入20mL样品瓶中后,加入3mLCaCl2溶液,充分摇匀后放入25℃的恒温振荡器中,转速200r·min−1条件下振荡24h,然后用去离子水反复多次清洗后0.45µm滤膜过滤分离,在120℃烘箱中干燥2h后放置于干燥器中保存待用。改性生物炭用Ca-BC表示。
1.3 生物炭形态及结构测定
对改性前后生物炭表面形态进行理化性质分析。采用扫描电子显微镜(JSM-IT300LV,日本)研究样品表面形态,X射线能谱(EDS)对生物炭进行元素分析;全自动比表面积分析仪BET(MicromeriticsASAP2460,美国)测定样品比表面积与孔隙结构;FT-IR傅里叶红外光谱仪(IS50,美国)分析生物炭吸附官能团,X射线衍射仪(XRD,RigakuUltimaIV,日本)对生物炭进行物相分析;X射线光电子能谱仪(XPS,PHI5000VersaprobeШ,日本)研究其官能团种类与含量。
1.4 吸附实验
1)不同固液比实验。
取不同量的生物炭放入250mL锥形瓶中,设定固液比分别为0.1,0.5、1、2、5,分别加入50mL质量浓度为50mg·L−1的KH2PO4和100mg·L−1的NH4Cl溶液,混合均匀,然后放入25℃恒温水浴振荡器中以180r·min−1振荡24h,溶液经0.45µm滤膜过滤,测定滤出液中剩余KH2PO4和NH4Cl质量浓度,得出不同固液比下生物炭对氨氮和磷的吸附效果,确定最佳固液比。
2)吸附动力学实验。
将一定量生物炭加入到50mL含50mg·L−1的KH2PO4和100mg·L−1的NH4Cl溶液中混合均匀,置于250mL锥形瓶内,然后在25℃恒温水浴振荡器中以180r·min−1分别振荡10、30、75、120、180、240、300、480、720、1440min后取出,经0.45µm滤膜过滤,测定滤出液中剩余的KH2PO4和NH4Cl质量浓度,测定不同时间下生物炭对氮磷的吸附量,使用动力学模型进行拟合分析生物炭的吸附动力学特征。
3)等温吸附实验。
设置NH4Cl质量浓度(以N计)梯度为:1、2、5、10、20、50、100mg·L−1;设置KH2PO4质量浓度(以P计)梯度为:0.5、1、2、5、10、20、50mg·L−1。其余操作同吸附动力学实验。
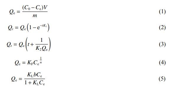
4)NH4+-N质量浓度的测定采用纳氏试剂分光光度法,吸收波长为420nm;PO43--P质量浓度的测定采用钼锑抗分光光度法,吸收波长为700nm。生物炭对氮磷的吸附效果使用Qe表示,计算公式如式(1)所示,采用准一级动力学模型(式(2))、准二级动力学模型(式(3))、Freundlich模型(式(4))、Langmuir模型(式(5))等对实验数据进行拟合。

式中:C0为初始氮磷的质量浓度,mg·L−1;Ce为吸附平衡时氮磷的质量浓度,mg·L−1;V为溶液体积,L;m为吸附剂质量,g;Qe为吸附量,mg·g−1;Qt为反应t时间的吸附量,mg·g−1;t为反应时间,min;K1为准一级动力学反应速率常数,min−1;K2为准二级动力学模型的速率常数,g·(mg·h)-1;KF为Freundlich模型的平衡常数;为异质性因子;b为最大吸附量,mg·g−1;KL为Langmuir模型的平衡常数。
2、结果与讨论
2.1 材料表征
1)SEM电镜分析。
采用场发射电镜观察BC0、BC和Ca-BC的微观形态如图1(a)~(c)所示。可以看到玉米芯生物炭具有大量蜂窝孔洞结构,比表面积大,这是有机物经高温热分解开孔作用形成,数量庞大。未经清洗的原始生物炭(BC0)孔洞结构中可见有大量碎屑杂质颗粒物,可能是经高温裂解产生的灰分,而清洗后的生物炭(BC)孔洞结构表面明显光滑,说明生物炭孔洞表面灰分经过清洗后大部分被清除,孔洞结构明显;Ca-BC更是在原有基础上出现更为细密的小型孔洞,生物炭上形成了发达的碳骨架和蜂窝结构等,使生物炭对水中氮和磷的吸附位点大大增多。

2)EDS分析。
X射线能谱对生物炭的元素分析结果如图2(a)~(c)所示,表1为BC0、BC、Ca-BC材料元素含量分析。可以看到,C、O元素是生物炭的主要元素,同时含有微量的K元素。玉米芯生物炭在经过清洗和改性后表面元素含量百分比发生变化,清洗过程会去除材料表面部分化学物质,C占比降低,对材料元素含量产生影响,而O、K元素含量随之相对增加;Ca-BC材料中出现Ca、Cl元素,C、K元素占比相应下降,而Ca、Cl元素含量百分比为1∶1.63,换算为摩尔比例为1∶1.84,接近1∶2,说明CaCl2改性剂材料成功附着在生物炭上。


3)比表面积、孔径、孔容分析。
吸附剂的孔隙结构及比表面积极大地影响着吸附剂的吸附性能。观察BC和Ca-BC的N2吸附-脱附曲线(图3)均符合Ⅳ型等温线的特征,说明这2种生物炭材料具有狭窄微孔,2种生物炭的微孔和介孔结构同时共存。一般孔宽小于1nm,其吸附很快达到饱和,观察2种材料吸脱附曲线符合这一情况。在低P/P0区时,BC和Ca-BC吸附量很高,表明两类生物炭充满着丰富的微孔结构;在高P/P0区时,N2吸附-脱附曲线没有重合,说明MBC的孔内表面积远大于外表面积,除微孔外也存在着许多中孔结构。两类生物炭吸附-脱附曲线均出现了明显的回滞环,说明2种生物炭均为介孔材料,在P/P0>0.9时,N2吸附-脱附曲线仍在上升,说明两类生物炭中也存在着一部分大孔。

为了进一步明确生物炭孔径大小,基于Barrett-Joyner-Halenda(BJH)法与Horvath-Kawazoe(HK)微孔分布计算法对生物炭孔径进行检测,得到BC和Ca-BC孔径分布图(图4和图5),可见BC与Ca-BC孔径分布类似,主要集中整在0.8~1.5nm,均是介孔材料,与N2吸附-脱附曲线结果一致。BC微孔孔径主要集中在1.1~1.3nm,微孔较多,中孔较少,随着孔径增大,孔径分布量先小幅增加后逐渐减少,;Ca-BC的中孔孔径主要集中在0.8~1.2nm,0.8nm处出现峰值,随着孔径增大,孔径分布量在1.2nm处再次出现峰值后逐渐减少。与BC相比,Ca-BC材料的0.8nm孔和1.2nm孔明显增多,累计孔隙体积成倍增长,说明BC在经过改性后出现了大量微孔结构,CaCl2对玉米芯生物炭进行改性可以促进其孔结构的形成与发展。


具有高比表面积和孔隙结构的生物碳材料由于具有明显的孔隙填充作用,会促进有机质的吸附。CaBC具有发达的孔隙结构和更大的比表面积,由表2可以看到,经过改性后,生物炭比表面积(SBET)从66.37m2·g−1增加到157.68m2·g−1,增加了137.58%。微孔比表面积(SMicro)从53.58m2·g−1增加到124.05m2·g−1。生物炭孔容从(VTotal)0.040cm3·g−1增长到0.090cm3·g−1,而其中微孔孔容(VMicro)从0.027cm3·g−1增长到0.065cm3·g−1。Ca-BC的SBET,微孔结构孔容体积等相关数据均大于BC,与N2吸附-脱附曲线结果一致,说明CaCl2溶液对于生物炭的改性通过离子反应、附着等方式,显著增加了玉米芯生物炭的比表面积和微孔结构。高质量浓度氯化钙本身具有强腐蚀性,随着与生物炭接触时间的增加,孔结构也在不断丰富发展,同时也会导致孔结构坍塌,形成更多的中孔和大孔,从Ca-BC的结构变化可以看出,CaCl2溶液改性处理促进了玉米芯生物炭微孔和介孔结构的发育。

4)FT-IR傅里叶红外谱图分析。
BC0、BC、Ca-BC以及吸附24h氮磷后的改性炭Ca-BC1的傅里叶红外光谱图如图6所示。4种生物炭在3426cm−1都出现了宽大明显峰值,说明生物炭表面主要以-NH4(氨基)和-OH(羟基)为主,可以观察到经过清洗后的生物炭对比原始生物炭在该区域峰强度小幅度下降,而经过改性和吸附氮磷后生物炭该峰的峰强度均明显增强,说明清洗、改性和长时间氮磷吸附均可导致生物炭表面-NH4(氨基)和OH(羟基)含量发生变化。所有生物炭均在2927cm−1和2847cm−1处出现吸收峰,说明生物炭表面存在烷烃的-CH2键,4种生物炭该峰峰强度变化不大,说明生物炭的清洗和改性并未改变其表面的-CH2基团,氮磷吸附对于生物炭表面的烷烃基团数量有一定增强。

1580cm−1为苯(C=C)代表峰,4种生物炭在该处峰强度变化较小,Ca-BC和Ca-BC1峰强小幅度增强,说明改性和氮磷吸附会使生物炭表面苯C=C基团含量增加。1693cm−1处为C=O羰基代表峰区间(1680~1720cm−1),羰基是典型的含氧基团代表,与BC0和BC相比,Ca-BC和Ca-BC1在此处明显出峰,说明改性和吸附使生物炭表面含氧基团含量增加。1255cm−1处存在的吸收峰表示生物炭可能存在醇,醚,酯类的C—O或C—O—C键伸缩振动,870cm−1附近出现碳酸钙C—O特征吸收峰,说明生物炭表面存在少量碳酸钙成分,802cm−1处为芳环上的C—H弯曲振动峰。745cm−1附近出现氯化物特征峰区。改性生物炭此处峰强度小幅度增强,说明CaCl2改性后生物炭表面出现氯化物附着。观察改性生物炭在500~1600cm−1范围内的谱峰可见,与未改性生物炭相比,此区间的各类基团物质峰强度均有所增加,说明CaCl2改性增加了生物炭表面多种有机物质和基团的数量。氮磷吸附后该范围内所有出现的峰峰强度都有小幅降低甚至降低回改性前,说明氮磷吸附过程可能对生物炭表面的有机物,各类基团和碳酸钙有一定消耗。
5)XRD结果分析。
图7为BC和Ca-BC的XRD谱图。可见,BC与Ca-BC均具有晶体结构,BC与Ca-BC均在2θ=28.22º出现了尖锐衍射峰,说明2种生物炭均具有炭化结晶化合物以及碳酸盐类,Ca-BC在该处的衍射峰强度比BC明显增加,且出现CaCl2(29.28º)衍射峰,碳酸盐聚乙烯醇聚合物(40.37º)衍射峰以及碳酸钙类盐(45º~50º)微小尖锐衍射峰出现,说明Ca-BC相较于BC,生物炭表面附着产生碳酸盐和CaCl2晶体结构,并改变了生物炭表面化合物组分,CaCl2改性后的生物炭结构表面可能会产生碳酸钙有机聚合物。进一步说明CaCl2对玉米芯生物炭改性改变了其表面组分构成并产生了离子附着和化学反应。

6)XPS结果分析。
图8所示为BC与Ca-BC的XPS总谱图。可以看出,改性前的玉米芯生物炭表面主要是C1s和O1s的电子能谱峰,说明C和O是玉米芯的主要组成成分,而CaCl2改性过后的玉米芯生物炭出现新元素Ca和Cl,表面出现CaCl2附着,与EDS分析结果一致;O含量增高,说明生物炭经过改性,有利于提高含氧官能团的含量,与傅里叶红外谱图分析中含氧基团羰基含量增加结果相符。

2.2 固液比对生物炭吸附氮磷的影响
在不同固液比下对Ca-BC和BC进行氨氮和磷酸盐吸附实验,吸附效果如图9(a)~(b)所示。对比改性前后生物炭对氮磷的吸附效果可见,随着固液比增大,BC和Ca-BC对氮磷的吸附效果呈现先增强后减弱趋势,且均在0.5固液比条件下达到峰值。在固液比为0.5时,BC对氨氮和磷酸盐的吸附量分别为18.47mg·g−1和3.25mg·g−1;而经过CaCl2改性后,Ca-BC对氨氮和磷酸盐的吸附量分别增加至28.03mg·g−1和8.96mg·g−1,说明CaCl2改性能有效增加玉米芯生物炭对于水中氮磷的吸附效果。

2.3 改性生物炭吸附氮磷特性分析
1)改性生物炭吸附氮磷动力学结果分析。
分别对BC和Ca-BC2种生物炭进行了吸附氮磷的动力学实验,并使用准一级和准二级动力学方程进行拟合,吸附动力学拟合曲线见图10(a)~(d),得到的拟合参数见表3。


由图10可见,改性前后的生物炭对氨氮和磷酸盐的吸附量都随着吸附时间的增加而增加,生物炭对于氨氮和磷酸盐的吸附过程分为2个阶段:快速吸附阶段和慢速吸附阶段。观察图10(a)~(b),300min前,BC对氨氮和磷酸盐的吸附处于快速吸附阶段,300~600min内,吸附逐渐减缓,进入慢速阶段,在600min之后趋于稳定,达到吸附平衡。图10(c)~(d)为Ca-BC对于氨氮和磷酸盐的吸附过程,可以看到180min内,Ca-BC对于氮磷的吸附处于快速吸附阶段,在180~420min内迅速减缓进入慢速吸附阶段,并在420min后逐渐趋于稳定达到吸附平衡。结合SEM和孔径孔容分析,改性后的生物炭比表面积增大,蜂窝表面吸附位点增多,Ca-BC对氮磷的吸附能够更快达到吸附稳定,快速吸附阶段耗时更短,平衡吸附量更大。
观察动力学拟合方程计算出的平衡吸附量Qe可以看出,生物炭在经过改性后对氮磷污染物的吸附量明显增加,其中氨氮平衡吸附量由改性前的19.36mg·g−1增加到28.39mg·g−1,磷酸盐平衡吸附量由5.46mg·g−1增加到9.74mg·g−1,分别增加了46.6%和78.4%,说明生物炭经改性处理后对氮磷污染物的吸附增强效果明显,且吸附过程更加复杂。对Ca-BC和BC的吸附数据进行动力学拟合可以看出,BC对氨氮(图10(a))和磷酸盐(图10(b))的吸附能用准一级动力学模型更好的表达,相关系数分别达到了0.860和0.779,高于准二级动力学模型的拟合相关系数,说明BC对氨氮和磷酸盐的吸附过程以物理扩散为主,生物炭表面的范德华力对吸附起关键作用,吸附行为受离子浓度差影响。Ca-BC对氨氮(图10(c))和磷酸盐(图10(d))的吸附与准一级动力学和准二级动力学均能较好的拟合,但准二级动力学拟合相关度更好,相关系数R2分别达到了0.912和0.904。准二级动力学可以描述孔填充,共价键形成和离子交换等作用,表明吸附与物理吸附和化学吸附密切相关,说明BC经CaCl2改性后,与未改性前的生物炭对氮磷污染物的吸附机制不同,Ca-BC与水中氮磷之间的交换或共享电子可能会产生共价键或新化合物。金属离子和NH4+在含氧官能团上的离子交换是金属改性生物炭去除水中NH4+-N的主要机制之一,Ca-BC的FT-IR、XPS和XRD谱图均检测到含氧官能团的增加以及Ca2+的大量存在,说明Ca-BC对氨氮的化学吸附主要表现为离子交换作用;LIU等研究发现水溶液中的Ca2+能与OH−和磷酸盐结合形成羟基磷灰石(HAP)沉淀去除磷酸盐,说明Ca-BC去除磷酸盐的化学过程主要为化学沉淀作用。
2)改性生物炭吸附氮磷等温吸附模型拟合分析。
根据等温吸附实验结果,分别使用Freundlich和Langmuir等温吸附方程进行拟合,等温吸附拟合曲线见图11(a)~(b),拟合参数见表4。如图11(a)~(b)所示,氮磷溶液初始质量浓度是生物炭吸附氮磷的重要影响因素,氮磷溶液初始质量浓度越高,Ca-BC对于氮磷的吸附效果越好。Ca-BC对氮磷的等温吸附拟合结果可见Freundlich方程和Langmuir方程都有很好的拟合效果,相关系数R2都达到了0.9以上,相比之下,Langmuir等温吸附模型拟合效果更佳,对氨氮和磷酸盐的等温吸附拟合相关系数R2分别达到了0.999和0.971,说明Ca-BC对于水中氨氮和磷酸盐的吸附主要为单分子层吸附,材料为均质表面,表面点位均匀分布,吸附过程以物理吸附为主。根据Langmuir等温吸附模型可得到Ca-BC对水中氨氮和磷酸盐的最大吸附量分别为107.68mg·g−1和11.28mg·g−1。


2.4 与其他生物炭的吸附效果对比
生物炭原材料不同以及改性剂和改性方法的不同,对氮磷的吸附能力也会有所不同,通常可以用最大吸附量来大致评判不同生物炭的吸附性能。如表5所示,同种原材料生物炭,采用不同的改性剂和改性方法进行改性后,对氮磷的吸附性能相差较大。以芦苇为原材料,同样以MgCl2作为改性剂,共热解改性后对磷酸盐的最大吸附量为109.57mg·g−1,而经浸渍+共热解改性后,对磷酸盐的最大吸附量可达到317.09mg·g−1。使用不同的改性剂对玉米芯进行浸渍改性后,对氨氮的吸附量有所不同,本研究和李廷梅等采用不同改性方法均对玉米芯进行了改性研究,结果表明,CaCl2和H3PO4改性玉米芯对氨氮的吸附量分别107.68mg·g−1和3.97mg·g−1,CaCl2改性更能促进玉米芯对氨氮的吸附。同一种改性剂对不同材料生物炭进行改性后,对氮磷的吸附性能也均有不同,如MgCl2改性芦苇、香蕉秸秆、玉米芯对氨氮和磷酸盐的吸附量各有差异。除去改性方法,改性剂、原材料、改性剂质量浓度、共热解改性温度等也均会对生物炭的吸附性能产生影响,所以实际不同改性生物炭的吸附性能差异均不能绝对而言。

本研究采用的CaCl2浸渍法改性玉米芯,相较共热解法操作简单,且处理后的生物炭比其他浸渍生物炭甚至是其他改性方法的生物炭,对氨氮的吸附效果更好,Qe达到了107.68mg·g−1,但对于磷酸盐的吸很低,仍待优化,说明使用CaCl2改性玉米芯对氨氮的吸附优化更为突出。Ca2+离子为生物所需微量元素,少量浸出甚至能提高植物的生长,如增加茎和根的长度,促进新陈代谢,Cl−为环境水体中常见元素,不会造成污染,环境风险很小。
对于实际水体,多种离子之间的竞争吸附也会影响吸附效果。周成?等研究了实际水体中共存阴离子对Ce-BDC-400(A)吸附氟过程的影响,发现CO32−会对生物炭吸附有一定的抑制作用,Ca-BC在实际水体中的应用有待进一步深入研究。
3、结论
1)CaCl2改性可以改善玉米芯生物炭孔隙结构并产生有效离子附着,CaCl2在生物炭表面产生附着且发生化学变化,可以检测到CaCO3类物质。清洗、改性和吸附并没有在材料表面产生新的官能团,只是导致材料表面原有官能团的含量发生变化。
2)随着吸附时间和氮磷溶液质量浓度的增加,生物炭对氮磷的吸附效果明显增强;在固液比为0.5时BC对氮磷的吸附效果最好,经过改性后,生物炭对于氮磷的吸附效果明显增强,氨氮平衡吸附量由改性前的19.36mg·g−1增加到28.39mg·g−1,磷酸盐平衡吸附量由5.46mg·g−1增加到9.74mg·g−1,分别增加了46.6%和78.4%。
3)BC对水中氮磷吸附特征更符合准一级动力学,吸附过程主要为范德华力主导的物理吸附;Ca-BC吸附特征更符合准二级动力学,使生物炭对氮磷的吸附过程变得更为复杂,同时存在物理吸附和化学吸附,除物理吸附外,离子交换是去除水中NH4+-N的主要化学吸附机制之一,而离子交换游离出来的Ca2+能够与磷酸盐结合产生化学沉淀去除磷酸盐。Ca-BC对氨氮和磷酸盐的等温吸附平衡规律更符合Langmuir等温吸附模型,吸附过程更接近单分子层吸附,说明Ca-BC对氮磷的吸附以物理吸附为主,化学吸附为辅。(来源:天津科技大学海洋与环境学院,天津市海洋资源与化学重点实验室,天津市海洋环境保护与修复技术工程中心,中水北方勘测设计研究有限责任公司水生态工程设计院)



